Combining Methods to Estimate Post-Fire Soil Erosion Using Remote Sensing Data
Abstract
:1. Introduction
2. Materials and Methods
2.1. Study Area
2.2. Model Description
- Fire severity classification
- Runoff—pre- and post-fire scenario
- Erosion—pre- and post-fire scenario
2.2.1. Fire Severity Classification Module
- differenced Normalized Burn Index (dNBR):
- differenced Normalized Difference Vegetation Index (dNDVI):
- TCI from Sentinel-2 Level-1C products;
- pre- and post-fire SWIR composite images.
2.2.2. Runoff Module
2.2.3. Erosion Module
3. Results
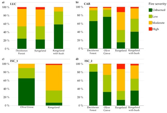
3.1. Fire Severity Classification
3.2. Rainfall and Runoff
3.3. Erosion
4. Discussion
4.1. Fire Severity Classification
4.2. Rainfall and Runoff
4.3. Erosion
4.4. General Remarks and Future Work
5. Conclusions
Supplementary Materials
Author Contributions
Funding
Data Availability Statement
Acknowledgments
Conflicts of Interest
References
- Ganteaume, A.; Camia, A.; Jappiot, M.; San-Miguel-Ayanz, J.; Long-Fournel, M.; Lampin, C. A Review of the Main Driving Factors of Forest Fire Ignition over Europe. Environ. Manag. 2013, 51, 651–662. [Google Scholar] [CrossRef] [Green Version]
- Elia, M.; D’Este, M.; Ascoli, D.; Giannico, V.; Spano, G.; Ganga, A.; Colangelo, G.; Lafortezza, R.; Sanesi, G. Estimating the Probability of Wildfire Occurrence in Mediterranean Landscapes Using Artificial Neural Networks. Environ. Impact Assess. Rev. 2020, 85, 106474. [Google Scholar] [CrossRef]
- Johansen, M.P.; Hakonson, T.E.; Breshears, D.D. Post-Fire Runoff and Erosion from Rainfall Simulation: Contrasting Forests with Shrublands and Grasslands. Hydrol. Process. 2001, 15, 2953–2965. [Google Scholar] [CrossRef]
- Martin, D.A.; Moody, J.A. Comparison of Soil Infiltration Rates in Burned and Unburned Mountainous Watersheds. Hydrol. Process. 2001, 15, 2893–2903. [Google Scholar] [CrossRef]
- Meyer, G.A.; Pierce, J.L.; Wood, S.H.; Jull, A.J.T. Fire, Storms, and Erosional Events in the Idaho Batholith. Hydrol. Process. 2001, 15, 3025–3038. [Google Scholar] [CrossRef]
- Benavides-Solorio, J.D.D.; Macdonald, L.H. Measurement and Prediction of Post-Fire Erosion at the Hillslope Scale, Colorado Front Range. Int. J. Wildland Fire 2005, 14, 457–474. [Google Scholar] [CrossRef] [Green Version]
- Shakesby, R.; Doerr, S. Wildfire as a Hydrological and Geomorphological Agent. Earth Sci. Rev. 2006, 74, 269–307. [Google Scholar] [CrossRef]
- Miller, J.D.; Yool, S.R. Mapping Forest Post-Fire Canopy Consumption in Several Overstory Types Using Multi-Temporal Landsat TM and ETM Data. Remote Sens. Environ. 2002, 82, 481–496. [Google Scholar] [CrossRef]
- D’Este, M.; Elia, M.; Giannico, V.; Spano, G.; Lafortezza, R.; Sanesi, G. Machine Learning Techniques for Fine Dead Fuel Load Estimation Using Multi-Source Remote Sensing Data. Remote Sens. 2021, 13, 1658. [Google Scholar] [CrossRef]
- Cerdà, A.; Doerr, S.H. Influence of Vegetation Recovery on Soil Hydrology and Erodibility Following Fire: An 11-Year Investigation. Int. J. Wildland Fire 2005, 14, 423–437. [Google Scholar] [CrossRef]
- Pereira, P.; Mataix-Solera, J.; Ubeda, X.; Reain, G.; Cerdà, A. Fire Effects on Soil Properties; CSIRO Publishing: Collingwood, Australia, 2019. [Google Scholar]
- Mattia, C.; Bischetti, G.B.; Gentile, F. Biotechnical Characteristics of Root Systems of Typical Mediterranean Species. Plant. Soil 2005, 278, 23–32. [Google Scholar] [CrossRef]
- Efthimiou, N.; Psomiadis, E. The Significance of Land Cover Delineation on Soil Erosion Assessment. Environ. Manag. 2018, 62, 383–402. [Google Scholar] [CrossRef] [PubMed]
