Enhancing Working Posture Comparability in Forest Operations by the Use of Similarity Metrics
Abstract
:1. Introduction
2. Materials and Methods
2.1. Theory
2.1.1. The Ovako Working Posture Analysis System (OWAS)
2.1.2. Similarity Metrics and Their Potential in Comparison of Working Postures
2.2. Case Studies
2.2.1. Case Study 1: Simulation Based on the Possible Outputs of the OWAS Method and the Use of the Sørensen’s Quotient of Similarity
2.2.2. Case Study 2: Comparison of Motor-Manual and Manual Job Tasks by the Use of Sørensen’s Quotient of Similarity and of the Canberra Metric
2.2.3. Case Study 3: Comparison among 14 Workers Performing Manual Cultivation Operations by the Use of Sørensen’s Quotient of Similarity and Canberra Metric
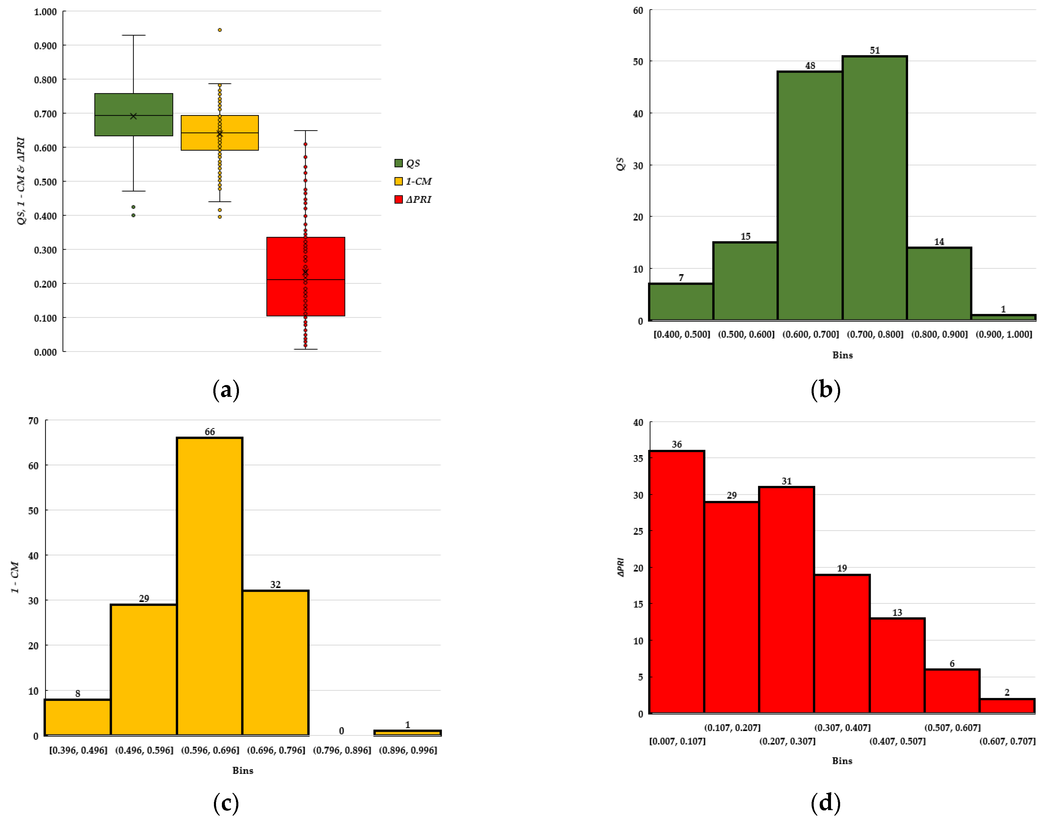
3. Results
3.1. Case Study 1
3.2. Case Study 2
3.3. Case Study 3
4. Discussion
5. Conclusions
Author Contributions
Funding
Data Availability Statement
Acknowledgments
Conflicts of Interest
Appendix A
| Samples Compared | a | b | c | m | QS | 1 − CM | ΔPRI |
|---|---|---|---|---|---|---|---|
| W1–W2 | 22 | 15 | 12 | 25 | 0.649 | 0.637 | 0.341 |
| W1–W3 | 22 | 23 | 16 | 29 | 0.711 | 0.679 | 0.040 |
| W1–W4 | 22 | 15 | 13 | 24 | 0.703 | 0.712 | 0.296 |
| W1–W5 | 22 | 22 | 14 | 30 | 0.636 | 0.659 | 0.085 |
| W1–W6 | 22 | 13 | 12 | 23 | 0.686 | 0.713 | 0.210 |
| W1–W7 | 22 | 18 | 16 | 24 | 0.800 | 0.677 | 0.168 |
| W1–W8 | 22 | 26 | 18 | 30 | 0.750 | 0.552 | 0.303 |
| W1–W9 | 22 | 28 | 18 | 32 | 0.720 | 0.596 | 0.466 |
| W1–W10 | 22 | 23 | 18 | 27 | 0.800 | 0.549 | 0.185 |
| W1–W11 | 22 | 17 | 12 | 27 | 0.615 | 0.687 | 0.531 |
| W1–W12 | 22 | 14 | 11 | 25 | 0.611 | 0.734 | 0.030 |
| W1–W13 | 22 | 17 | 14 | 25 | 0.718 | 0.672 | 0.253 |
| W1–W14 | 22 | 19 | 12 | 29 | 0.585 | 0.719 | 0.608 |
| W1–W15 | 22 | 17 | 12 | 27 | 0.615 | 0.729 | 0.403 |
| W1–W16 | 22 | 11 | 7 | 26 | 0.424 | 0.783 | 0.505 |
| W1–W17 | 22 | 16 | 10 | 28 | 0.526 | 0.732 | 0.067 |
| W2–W3 | 15 | 23 | 11 | 27 | 0.579 | 0.711 | 0.380 |
| W2–W4 | 15 | 15 | 13 | 17 | 0.867 | 0.663 | 0.045 |
| W2–W5 | 15 | 22 | 13 | 24 | 0.703 | 0.603 | 0.256 |
| W2–W6 | 15 | 13 | 13 | 15 | 0.929 | 0.478 | 0.131 |
| W2–W7 | 15 | 18 | 13 | 20 | 0.788 | 0.591 | 0.173 |
| W2–W8 | 15 | 26 | 15 | 26 | 0.732 | 0.564 | 0.038 |
| Samples Compared | a | b | c | m | QS | 1 − CM | ΔPRI |
|---|---|---|---|---|---|---|---|
| W2–W9 | 15 | 28 | 14 | 29 | 0.651 | 0.639 | 0.126 |
| W2–W10 | 15 | 23 | 14 | 24 | 0.737 | 0.608 | 0.155 |
| W2–W11 | 15 | 17 | 13 | 19 | 0.813 | 0.659 | 0.190 |
| W2–W12 | 15 | 14 | 10 | 19 | 0.690 | 0.623 | 0.311 |
| W2–W13 | 15 | 17 | 12 | 20 | 0.750 | 0.659 | 0.088 |
