Models for the Evaluation of Productivity and Costs of Mechanized Felling on Poplar Short Rotation Coppice in Italy
Abstract
:1. Introduction
2. Materials and Methods
2.1. SRC Poplar Plantations
2.2. Felling Machine and Working System
2.3. Time Study
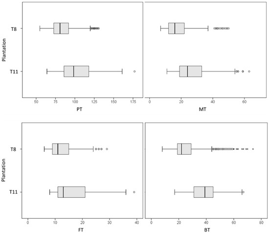
- Moving time (MT), spent to move and position the machine in the place before felling;
- Felling time (FT), required for tree grabbing and cutting;
- Bunching time (BT), required for lifting, moving, and stacking the tree;
- Clearing time (CT), used for removing brambles, shrubs, and dead trees around the trees to be felled.
2.4. Productivity and Cost Evaluation Models
2.5. Statistical Analysis
3. Results
3.1. SRC Poplar Plantations
3.2. Time Study
3.3. Productivity and Costs Evaluation Models
4. Discussion
Author Contributions
Funding
Institutional Review Board Statement
Informed Consent Statement
Data Availability Statement
Conflicts of Interest
References
- Dimitriou, I.; Rutz, D. Sustainable Short Rotation Coppice. In A Handbook; Wip Renewable Energies: Munich, Germany, 2015; p. 103. [Google Scholar]
- Civitarese, V.; Faugno, S.; Picchio, R.; Assirelli, A.; Sperandio, G.; Saulino, L.; Crimaldi, M.; Sannino, M. Production of selected short-rotation wood crop species and quality of obtained biomass. Eur. J. For. Res. 2018, 137, 541–552. [Google Scholar] [CrossRef]
- Civitarese, V.; Acampora, A.; Sperandio, G.; Assirelli, A.; Picchio, R. Production of Wood Pellets from Poplar Trees Managed as Coppices with Different Harvesting Cycles. Energies 2019, 12, 2973. [Google Scholar] [CrossRef] [Green Version]
- Kizha, A.R.; Han, H.-S. Processing and sorting forest residues: Cost, productivity and managerial impacts. Biomass Bioenergy 2016, 93, 97–106. [Google Scholar] [CrossRef] [Green Version]
- Marland, G.; Schlamadinger, B.; Leiby, P. Forest/biomass based mitigation strategies: Does the timing of carbon reductions matter? Crit. Rev. Environ. Sci. Technol. 1997, 27, 213–226. [Google Scholar] [CrossRef]
- Hall, D.O.; Scrase, J.I. Will biomass be the environmentally friendly fuel of the future? Biomass Bioenergy 1998, 15, 357–367. [Google Scholar] [CrossRef]
- Faasch, R.J.; Patenaude, G. The economics of short rotation coppice in Germany. Biomass Bioenergy 2012, 45, 27–40. [Google Scholar] [CrossRef]
- Lindegaard, K.N.; Adams, P.W.R.; Holley, M.; Lamley, A.; Henriksson, A.; Larsson, S.; Von Engelbrechten, H.-G.; Lopez, G.E.; Pisarek, M. Short rotation plantations policy history in Europe: Lessons from the past and recommendations for the future. Food Energy Secur. 2016, 5, 125–152. [Google Scholar] [CrossRef] [PubMed]
- PREPAIR (LIFE 15 IPE IT 013 of European Union). Gli Impatti Ambientali Della Combustione di Biomassa Legnosa per la Produzione di Calore: Le Esperienze Delle Azioni di Comunicazione Nell’area del Bacino Padano e in Slovenia. 2018. Available online: http://www.lifeprepair.eu/wp-content/uploads/2018/09/Gli-impatti-ambientali-della-combustione-di-biomassa-legnosa_le-esperienze-di-comunicazione.pdf (accessed on 20 January 2021).