- Gyssels, G.; Poesen, J.; Bochet, E.; Li, Y. Impact of Plant Roots on the Resistance of Soils to Erosion by Water: A Review. Prog. Phys. Geogr. 2005, 29, 189–217. [Google Scholar] [CrossRef] [Green Version]
- Thomas, A.D.; Walsh, R.P.D.; Shakesby, R.A. Nutrient Losses in Eroded Sediment after Fire in Eucalyptus and Pine Forests in the Wet Mediterranean Environment of Northern Portugal. Catena 1999, 36, 283–302. [Google Scholar] [CrossRef]
- Thomas, A.D.; Walsh, R.P.D.; Shakesby, R.A. Post-Fire Forestry Management and Nutrient Losses in Eucalyptus and Pine Plantations, Northern Portugal. Land Degrad. Dev. 2000, 11, 257–271. [Google Scholar] [CrossRef]
- Wang, Q.; Zhong, M.; Wang, S. A Meta-Analysis on the Response of Microbial Biomass, Dissolved Organic Matter, Respiration, and N Mineralization in Mineral Soil to Fire in Forest Ecosystems. For. Ecol. Manag. 2012, 271, 91–97. [Google Scholar] [CrossRef]
- Shakesby, R.A. Post-Wildfire Soil Erosion in the Mediterranean: Review and Future Research Directions. Earth Sci. Rev. 2011, 105, 71–100. [Google Scholar] [CrossRef]
- Cawson, J.G.; Sheridan, G.J.; Smith, H.G.; Lane, P.N.J. Surface Runoff and Erosion after Prescribed Burning and the Effect of Different Fire Regimes in Forests and Shrublands: A Review. Int. J. Wildland Fire 2012, 21, 857–872. [Google Scholar] [CrossRef]
- Certini, G. Effects of Fire on Properties of Forest Soils: A Review. Oecologia 2005, 143, 1–10. [Google Scholar] [CrossRef]
- Cerda, A. Fire Effects on Soils and Restoration Strategies, 1st ed.; Cerdà, A., Robichaud, P.R., Eds.; CRC Press: Boca Raton, FL, USA, 2009; ISBN 9781578085262. [Google Scholar]
- Francos, M.; Pereira, P.; Alcañiz, M.; Mataix-Solera, J.; Úbeda, X. Impact of an Intense Rainfall Event on Soil Properties Following a Wildfire in a Mediterranean Environment (North-East Spain). Sci. Total Environ. 2016, 572, 1353–1362. [Google Scholar] [CrossRef]
- Cannon, S.H.; Kirkham, R.M.; Parise, M. Wildfire-Related Debris-Flow Initiation Processes, Storm King Mountain, Colorado. Geomorphology 2001, 39, 171–188. [Google Scholar] [CrossRef]
- Moody, J.A.; Shakesby, R.A.; Robichaud, P.R.; Cannon, S.H.; Martin, D.A. Current Research Issues Related to Post-Wildfire Runoff and Erosion Processes. Earth Sci. Rev. 2013, 122, 10–37. [Google Scholar] [CrossRef]
- Benavides-Solorio, J.; MacDonald, L.H. Post-Fire Runoff and Erosion from Simulated Rainfall on Small Plots, Colorado Front Range. Hydrol. Process. 2001, 15, 2931–2952. [Google Scholar] [CrossRef]
- Francos, M.; Úbeda, X.; Tort, J.; Panareda, J.M.; Cerdà, A. The Role of Forest Fire Severity on Vegetation Recovery after 18 Years. Implications for Forest Management of Quercus Suber L. in Iberian Peninsula. Glob. Planet. Chang. 2016, 145, 11–16. [Google Scholar] [CrossRef]
- Vega, J.A.; Fernández, C.; Fonturbel, T. Throughfall, Runoff and Soil Erosion after Prescribed Burning in Gorse Shrubland in Galicia (NW Spain). Land Degrad. Dev. 2005, 16, 37–51. [Google Scholar] [CrossRef]
- Soto, B.; Díaz-Fierros, F. Runoff and Soil Erosion from Area of Burnt Scrub: Comparison of Experimental Results with Those Predicted by the WEPP Model. Catena 1998, 31, 257–270. [Google Scholar] [CrossRef]
- Inbar, M.; Tamir, M.; Wittenberg, L. Runoff and Erosion Processes after a Forest Fire in Mount Carmel, a Mediterranean Area. Geomorphology 1998, 24, 17–33. [Google Scholar] [CrossRef]
- Lavee, H.; Kutiel, P.; Segev, M.; Benyamini, Y. Effect of Surface Roughness on Runoff and Erosion in a Mediterranean Ecosystem: The Role of Fire. Geomorphology 1995, 11, 227–234. [Google Scholar] [CrossRef]
- Brown, J.A.H. Hydrologic Effects of a Bushfire in a Catchment in South-Eastern New South Wales. J. Hydrol. 1972, 15, 77–96. [Google Scholar] [CrossRef]