| W2–W14 | 15 | 19 | 12 | 22 | 0.706 | 0.556 | 0.267 |
| W2–W15 | 15 | 17 | 13 | 19 | 0.813 | 0.624 | 0.062 |
| W2–W16 | 15 | 11 | 7 | 19 | 0.538 | 0.672 | 0.164 |
| W2–W17 | 15 | 16 | 11 | 20 | 0.710 | 0.619 | 0.274 |
| W3–W4 | 23 | 15 | 13 | 25 | 0.684 | 0.646 | 0.336 |
| W3–W5 | 23 | 22 | 17 | 28 | 0.756 | 0.525 | 0.124 |
| W3–W6 | 23 | 13 | 11 | 25 | 0.611 | 0.650 | 0.249 |
| W3–W7 | 23 | 18 | 13 | 28 | 0.634 | 0.635 | 0.208 |
| W3–W8 | 23 | 26 | 15 | 34 | 0.612 | 0.604 | 0.343 |
| W3–W9 | 23 | 28 | 16 | 35 | 0.627 | 0.654 | 0.506 |
| W3–W10 | 23 | 23 | 17 | 29 | 0.739 | 0.641 | 0.225 |
| W3–W11 | 23 | 17 | 12 | 28 | 0.600 | 0.722 | 0.571 |
| W3–W12 | 23 | 14 | 9 | 28 | 0.486 | 0.699 | 0.069 |
| W3–W13 | 23 | 17 | 13 | 27 | 0.650 | 0.632 | 0.293 |
| W3–W14 | 23 | 19 | 14 | 28 | 0.667 | 0.691 | 0.648 |
| W3–W15 | 23 | 17 | 13 | 27 | 0.650 | 0.661 | 0.443 |
| W3–W16 | 23 | 11 | 8 | 26 | 0.471 | 0.757 | 0.545 |
| W3–W17 | 23 | 16 | 12 | 27 | 0.615 | 0.733 | 0.106 |
| W4–W5 | 15 | 22 | 14 | 23 | 0.757 | 0.571 | 0.211 |
| W4–W6 | 15 | 13 | 12 | 16 | 0.857 | 0.619 | 0.086 |
| W4–W7 | 15 | 18 | 13 | 20 | 0.788 | 0.504 | 0.128 |
| W4–W8 | 15 | 26 | 13 | 28 | 0.634 | 0.636 | 0.007 |
| W4–W9 | 15 | 28 | 15 | 28 | 0.698 | 0.665 | 0.170 |
| W4–W10 | 15 | 23 | 15 | 23 | 0.789 | 0.692 | 0.111 |
| W4–W11 | 15 | 17 | 11 | 21 | 0.688 | 0.729 | 0.235 |
| W4–W12 | 15 | 14 | 10 | 19 | 0.690 | 0.615 | 0.266 |
| W4–W13 | 15 | 17 | 14 | 18 | 0.875 | 0.669 | 0.043 |
| W4–W14 | 15 | 19 | 11 | 23 | 0.647 | 0.651 | 0.312 |
| W4–W15 | 15 | 17 | 12 | 20 | 0.750 | 0.724 | 0.107 |
| W4–W16 | 15 | 11 | 8 | 18 | 0.615 | 0.694 | 0.209 |
| W4–W17 | 15 | 16 | 11 | 20 | 0.710 | 0.738 | 0.229 |
| W5–W6 | 22 | 13 | 12 | 23 | 0.686 | 0.580 | 0.125 |
| W5–W7 | 22 | 18 | 15 | 25 | 0.750 | 0.558 | 0.083 |
| W5–W8 | 22 | 26 | 16 | 32 | 0.667 | 0.549 | 0.218 |
| W5–W9 | 22 | 28 | 18 | 32 | 0.720 | 0.596 | 0.382 |
| W5–W10 | 22 | 23 | 18 | 27 | 0.800 | 0.675 | 0.101 |
| W5–W11 | 22 | 17 | 14 | 25 | 0.718 | 0.627 | 0.446 |
| W5–W12 | 22 | 14 | 10 | 26 | 0.556 | 0.636 | 0.055 |
| W5–W13 | 22 | 17 | 14 | 25 | 0.718 | 0.679 | 0.168 |
| W5–W14 | 22 | 19 | 12 | 29 | 0.585 | 0.656 | 0.524 |
| W5–W15 | 22 | 17 | 13 | 26 | 0.667 | 0.670 | 0.318 |
| Samples Compared | a | b | c | m | QS | 1 − CM | ΔPRI |
|---|---|---|---|---|---|---|---|
| W5–W16 | 22 | 11 | 7 | 26 | 0.424 | 0.755 | 0.420 |
| W5–W17 | 22 | 16 | 12 | 26 | 0.632 | 0.673 | 0.018 |
| W6–W7 | 13 | 18 | 12 | 19 | 0.774 | 0.494 | 0.041 |
| W6–W8 | 13 | 26 | 13 | 26 | 0.667 | 0.621 | 0.094 |
| W6–W9 | 13 | 28 | 13 | 28 | 0.634 | 0.719 | 0.257 |