- Verani, S.; Sperandio, G.; Picchio, R.; Marchi, E.; Costa, C. Sustainability Assessment of a Self-Consumption Wood-Energy Chain on Small Scale for Heat Generation in Central Italy. Energies 2015, 8, 5182–5197. [Google Scholar] [CrossRef] [Green Version]
- MISE. Proposta di Piano nazionale Integrato per l’Energia e l’Ambiente. In Ministero per lo Sviluppo Economico—Ministero dell’Ambiente e della Tutela del Territorio e del Mare—Ministero delle Infrastrutture e dei Trasporti; MISE: Roma, Italy, 2018; p. 237. [Google Scholar]
- Lanzerstorfer, C. Chemical composition and physical properties of filter fly ashes from eight grate-fired biomass combustion plants. J. Environ. Sci. 2015, 30, 191–197. [Google Scholar] [CrossRef] [PubMed]
- Bacenetti, J.; Bergante, S.; Facciotto, G.; Fiala, M. Woody biofuel production from short rotation coppice in Italy: Environmental-impact assessment of different species and crop management. Biomass Bioenergy 2016, 94, 209–219. [Google Scholar] [CrossRef]
- Manzone, M.; Bergante, S.; Facciotto, G. Energy and economic evaluation of a poplar plantation for woodchips production in Italy. Biomass Bioenergy 2014, 60, 164–170. [Google Scholar] [CrossRef] [Green Version]
- Paris, P.; Mareschi, L.; Sabatti, M.; Pisanelli, A.; Ecosse, A.; Nardin, F.; Scarascia-Mugnozza, G. Comparing hybrid Populus clones for SRF across northern Italy after two biennial rotations: Survival, growth and yield. Biomass Bioenergy 2011, 35, 1524–1532. [Google Scholar] [CrossRef]
- Canesin, C. La Short Rotation Forestry in Nord Italia. Limiti e potenzialità del suo impiego sotto differenti scenari: Produzione di biomassa e prove di fertilizzazione. In Tesi di Dottorato di Ricerca. Ecologia Ciclo XXII; Università degli Studi di Padova: Padova, Italy, 2010. [Google Scholar]
- Di Matteo, G.; Nardi, P.; Verani, S.; Sperandio, G. Physiological adaptability of Poplar clones selected for bioenergy purposes under non-irrigated and suboptimal site conditions: A case study in Central Italy. Biomass Bioenergy 2015, 81, 183–189. [Google Scholar] [CrossRef]
- Pignatti, G.; Verani, S.; Sperandio, G. Produzione di legna da ardere da cedui di eucalipto a turno breve: Produttività di lavoro e costi. L’italia For. Mont. 2019, 74, 217–226. [Google Scholar] [CrossRef] [Green Version]
- Soman, H.; Kizha, A.R.; Delgado, B.M.; Kenefic, L.S.; Kanoti, K. Production economics: Comparing hybrid tree-length with whole-tree harvesting methods. For. Int. J. For. Res. 2020, 93, 389–400. [Google Scholar] [CrossRef]
- Costa, C.; Sperandio, G.; Verani, S. Use of Multivariate approaches in biomass energy plantation harvesting: Logistic advantages. Agric. Eng. Int. CIGR J. 2014, 71–80. [Google Scholar]
- Santangelo, E.; Scarfone, A.; Del Giudice, A.; Acampora, A.; Alfano, V.; Suardi, A.; Pari, L. Harvesting systems for poplar short rotation coppice. Ind. Crop. Prod. 2015, 75, 85–92. [Google Scholar] [CrossRef]
- Verani, S.; Sperandio, G.; Picchio, R.; Spinelli, R.; Picchi, G. Poplar harvesting. In Field Handbook; International Poplar Commission Thematic Papers; Forestry Department; Working Paper IPC/8; FAO: Rome, Italy, 2008; p. 54. [Google Scholar]
- Verani, S.; Sperandio, G.; Civitarese, V.; Spinelli, R. Harvesting mechanization in plantations for wood production: Working productivity and costs. For. Riv. Selvic. Ecol. For. 2017, 14, 237–246. [Google Scholar] [CrossRef] [Green Version]
- Cielo, P.; Zanuttini, R. La raccolta del legno nei pioppeti. L’Italia For. Mont. 2004, 59, 467–482. [Google Scholar]
- Spinelli, R.; Hartsough, B.R.; Magagnotti, N. Productivity Standards for Harvesters and Processors in Italy. For. Prod. J. 2010, 60, 226–235. [Google Scholar] [CrossRef]
- Spinelli, R.; Magagnotti, N.; Sperandio, G.; Cielo, P.; Verani, S.; Zanuttini, R. Cost and Productivity of Harvesting High-Value Hybrid Poplar Plantations in Italy. For. Prod. J. 2011, 61, 64–70. [Google Scholar] [CrossRef]
- Picchio, R.; Sirna, A.; Sperandio, G.; Spina, R.; Verani, S. Mechanized harvesting of eucalypt coppice for biomass production using high mechanization level. Croat. J. For. Eng. 2012, 33, 15–24. Available online: https://hrcak.srce.hr/85997 (accessed on 20 January 2021).