- Candela, A.; Aronica, G.; Santoro, M. Effects of Forest Fires on Flood Frequency Curves in a Mediterranean Catchment/Effets d’incendies de Forêt Sur Les Courbes de Fréquence de Crue Dans Un Bassin Versant Méditerranéen. Hydrol. Sci. J. 2005, 50, 206. [Google Scholar] [CrossRef]
- Mayor, A.G.; Bautista, S.; Llovet, J.; Bellot, J. Post-Fire Hydrological and Erosional Responses of a Mediterranean Landscpe: Seven Years of Catchment-Scale Dynamics. Catena 2007, 71, 68–75. [Google Scholar] [CrossRef]
- González-Ochoa, A.I.; López-Serrano, F.R.; de Las Heras, J. Does Post-Fire Forest Management Increase Tree Growth and Cone Production in Pinus Halepensis? For. Ecol. Manag. 2004, 188, 235–247. [Google Scholar] [CrossRef]
- García-Orenes, F.; Arcenegui, V.; Chrenková, K.; Mataix-Solera, J.; Moltó, J.; Jara-Navarro, A.B.; Torres, M.P. Effects of Salvage Logging on Soil Properties and Vegetation Recovery in a Fire-Affected Mediterranean Forest: A Two Year Monitoring Research. Sci. Total Environ. 2017, 586, 1057–1065. [Google Scholar] [CrossRef]
- Coschignano, G.; Nicolaci, A.; Ferrari, E.; Cruscomagno, F.; Iovino, F. Evaluation of Hydrological and Erosive Effects at the Basin Scale in Relation to the Severity of Forest Fires. IForest 2019, 12, 427–434. [Google Scholar] [CrossRef]
- Lanorte, A.; Cillis, G.; Calamita, G.; Nolè, G.; Pilogallo, A.; Tucci, B.; de Santis, F. Integrated Approach of RUSLE, GIS and ESA Sentinel-2 Satellite Data for Post-Fire Soil Erosion Assessment in Basilicata Region (Southern Italy). Geomat. Nat. Hazards Risk 2019, 10, 1563–1595. [Google Scholar] [CrossRef]
- Stavi, I. Wildfires in Grasslands and Shrublands: A Review of Impacts on Vegetation, Soil, Hydrology, and Geomorphology. Water 2019, 11, 1042. [Google Scholar] [CrossRef] [Green Version]
- Rulli, M.C.; Rosso, R. Hydrologic Response of Upland Catchments to Wildfires. Adv. Water Resour. 2007, 30, 2072–2086. [Google Scholar] [CrossRef]
- Fox, D.M.; Laaroussi, Y.; Malkinson, L.D.; Maselli, F.; Andrieu, J.; Bottai, L.; Wittenberg, L. POSTFIRE: A Model to Map Forest Fire Burn Scar and Estimate Runoff and Soil Erosion Risks. Remote Sens. Appl. Soc. Environ. 2016, 4, 83–91. [Google Scholar] [CrossRef]
- Efthimiou, N.; Psomiadis, E.; Panagos, P. Fire Severity and Soil Erosion Susceptibility Mapping Using Multi-Temporal Earth Observation Data: The Case of Mati Fatal Wildfire in Eastern Attica, Greece. Catena 2020, 187, 104320. [Google Scholar] [CrossRef]
- Basso, M.; Vieira, D.C.S.; Ramos, T.B.; Mateus, M. Assessing the Adequacy of SWAT Model to Simulate Postfire Effects on the Watershed Hydrological Regime and Water Quality. Land Degrad. Dev. 2020, 31, 619–631. [Google Scholar] [CrossRef]
- Fernández, C.; Vega, J.A. Evaluation of the Rusle and Disturbed Wepp Erosion Models for Predicting Soil Loss in the First Year after Wildfire in NW Spain. Environ. Res. 2018, 165, 279–285. [Google Scholar] [CrossRef]
- Lopes, A.R.; Girona-García, A.; Corticeiro, S.; Martins, R.; Keizer, J.J.; Vieira, D.C.S. What Is Wrong with Post-Fire Soil Erosion Modelling? A Meta-Analysis on Current Approaches, Research Gaps, and Future Directions. Earth Surf. Process. Landf. 2021, 46, 205–219. [Google Scholar] [CrossRef]
- Elia, M.; Lafortezza, R.; Colangelo, G.; Sanesi, G. A Streamlined Approach for the Spatial Allocation of Fuel Removals in Wildland–Urban Interfaces. Landsc. Ecol. 2014, 29, 1771–1784. [Google Scholar] [CrossRef]
- Inventario Nazionale Delle Foreste e Dei Serbatoi Forestali Di Carbonio—INFC. Available online: https://www.inventarioforestale.org/ (accessed on 29 September 2020).