| W6–W10 | 13 | 23 | 13 | 23 | 0.722 | 0.755 | 0.024 |
| W6–W11 | 13 | 17 | 12 | 18 | 0.800 | 0.619 | 0.321 |
| W6–W12 | 13 | 14 | 9 | 18 | 0.667 | 0.488 | 0.180 |
| W6–W13 | 13 | 17 | 11 | 19 | 0.733 | 0.639 | 0.043 |
| W6–W14 | 13 | 19 | 11 | 21 | 0.688 | 0.599 | 0.399 |
| W6–W15 | 13 | 17 | 12 | 18 | 0.800 | 0.598 | 0.193 |
| W6–W16 | 13 | 11 | 7 | 17 | 0.583 | 0.757 | 0.296 |
| W6–W17 | 13 | 16 | 11 | 18 | 0.759 | 0.593 | 0.143 |
| W7–W8 | 18 | 26 | 16 | 28 | 0.727 | 0.578 | 0.135 |
| W7–W9 | 18 | 28 | 18 | 28 | 0.783 | 0.624 | 0.298 |
| W7–W10 | 18 | 23 | 17 | 24 | 0.829 | 0.671 | 0.017 |
| W7–W11 | 18 | 17 | 12 | 23 | 0.686 | 0.555 | 0.363 |
| W7–W12 | 18 | 14 | 11 | 21 | 0.688 | 0.494 | 0.138 |
| W7–W13 | 18 | 17 | 14 | 21 | 0.800 | 0.594 | 0.085 |
| W7–W14 | 18 | 19 | 12 | 25 | 0.649 | 0.644 | 0.440 |
| W7–W15 | 18 | 17 | 12 | 23 | 0.686 | 0.673 | 0.235 |
| W7–W16 | 18 | 11 | 7 | 22 | 0.483 | 0.749 | 0.337 |
| W7–W17 | 18 | 16 | 11 | 23 | 0.647 | 0.711 | 0.101 |
| W8–W9 | 26 | 28 | 20 | 34 | 0.741 | 0.502 | 0.163 |
| W8–W10 | 26 | 23 | 20 | 29 | 0.816 | 0.565 | 0.118 |
| W8–W11 | 26 | 17 | 16 | 27 | 0.744 | 0.592 | 0.228 |
| W8–W12 | 26 | 14 | 13 | 27 | 0.650 | 0.615 | 0.273 |
| W8–W13 | 26 | 17 | 16 | 27 | 0.744 | 0.514 | 0.050 |
| W8–W14 | 26 | 19 | 15 | 30 | 0.667 | 0.585 | 0.305 |
| W8–W15 | 26 | 17 | 15 | 28 | 0.698 | 0.645 | 0.100 |
| W8–W16 | 26 | 11 | 8 | 29 | 0.432 | 0.719 | 0.202 |
| W8–W17 | 26 | 16 | 13 | 29 | 0.619 | 0.694 | 0.236 |
| W9–W10 | 28 | 23 | 21 | 30 | 0.824 | 0.415 | 0.281 |
| W9–W11 | 28 | 17 | 16 | 29 | 0.711 | 0.637 | 0.065 |
| W9–W12 | 28 | 14 | 11 | 31 | 0.524 | 0.727 | 0.437 |
| W9–W13 | 28 | 17 | 17 | 28 | 0.756 | 0.575 | 0.213 |
| W9–W14 | 28 | 19 | 17 | 30 | 0.723 | 0.576 | 0.142 |
| W9–W15 | 28 | 17 | 17 | 28 | 0.756 | 0.616 | 0.063 |
| W9–W16 | 28 | 11 | 10 | 29 | 0.513 | 0.740 | 0.039 |
| W9–W17 | 28 | 16 | 15 | 29 | 0.682 | 0.717 | 0.400 |
| W10–W11 | 23 | 17 | 16 | 24 | 0.800 | 0.676 | 0.346 |
| W10–W12 | 23 | 14 | 11 | 26 | 0.595 | 0.786 | 0.156 |
| W10–W13 | 23 | 17 | 17 | 23 | 0.850 | 0.598 | 0.068 |
| W10–W14 | 23 | 19 | 15 | 27 | 0.714 | 0.687 | 0.423 |
| W10–W15 | 23 | 17 | 16 | 24 | 0.800 | 0.667 | 0.218 |
| W10–W16 | 23 | 11 | 9 | 25 | 0.529 | 0.766 | 0.320 |
| W10–W17 | 23 | 16 | 14 | 25 | 0.718 | 0.731 | 0.119 |
| Samples Compared | a | b | c | m | QS | 1 − CM | ΔPRI |
|---|---|---|---|---|---|---|---|
| W11–W12 | 17 | 14 | 10 | 21 | 0.645 | 0.662 | 0.501 |
| W11–W13 | 17 | 17 | 13 | 21 | 0.765 | 0.714 | 0.278 |
| W11–W14 | 17 | 19 | 14 | 22 | 0.778 | 0.575 | 0.077 |
| W11–W15 | 17 | 17 | 15 | 19 | 0.882 | 0.494 | 0.128 |