- Spinelli, R.; Magagnotti, N.; Facchinetti, D. Logging companies in the European mountains: An example from the Italian Alps. Int. J. For. Eng. 2013, 24, 109–120. [Google Scholar] [CrossRef]
- Stampfer, K. Influence of terrain conditions and thinning regimes on productivity of a track-based steep slope harvester. In Proceedings of the International Mountain Logging and 10th Pacific Northwest Skyline Symposium, Corvallis, OR, USA, 28 March–1 April 1999; pp. 78–87. [Google Scholar]
- Proto, A.R.; Sperandio, G.; Costa, C.; Maesano, M.; Antonucci, F.; Macrì, G.; Scarascia Mugnozza, G.; Zimbalatti, G. A Three-Step Neural Network Artificial Intelligence Modeling Approach for Time, Productivity and Costs Prediction. Croat. J. For. Eng. 2020, 41, 35–47. [Google Scholar] [CrossRef]
- Di Matteo, G.; Sperandio, G.; Verani, S. Field performance of poplar for bioenergy in southern Europe after two coppicing rotations: Effects of clone and planting density. iForest-Biogeosci. For. 2012, 5, 224–229. [Google Scholar] [CrossRef] [Green Version]
- Magagnotti, N.; Spinelli, R. Good practice guidelines for biomass production studies. In Cost Action Fp-0902, Wp2 Operations Research and Measurement Methodologies; CNR-IVALSA: Sesto Fiorentino, FI, Italy, 2012; p. 50. [Google Scholar]
- Björheden, R.; Apel, K.; Shiba, M.; Thompson, M.A. IUFRO Forest Work Study Nomenclature, Test, ed.; Swedish University of Agricultural Sciences, Department of Operational Efficiency; SLU: Garpenberg, Sweden, 1995. [Google Scholar]
- Balimunsi, H.; Grigolato, S.; Picchio, R.; Nyombi, K.; Cavalli, R. Productivity and energy balance of forest plantation harvesting in Uganda. For. Stud. China 2012, 14, 276–282. [Google Scholar] [CrossRef]
- Miyata, E.S. Determining Fixed and Operating Costs of Logging Equipment; General Technical Report NC-55; Department of Agriculture, Forest Service, North Central Forest Experiment Station: Saint Paul, MN, USA, 1980. [Google Scholar]
- Spinelli, R.; Cacot, E.; Mihelic, M.; Nestorovski, L.; Mederski, P.; Tolosana, E. Techniques and productivity of coppice harvesting operations in Europe: A meta-analysis of available data. Ann. For. Sci. 2016, 73, 1125–1139. [Google Scholar] [CrossRef] [Green Version]
- Laina, R.; Tolosana, E.; Ambrosio, Y. Productivity and cost of biomass harvesting for energy production in coppice natural stands of Quercus pyrenaica Willd. in central Spain. Biomass Bioenergy 2013, 56, 221–229. [Google Scholar] [CrossRef] [Green Version]
- Albizu, P.M.; Tolosana, E.; Roman-Jordan, E. Safety and health in forest harvesting operations. Diagnosis and preventive actions. A review. Forest Syst. 2013, 22, 392–400. [Google Scholar] [CrossRef]
- Verani, S. Utilizzazione di una piantagione di eucalipto. Sherwood 2009, 137, 29–33. [Google Scholar]
- Sperandio, G. Eucalyptus coppice for chipwood production. Economic sustainability of an advanced mechanization yard. Sherwood 2010, 167, 39–44. [Google Scholar]
- Schweier, J.; Spinelli, R.; Magagnotti, N.; Becker, G. Mechanized coppice harvesting with new small-scale feller-bunchers: Results from harvesting trials with newly manufactured felling heads in Italy. Biomass Bioenergy 2015, 72, 85–94. [Google Scholar] [CrossRef]
- Spinelli, R.; Hartsough, B.R.; Owende, P.M.O.; Ward, S.M. Productivity and Cost of Mechanized Whole-Tree Harvesting of Fast-Growing Eucalypt Stands. Int. J. For. Eng. 2002, 13, 49–60. [Google Scholar] [CrossRef]
- Norihiro, J.; Ackerman, P.; Spong, B.D.; Längin, D. Productivity Model for Cut-to-Length Harvester Operation in South African Eucalyptus Pulpwood Plantations. Croat. J. For. Eng. J. Theory Appl. For. Eng. 2015, 39, 1–13. [Google Scholar]