- Regione Puglia—Sezione Protezione Civile. Piano Di Previsione, Prevenzione e Lotta Attiva Contro Gli Incendi Boschivi 2018–2020; Regione Puglia—Sezione Protezione Civile: Bari, Italy, 2018. [Google Scholar]
- Pieri, P.; Gallicchio, S.; Moretti, M.; Ciaranfi, N.; Festa, V.; Maiorano, P.; Tropeano, M.; Maggiore, M.; Walsh, N. Note Illustrative Della Carta Geologica D’italia Alla Scala 1:50.000 Foglio 407—San Bartolomeo in Galdo; Istituto Superiore per la Protezione e la Ricerca Ambientale (ISPRA)–Servizio Geologico d’Italia: Rome, Italy, 2011. [Google Scholar]
- Ciaranfi, N.; Loiacono, F.; Moretti, M. Note Illustrative Della Carta Geologica D’italia Alla Scala 1:50.000 Foglio 408—Foggia; Istituto Superiore per la Protezione e la Ricerca Ambientale (ISPRA)–Servizio Geologico d’Italia: Rome, Italy, 2010. [Google Scholar]
- Morsilli, M. Introduzione Alla Geologia Del Gargano. In Le Miniere di Selce del Gargano, VI–III Millennio A.C. Alle Origini Della Storia Mineraria Europea; All’Insegna del Giglio: Firenze, Italy, 2011; pp. 17–27. [Google Scholar] [CrossRef]
- Elia, M.; Giannico, V.; Spano, G.; Lafortezza, R.; Sanesi, G. Likelihood and Frequency of Recurrent Fire Ignitions in Highly Urbanised Mediterranean Landscapes. Int. J. Wildland Fire 2020, 29, 120. [Google Scholar] [CrossRef]
- Mancini, L.D.; Elia, M.; Barbati, A.; Salvati, L.; Corona, P.; Lafortezza, R.; Sanesi, G. Are Wildfires Knocking on the Built-Up Areas Door? Forests 2018, 9, 234. [Google Scholar] [CrossRef] [Green Version]
- Home | MTBS. Available online: https://www.mtbs.gov/ (accessed on 8 October 2020).
- Eidenshink, J.; Schwind, B.; Brewer, K.; Zhu, Z.-L.; Quayle, B.; Howard, S. A Project for Monitoring Trends in Burn Severity. Fire Ecol. 2007, 3, 3–21. [Google Scholar] [CrossRef]
- Picotte, J.J.; Bhattarai, K.; Howard, D.; Lecker, J.; Epting, J.; Quayle, B.; Benson, N.; Nelson, K. Changes to the Monitoring Trends in Burn Severity Program Mapping Production Procedures and Data Products. Fire Ecol. 2020, 16, 16. [Google Scholar] [CrossRef]
- Key, C.H.; Benson, N.C. Landscape Assessment (LA) Sampling and Analysis Methods; USDA Forest Service–General Technical Report RMRS-GTR; U.S. Department of Agriculture, Forest Service, Rocky Mountain Research Station: Collins, CO, USA, 2006. [Google Scholar]
- Regione Puglia Sit Puglia. Available online: http://www.sit.puglia.it/ (accessed on 6 May 2021).
- Google Google Earth. Available online: https://earth.google.com/web/ (accessed on 6 May 2021).
- Esri World Imagery. Available online: https://www.arcgis.com/home/item.html?id=10df2279f9684e4a9f6a7f08febac2a9 (accessed on 6 May 2021).
- Sentinel Online—ESA—Sentinel. Available online: https://sentinel.esa.int/web/sentinel/home (accessed on 6 May 2021).