| W11–W16 | 17 | 11 | 8 | 20 | 0.571 | 0.741 | 0.026 |
| W11–W17 | 17 | 16 | 14 | 19 | 0.848 | 0.608 | 0.464 |
| W12–W13 | 14 | 19 | 11 | 22 | 0.667 | 0.557 | 0.223 |
| W12–W14 | 14 | 17 | 10 | 21 | 0.645 | 0.680 | 0.578 |
| W12–W15 | 14 | 11 | 10 | 15 | 0.800 | 0.945 | 0.373 |
| W12–W16 | 14 | 16 | 6 | 24 | 0.400 | 0.566 | 0.475 |
| W12–W17 | 14 | 16 | 8 | 22 | 0.533 | 0.698 | 0.037 |
| W13–W14 | 17 | 19 | 12 | 24 | 0.667 | 0.613 | 0.355 |
| W13–W15 | 17 | 17 | 13 | 21 | 0.765 | 0.641 | 0.150 |
| W13–W16 | 17 | 12 | 8 | 21 | 0.552 | 0.642 | 0.252 |
| W13–W17 | 17 | 16 | 10 | 23 | 0.606 | 0.724 | 0.186 |
| W14–W15 | 19 | 17 | 16 | 20 | 0.889 | 0.396 | 0.205 |
| W14–W16 | 19 | 11 | 10 | 20 | 0.667 | 0.586 | 0.103 |
| W14–W17 | 19 | 16 | 15 | 20 | 0.857 | 0.496 | 0.542 |
| W15–W16 | 17 | 11 | 9 | 19 | 0.643 | 0.575 | 0.102 |
| W15–W17 | 17 | 16 | 14 | 19 | 0.848 | 0.440 | 0.336 |
| W16–W17 | 11 | 16 | 10 | 17 | 0.741 | 0.537 | 0.438 |

References
- Oprea, I. Tehnologia Exploatării Lemnului; Transilvania University Press: Brasov, Romania, 2008; p. 273. [Google Scholar]
- Bell, J. Changes in logging injury rates associated with use of feller-bunchers in West Virginia. J. Saf. Res. 2002, 33, 463–471. [Google Scholar] [CrossRef]
- Axelsson, S.A. The mechanization of logging operations in Sweden and its effect on occupational safety and health. J. For. Eng. 1998, 9, 25–31. [Google Scholar]
- Lindroos, O.; La Hera, P.; Häggström, C. Drivers of advances in mechanized timber harvesting—A selective review of technological innovation. Croat. J. For. Eng. 2017, 38, 243–258. [Google Scholar]
- Visser, R.; Obi, O.F. Automation and robotics in forest harvesting operations: Identifying near-term opportunities. Croat. J. For. Eng. 2021, 42, 13–24. [Google Scholar] [CrossRef]
- Borz, S.A.; Rommel, D.; Ziesak, M.; Vasiliauskas, G. Operational requirements and preferences towards forwarder technology. Bull. Transilv. Univ. Bras. Ser. II For. Wood Ind. Agric. Food Eng. 2019, 121, 1–12. [Google Scholar] [CrossRef]
- Borz, S.A.; Marcu, M.V.; Cataldo, M.F. Evaluation of an HSM 208F 14tone HVT-R2 forwarder prototype under conditions of steep-terrain low-access forests. Croat. J. For. Eng. 2021, 42, 185–200. [Google Scholar] [CrossRef]
- Moskalik, T.; Borz, S.A.; Dvorák, J.; Ferencik, M.; Glushkov, S.; Muiste, P.; Lazdinš, A.; Styranivsky, O. Timber harvesting methods in Eastern European countries: A review. Croat. J. For. Eng. 2017, 38, 231–241. [Google Scholar]
- Lundbäck, M.; Häggström, C.; Nordfjell, T. Worldwide trends in methods for harvesting and extracting industrial roundwood. Int. J. For. Eng. 2021. [Google Scholar] [CrossRef]