- Purfürst, F.T.; Erler, J. The Human Influence on Productivity in Harvester Operations. Int. J. For. Eng. 2012, 22, 15–22. [Google Scholar] [CrossRef]
- Hiesl, P.; Benjamin, J.G. A multi-stem feller-buncher cycle-time model for partial harvest of small-diameter wood stands. Int. J. For. Eng. 2013, 24, 101–108. [Google Scholar] [CrossRef]
- Kärhä, K.; Rönkkö, E.; Gumse, S.-I. Productivity and Cutting Costs of Thinning Harvesters. Int. J. For. Eng. 2004, 15, 43–56. [Google Scholar] [CrossRef]
- Ovaskainen, H.; Uusitalo, J.; Väätäinen, K. Characteristics and Significance of a Harvester Operators’ Working Technique in Thinnings. Int. J. For. Eng. 2004, 15, 67–77. [Google Scholar] [CrossRef]
- Purfürst, F.T.; Lindroos, O. The correlation between long-term productivity and short-term performance ratings of harvester operators. Croat. J. For. Eng. 2011, 32, 509–519. [Google Scholar]
- Schweier, J.; Becker, G. Economics of poplar short rotation coppice plantations on marginal land in Germany. Biomass Bioenergy 2013, 59, 494–502. [Google Scholar] [CrossRef]










| Value | |
|---|---|
| Purchace price (EUR) | 130,000.00 |
| Salvage value (EUR) | 10,833.00 |
| Life time (years) | 12 |
| Average Annual Investment (EUR year−1) | 75,382.00 |
| Total productive time (h) | 14,400 |
| Scheduled hours (h year−1) | 1600 |
| Productive hours (h year−1) | 1200 |
| Fuel consumption (l h−1) | 13.03 |
| Lubricants consumption (l h−1) | 0.34 |
| Fuel price (EUR l−1) (*) | 0.90 |
| Lubricant price (EUR l−1) | 9.00 |
| Load engine factor (%) | 65 |
| T8 | T11 | |
|---|---|---|
| Surface (ha) | 0.27 | 0.22 |
| Trees felled (N.) | 616 | 460 |
| Trees ha−1 (N.) | 2281 | 2091 |
| Stumps failure (%) | 68.05 | 71.4 |
| DBH average (cm) | 9.84 (±2.30) | 13.20 (±5.51) |
| Height average (m) | 8.82 (±1.78) | 11.39 (±3.79) |
| Weight average (kgw) | 50.57 (±18.82) | 101.41 (±87.48) |
| Biomass (Mg) | 31.15 | 46.65 |
| Biomass (Mg ha−1) | 115.37 | 212.05 |
| Biomass (Mg ha−1 year−1) | 14.42 | 19.28 |
| Moisture content (%) | 53.87 (±2.29) | 52.02 (±2.04) |
| Dry biomass (MgDM ha−1 year−1) | 6.65 | 9.25 |
Publisher’s Note: MDPI stays neutral with regard to jurisdictional claims in published maps and institutional affiliations. |
© 2021 by the authors. Licensee MDPI, Basel, Switzerland. This article is an open access article distributed under the terms and conditions of the Creative Commons Attribution (CC BY) license (https://creativecommons.org/licenses/by/4.0/).
Share and Cite
Sperandio, G.; Acampora, A.; Del Giudice, A.; Civitarese, V. Models for the Evaluation of Productivity and Costs of Mechanized Felling on Poplar Short Rotation Coppice in Italy. Forests 2021, 12, 954. https://doi.org/10.3390/f12070954
Sperandio G, Acampora A, Del Giudice A, Civitarese V. Models for the Evaluation of Productivity and Costs of Mechanized Felling on Poplar Short Rotation Coppice in Italy. Forests. 2021; 12(7):954. https://doi.org/10.3390/f12070954
Chicago/Turabian StyleSperandio, Giulio, Andrea Acampora, Angelo Del Giudice, and Vincenzo Civitarese. 2021. "Models for the Evaluation of Productivity and Costs of Mechanized Felling on Poplar Short Rotation Coppice in Italy" Forests 12, no. 7: 954. https://doi.org/10.3390/f12070954
APA StyleSperandio, G., Acampora, A., Del Giudice, A., & Civitarese, V. (2021). Models for the Evaluation of Productivity and Costs of Mechanized Felling on Poplar Short Rotation Coppice in Italy. Forests, 12(7), 954. https://doi.org/10.3390/f12070954