- Tucker, C.J. Red and Photographic Infrared Linear Combinations for Monitoring Vegetation. Remote Sens. Environ. 1979, 8, 127–150. [Google Scholar] [CrossRef] [Green Version]
- Miller, J.D.; Thode, A.E. Quantifying Burn Severity in a Heterogeneous Landscape with a Relative Version of the Delta Normalized Burn Ratio (DNBR). Remote Sens. Environ. 2007, 109, 66–80. [Google Scholar] [CrossRef]
- Mishra, S.K.; Singh, V.P. SCS-CN Method; Springer: Dordrecht, The Netherlands, 2003; pp. 84–146. [Google Scholar]
- SCS. Hydrology. In National Engineering Handbook, Supplement A, Section 4; Soil Conservation Service, USDA: Washington, DC, USA, 1985. [Google Scholar]
- Thiessen, A.H. Precipitation Averages for Large Areas. Mon. Weather Rev. 1911, 39, 1082–1089. [Google Scholar] [CrossRef]
- Grimaldi, S.; Kao, S.C.; Castellarin, A.; Papalexiou, S.M.; Viglione, A.; Laio, F.; Aksoy, H.; Gedikli, A. Statistical Hydrology. In Treatise on Water Science; Elsevier: Amsterdam, The Netherlands, 2011; Volume 2, pp. 479–517. ISBN 9780444531933. [Google Scholar]
- Smirnov, N. Table for Estimating the Goodness of Fit of Empirical Distributions. Ann. Math. Stat. 1948, 19, 279–281. [Google Scholar] [CrossRef]
- Gumbel, E.J. Statistics of Extremes; Columbia University Press: New York, NY, USA, 1958. [Google Scholar]
- Chen, C. Rainfall Intensity-Duration-Frequency Formulas. J. Hydraul. Eng. 1983, 109, 1603–1621. [Google Scholar] [CrossRef]
- Chow, V.T.; Maidment, D.R.; Mays, L.W. Applied Hydrology; McGraw-Hill international eds; McGraw-Hill Book Company: New York, NY, USA, 1988. [Google Scholar]
- Autorità di Bacino Distrettuale dell’Appennino Meridionale—Sede Puglia Studio per la Definizione Delle Opere Necessarie Alla Messa in Sicurezza Del Reticolo Idraulico Pugliese, Con Particolare Riferimento Alle Aree Del Gargano, Delle Coste Joniche E Salentine Della Regione Puglia. Available online: https://www.adb.puglia.it/public/page.php?109 (accessed on 17 May 2021).
- Hawkins, R.H.; Hjelmfelt, A.T.; Zevenbergen, A.W. Runoff Probability, Storm Depth, and Curve Numbers. J. Irrig. Drain. Eng. 1985, 111, 330–340. [Google Scholar] [CrossRef]
- de Michele, C.; Salvadori, G. On the Derived flood Frequency Distribution: Analytical Formulation and the Influence of Antecedent Soil Moisture Condition. J. Hydrol. 2002, 262, 245–258. [Google Scholar] [CrossRef]
- Imeson, A.C.; Verstraten, J.M.; van Mulligen, E.J.; Sevink, J. The Effects of Fire and Water Repellency on Infiltration and Runoff under Mediterranean Type Forest. Catena 1992, 19, 345–361. [Google Scholar] [CrossRef]
- Havel, A.; Tasdighi, A.; Arabi, M. Assessing the Hydrologic Response to Wildfires in Mountainous Regions. Hydrol. Earth Syst. Sci. 2018, 22, 2527–2550. [Google Scholar] [CrossRef] [Green Version]
- Arnold, J.G.; Srinivasan, R.; Muttiah, R.S.; Williams, J.R. Large Area Hydrologic Modeling and Assessment Part I: Model Development. J. Am. Water Resour. Assoc. 1998, 34, 73–89. [Google Scholar] [CrossRef]
- Arnold, J.G.; Moriasi, D.N.; Gassman, P.W.; Abbaspour, K.C.; White, M.J.; Srinivasan, R.; Santhi, C.; Harmel, R.D.; van Griensven, A.; Van Liew, M.W.; et al. SWAT: Model Use, Calibration, and Validation. Trans. ASABE 2012, 55, 1491–1508. [Google Scholar] [CrossRef]