- Spinelli, R.; Magagnotti, N.; Visser, R.; O’Neal, B. A survey of skidder fleet of Central, Eastern and Southern Europe. Eur. J. For. Res. 2021. [Google Scholar] [CrossRef]
- Potočnik, I.; Poje, A. Forestry ergonomics and occupational safety in high ranking scientific journals from 2005–2016. Croat. J. For. Eng. 2017, 38, 291–310. [Google Scholar]
- Kirk, P.M.; Sullman, M.J.M. Heart rate strain in cable hauler choker setters in New Zealand logging operations. Appl. Ergon. 2001, 32, 389–398. [Google Scholar] [CrossRef]
- Toupin, D.; LeBel, L.; Dubeau, D.; Imbeau, D.; Bouthillier, L. Measuring the productivity and physical workload of brushcutters within the context of a production-based pay system. For. Policy Econ. 2007, 9, 1046–1055. [Google Scholar] [CrossRef]
- Bovenzi, M. A follow up study of vascular disorders in vibration-exposed forestry workers. Int. Arch. Occup. Environ. Health 2008, 81, 401–408. [Google Scholar] [CrossRef] [PubMed]
- Stampfer, K.; Leitner, T.; Visser, R. Efficiency and ergonomic benefits of using radio controlled chokers in cable yarding. Croat. J. For. Eng. 2010, 31, 1–9. [Google Scholar]
- Silayo, D.S.A.; Kiparu, S.S.; Mauya, E.W.; Shemwetta, D.T.K. Working conditions and productivity under private and public logging companies in Tanzania. Croat. J. For. Eng. 2010, 31, 65–74. [Google Scholar]
- Ottaviani, G.; Talbot, B.; Nitteberg, M.; Stampfer, K. Workload benefits of using synthetic rope strawline in cable yarder rigging in Norway. Croat. J. For. Eng. 2010, 32, 561–569. [Google Scholar]
- Magagnotti, N.; Spinelli, R. Replacing steel cable with synthetic rope to reduce operator workload during log winching operations. Small Scale For. 2012, 11, 223–236. [Google Scholar] [CrossRef]
- Spinelli, R.; Ottaviani Aalmo, G.; Magagnotti, N. The effect of a slack-pulling device in reducing operator physiological workload during log winching operations. Ergonomics 2014, 58, 781–790. [Google Scholar] [CrossRef]
- Cheţa, M.; Marcu, M.V.; Borz, S.A. Workload, exposure to noise and risk of musculoskeletal disorders: A case study of motor-manual tree felling and processing in poplar clear cuts. Forests 2018, 9, 300. [Google Scholar] [CrossRef] [Green Version]
- Borz, S.A.; Talagai, N.; Cheţa, M.; Chiriloiu, D.; Gavilanes Montoya, A.V.; Castillo Vizuete, D.D.; Marcu, M.V. Physical strain, exposure to noise and postural assessment in motor-manual felling of willow short rotation coppice: Results of a preliminary study. Croat. J. For. Eng. 2019, 40, 377–388. [Google Scholar] [CrossRef]