- Abdelwahab, O.M.M.; Ricci, G.F.; de Girolamo, A.M.; Gentile, F. Modelling Soil Erosion in a Mediterranean Watershed: Comparison between SWAT and AnnAGNPS Models. Environ. Res. 2018, 166, 363–376. [Google Scholar] [CrossRef]
- Panagos, P.; Borrelli, P.; Poesen, J.; Ballabio, C.; Lugato, E.; Meusburger, K.; Montanarella, L.; Alewell, C. The New Assessment of Soil Loss by Water Erosion in Europe. Environ. Sci. Policy 2015, 54, 438–447. [Google Scholar] [CrossRef]
- Fox, D.M.; Maselli, F.; Carrega, P. Using SPOT Images and Field Sampling to Map Burn Severity and Vegetation Factors Affecting Post Forest Fire Erosion Risk. Catena 2008, 75, 326–335. [Google Scholar] [CrossRef]
- Lentile, L.B.; Holden, Z.A.; Smith, A.M.S.; Falkowski, M.J.; Hudak, A.T.; Morgan, P.; Lewis, S.A.; Gessler, P.E.; Benson, N.C. Remote Sensing Techniques to Assess Active Fire Characteristics and Post-Fire Effects. Int. J. Wildland Fire 2006, 15, 319–345. [Google Scholar] [CrossRef]
- Veraverbeke, S.; Lhermitte, S.; Verstraeten, W.W.; Goossens, R. The Temporal Dimension of Differenced Normalized Burn Ratio (DNBR) Fire/Burn Severity Studies: The Case of the Large 2007 Peloponnese Wildfires in Greece. Remote Sens. Environ. 2010, 114, 2548–2563. [Google Scholar] [CrossRef] [Green Version]
- D’Este, M.; Ganga, A.; Elia, M.; Lovreglio, R.; Giannico, V.; Spano, G.; Colangelo, G.; Lafortezza, R.; Sanesi, G. Modeling Fire Ignition Probability and Frequency Using Hurdle Models: A Cross-Regional Study in Southern Europe. Ecol. Process. 2020, 9, 1–14. [Google Scholar] [CrossRef]
- Tran, B.; Tanase, M.; Bennett, L.; Aponte, C. Evaluation of Spectral Indices for Assessing Fire Severity in Australian Temperate Forests. Remote Sens. 2018, 10, 1680. [Google Scholar] [CrossRef] [Green Version]
- Todisco, F.; Vergni, L.; Vinci, A.; Pampalone, V. Practical Thresholds to Distinguish Erosive and Rill Rainfall Events. J. Hydrol. 2019, 579, 124173. [Google Scholar] [CrossRef]
- Vieira, D.C.S.; Fernández, C.; Vega, J.A.; Keizer, J.J. Does Soil Burn Severity Affect the Post-Fire Runoff and Interrill Erosion Response? A Review Based on Meta-Analysis of Field Rainfall Simulation Data. J. Hydrol. 2015, 523, 452–464. [Google Scholar] [CrossRef]
- González-Hidalgo, J.C.; Peña-Monné, J.L.; de Luis, M. A Review of Daily Soil Erosion in Western Mediterranean Areas. Catena 2007, 71, 193–199. [Google Scholar] [CrossRef]
- Cawson, J.G.; Sheridan, G.J.; Smith, H.G.; Lane, P.N.J. Effects of Fire Severity and Burn Patchiness on Hillslope-Scale Surface Runoff, Erosion and Hydrologic Connectivity in a Prescribed Burn. For. Ecol. Manag. 2013, 310, 219–233. [Google Scholar] [CrossRef]
- García-Comendador, J.; Fortesa, J.; Calsamiglia, A.; Calvo-Cases, A.; Estrany, J. Post-Fire Hydrological Response and Suspended Sediment Transport of a Terraced Mediterranean Catchment. Earth Surf. Process. Landf. 2017, 42, 2254–2265. [Google Scholar] [CrossRef]
- Lucas-Borja, M.E.; Zema, D.A.; Carrà, B.G.; Cerdà, A.; Plaza-Alvarez, P.A.; Cózar, J.S.; Gonzalez-Romero, J.; Moya, D.; de las Heras, J. Short-Term Changes in Infiltration between Straw Mulched and Non-Mulched Soils after Wildfire in Mediterranean Forest Ecosystems. Ecol. Eng. 2018, 122, 27–31. [Google Scholar] [CrossRef] [Green Version]
- Jiménez-Pinilla, P.; Lozano, E.; Mataix-Solera, J.; Arcenegui, V.; Jordán, A.; Zavala, L.M. Temporal Changes in Soil Water Repellency after a Forest Fire in a Mediterranean Calcareous Soil: Influence of Ash and Different Vegetation Type. Sci. Total Environ. 2016, 572, 1252–1260. [Google Scholar] [CrossRef]
- Prosser, I.P.; Williams, L. The Effect of Wildfire on Runoff and Erosion in Native Eucalyptus Forest. Hydrol. Process. 1998, 12, 251–265. [Google Scholar] [CrossRef]
- Prats, S.A.; António, M.; Martins, S.; Cortizo Malvar, M.; Ben-Hur, M.; Keizer, J.J. Polyacrylamide Application versus Forest Residue Mulching for Reducing Post-Fire Runoff and Soil Erosion. Sci. Total Environ. 2013, 468, 464–474. [Google Scholar] [CrossRef] [PubMed]
- Vieira, D.C.S.; Malvar, M.C.; Martins, M.A.S.; Serpa, D.; Keizer, J.J. Key Factors Controlling the Post-Fire Hydrological and Erosive Response at Micro-Plot Scale in a Recently Burned Mediterranean Forest. Geomorphology 2018, 319, 161–173. [Google Scholar] [CrossRef]
- Borrelli, P.; Alewell, C.; Alvarez, P.; Anache, J.A.A.; Baartman, J.; Ballabio, C.; Bezak, N.; Biddoccu, M.; Cerdà, A.; Chalise, D.; et al. Soil Erosion Modelling: A Global Review and Statistical Analysis. Sci. Total Environ. 2021, 780, 146494. [Google Scholar] [CrossRef] [PubMed]
- Cerdà, A.; Lasanta, T. Long-Term Erosional Responses after Fire in the Central Spanish Pyrenees: 1. Water and Sediment Yield. Catena 2005, 60, 59–80. [Google Scholar] [CrossRef]
- Calvo, A.; Cerdà, A. An example of the changes in the hydrological and erosional response of soil after a forest fire, Pedralba (Valencia), Spain. In Soil Erosion as a Consequence of Forest Fires; Sala, M., Rubio, J.L., Eds.; Geoforma Ediciones: Logroño, Spain, 1994; pp. 99–110. ISBN 848777914X. [Google Scholar]
- Fernández-Alonso, J.M.; Fernández, C.; Arellano, S.; Vega, J.A. Modeling Soil Burn Severity Prediction for Planning Measures to Mitigate Post Wildfire Soil Erosion in NW Spain; Elsevier Inc.: Philadelphia, PA, USA, 2019; ISBN 9780128152263. [Google Scholar]
- Ricci, G.F.; de Girolamo, A.M.; Abdelwahab, O.M.M.; Gentile, F. Identifying Sediment Source Areas in a Mediterranean Watershed Using the SWAT Model. Land Degrad. Dev. 2018, 29, 1233–1248. [Google Scholar] [CrossRef]
- Borrelli, P.; van Oost, K.; Meusburger, K.; Alewell, C.; Lugato, E.; Panagos, P. A Step towards a Holistic Assessment of Soil Degradation in Europe: Coupling on-Site Erosion with Sediment Transfer and Carbon Fluxes. Environ. Res. 2018, 161, 291–298. [Google Scholar] [CrossRef]
- Cerdà, A. Changes in Overland Flow and Infiltration after a Rangeland Fire in a Mediterranean Scrubland. Hydrol. Process. 1998, 12, 1031–1042. [Google Scholar] [CrossRef]
- Ramos, M.C.; Nacci, S.; Pla, I. Effect of Raindrop Impact and Its Relationship with Aggregate Stability to Different Disaggregation Forces. Catena 2003, 53, 365–376. [Google Scholar] [CrossRef]
- Fornacca, D.; Ren, G.; Xiao, W. Evaluating the Best Spectral Indices for the Detection of Burn Scars at Several Post-Fire Dates in a Mountainous Region of Northwest Yunnan, China. Remote Sens. 2018, 10, 1196. [Google Scholar] [CrossRef] [Green Version]





| Study Site | Location | Wildfire Date | Area (ha) | Slope (%) |
|---|---|---|---|---|
| LUC | Lucera | 6 July 2019 | 39.5 | 5–50 |
| ISC_1 | Ischitella | 11 August 2019 | 3.4 | 2–25 |
| ISC_2 | Ischitella | 16 August 2019 | 9.8 | 2–25 |
| CAR | Carpino | 17 August 2019 | 5.7 | 2–30 |
| Land Use | Soil Group | |||