- Arman, Z.; Nikooy, M.; Tsioras, P.A.; Heidari, M.; Majnounian, B. Physiological workload evaluation by means of heart rate monitoring during motor-manual clearcutting operations. Int. J. For. Eng. 1998, 9, 25–31. [Google Scholar] [CrossRef]
- Zurita Vintimilla, M.C.; Castro Pérez, S.N.; Borz, S.A. Processing small-sized trees at landing by a double-grip machine: A case study on productivity, cardiovascular workload and exposure to noise. Forests 2021, 12, 213. [Google Scholar] [CrossRef]
- Spinelli, R.; Magagnotti, N.; Labelle, E.R. The effect of new silvicultural trends on the mental workload of harvester operators. Croat. J. For. Eng. 2020, 41, 177–190. [Google Scholar] [CrossRef] [Green Version]
- Szewczyk, G.; Spinelli, R.; Magagnotti, N.; Mitka, B.; Tylek, P.; Kulak, D.; Adamski, K. Perception of the harvester operator’s working environment in windthrow stands. Forests 2021, 12, 168. [Google Scholar] [CrossRef]
- Neitzel, R.; Yost, M. Task-based assessment of occupational vibration and noise exposure in forestry workers. AIHA J. 2002, 63, 617–627. [Google Scholar] [CrossRef]
- Tunay, M.; Melemez, K. Noise induced hearing loss of forest workers in Turkey. Pak. J. Biol. Sci. 2008, 1, 2144–2148. [Google Scholar] [CrossRef] [PubMed]
- Rottensteiner, C.; Tsioras, P.; Stampfer, K. Wood density impact on hand-arm vibration. Croat. J. For. Eng. 2012, 33, 303–312. [Google Scholar]
- Fonseca, A.; Aghazadeh, F.; de Hoop, C.; Ikuma, L.; Al-Qaisi, S. Effect of noise emitted by forestry equipment on workers’ hearing capacity. Int. J. Ind. Ergon. 2015, 46, 105–112. [Google Scholar] [CrossRef]
- Poje, A.; Spinelli, R.; Magagnotti, N.; Mihelic, M. Exposure to noise in wood chipping operations under the conditions of agro-forestry. Int. J. Ind. Ergon. 2015, 50, 151–157. [Google Scholar] [CrossRef]
- Poje, A.; Potočnik, I.; Danilovic, M.; Antonić, S. A case study of the impact of skidding distance on tractor operator exposure to noise. Balt For. 2016, 22, 357–364. [Google Scholar]
- Poje, A.; Spinelli, R.; Magagnotti, N.; Mihelic, M. The effect of feedstock, knife wear and work station on the exposure to noise and vibrations in wood chipping operations. Silva Fenn. 2018, 52, 7003. [Google Scholar] [CrossRef] [Green Version]
- Neri, F.; Laschi, A.; Foderi, C.; Fabiano, F.; Bertuzzi, L.; Marchi, E. Determining noise and vibration exposure in conifer cross-cutting operations by using Li-Ion batteries and electric chainsaws. Forests 2018, 9, 501. [Google Scholar] [CrossRef] [Green Version]
- Camargo, D.A.; Munis, R.A.; Simões, D. Investigation of exposure to occupational noise among forestry machine operators: A case study in Brazil. Forests 2021, 12, 299. [Google Scholar] [CrossRef]