|---|---|---|---|---|
| A | B | C | D | |
| Deciduous forest | 36 | 60 | 73 | 79 |
| Olive grove | 67 | 78 | 85 | 89 |
| Rangeland | 68 | 79 | 86 | 89 |
| Rangeland with bush | 49 | 69 | 79 | 84 |
| Land Use | Slope Classes (%) | ||
|---|---|---|---|
| 0–15 | 15–30 | >30 | |
| Deciduous forest | 0.041 | 0.155 | 0.271 |
| Olive grove | 0.048 | 0.161 | 0.329 |
| Rangeland | 0.042 | 0.390 | 0.570 |
| Rangeland with bush | 0.042 | 0.390 | 0.570 |
| Study Site | Meteorological Station | Historical Series | PMP Depth (mm) |
|---|---|---|---|
| LUC | Lucera (Lucera 49) | 1921–2019 | 41 |
| ISC_1 | Rodi Garganico (MFG14) | 2007–2019 | 66 |
| ISC_2 | Rodi Garganico (MFG14) | 2007–2019 | 66 |
| CAR | Carpino (MFG09) | 2006–2019 | 56 |
| Land Use | LUC | ISC_1 | ISC_2 | CAR | ||||
|---|---|---|---|---|---|---|---|---|
| PRE | POST | PRE | POST | PRE | POST | PRE | POST | |
| Deciduous forest | 17.4 | 22.9 | - | - | 3.4 | 4.0 | 1.4 | 2.4 |
| Olive grove | - | - | 40.4 | 43.1 | 28.1 | 32.2 | 20.8 | 22.3 |
| Rangeland | 27.8 | 34.8 | 44.9 | 54.3 | 12.1 | 19.0 | 19.3 | 25.9 |
| Rangeland with bush | 20.0 | 22.3 | - | - | 9.1 | 12.7 | 6.5 | 9.4 |
| Land Use | LUC | ISC_1 | ISC_2 | CAR | ||||||||
|---|---|---|---|---|---|---|---|---|---|---|---|---|
| PRE | POST | PRE | POST | PRE | POST | PRE | POST | |||||
| NDVI | RdNBR | NDVI | RdNBR | NDVI | RdNBR | NDVI | RdNBR | |||||
| Deciduous forest | 0.022 | 0.040 | 0.039 | - | - | - | 0.005 | 0.007 | 0.007 | 0.002 | 0.003 | 0.003 |
| Olive grove | - | - | - | 0.039 | 0.047 | 0.048 | 0.029 | 0.044 | 0.044 | 0.019 | 0.023 | 0.023 |
| Rangeland | 0.074 | 0.123 | 0.120 | 0.070 | 0.128 | 0.132 | 0.010 | 0.025 | 0.026 | 0.037 | 0.071 | 0.075 |
| Rangeland with bush | 0.076 | 0.105 | 0.107 | - | - | - | 0.019 | 0.036 | 0.037 | 0.014 | 0.029 | 0.029 |
| Total area | 0.057 | 0.089 | 0.089 | 0.055 | 0.088 | 0.090 | 0.016 | 0.028 | 0.029 | 0.018 | 0.0321 | 0.033 |
Publisher’s Note: MDPI stays neutral with regard to jurisdictional claims in published maps and institutional affiliations. |
© 2021 by the authors. Licensee MDPI, Basel, Switzerland. This article is an open access article distributed under the terms and conditions of the Creative Commons Attribution (CC BY) license (https://creativecommons.org/licenses/by/4.0/).
Share and Cite
Argentiero, I.; Ricci, G.F.; Elia, M.; D’Este, M.; Giannico, V.; Ronco, F.V.; Gentile, F.; Sanesi, G. Combining Methods to Estimate Post-Fire Soil Erosion Using Remote Sensing Data. Forests 2021, 12, 1105. https://doi.org/10.3390/f12081105
Argentiero I, Ricci GF, Elia M, D’Este M, Giannico V, Ronco FV, Gentile F, Sanesi G. Combining Methods to Estimate Post-Fire Soil Erosion Using Remote Sensing Data. Forests. 2021; 12(8):1105. https://doi.org/10.3390/f12081105
Chicago/Turabian StyleArgentiero, Ilenia, Giovanni Francesco Ricci, Mario Elia, Marina D’Este, Vincenzo Giannico, Francesco Vito Ronco, Francesco Gentile, and Giovanni Sanesi. 2021. "Combining Methods to Estimate Post-Fire Soil Erosion Using Remote Sensing Data" Forests 12, no. 8: 1105. https://doi.org/10.3390/f12081105
APA StyleArgentiero, I., Ricci, G. F., Elia, M., D’Este, M., Giannico, V., Ronco, F. V., Gentile, F., & Sanesi, G. (2021). Combining Methods to Estimate Post-Fire Soil Erosion Using Remote Sensing Data. Forests, 12(8), 1105. https://doi.org/10.3390/f12081105