- Yongang, W.; Baojun, J. Effects of low temperature on operation efficiency of tree-felling by chainsaws in north China. J. For. Res. 1998, 9, 57–58. [Google Scholar] [CrossRef]
- Lindroos, O.; Burström, L. Accident rates and types among self-employed private forest owners. Accid. Anal. Prev. 2010, 42, 1729–1735. [Google Scholar] [CrossRef] [PubMed] [Green Version]
- Brachetti Montorselli, N.B.; Lombardini, C.; Magagnotti, N.; Marchi, E.; Neri, F.; Picchi, G.; Spinelli, R. Relating safety, productivity and company type for motor-manual logging operations in the Italian Alps. Accid. Anal. Prev. 2010, 42, 2013–2017. [Google Scholar] [CrossRef]
- Tsioras, P.A.; Rottensteiner, C.; Stampfer, K. Wood harvesting accidents in the Austrian State Forest Enterprise 2000–2009. Saf. Sci. 2014, 62, 400–408. [Google Scholar] [CrossRef]
- Borz, S.A.; Ignea, G.; Vasilescu, M.M. Small gains in wood recovery rate when disobeying the recommended motor-manual tree felling procedures: Another reason to use the proper technical prescriptions. Bioresources 2014, 9, 6938–6949. [Google Scholar] [CrossRef] [Green Version]
- Melemez, K. Risk factor analysis of fatal forest harvesting accidents: A case study in Turkey. Saf. Sci. 2015, 79, 369–378. [Google Scholar] [CrossRef]
- Laschi, A.; Marchi, E.; Foderi, C.; Neri, F. Identifying causes, dynamics and consequences of work accidents in forest operations in an alpine context. Saf. Sci. 2016, 89, 28–35. [Google Scholar] [CrossRef]
- Banciu, T.; Borz, S.A.; Marcu, M.V.; Iordache, E.; Liampas, S.A.G.; Drosos, V.C. An evaluation of risk-taking behavior in motor-manual tree felling and processing operations. Bull. Transilv. Univ. Bras. Ser. II For. Wood Ind. Agric. Food Eng. 2018, 112, 1–20. [Google Scholar]
- Calvo, A. Musculoskeletal disorders (MSD) risks in forestry: A case study to propose an analysis method. Agric. Eng. Int. 2009, 11, 1–9. [Google Scholar]
- Spinelli, R.; Aminti, G.; de Francesco, F. Postural risk assessment of firewood processing. Ergonomics 2016, 60, 1–9. [Google Scholar] [CrossRef] [PubMed]
- Spinelli, R.; Aminti, G.; Magagnotti, N.; De Francesco, F. Postural risk assessment of small-scale debarkers for wooden post production. Forests 2018, 9, 111. [Google Scholar] [CrossRef] [Green Version]
- Marogel-Popa, T.; Cheţa, M.; Marcu, M.V.; Duţă, C.I.; Ioraș, F.; Borz, S.A. Manual cultivation operations in poplar stands: A characterization of job difficulty and risks of health impairment. Int. J. Environ. Res. Public Health 2019, 16, 1911. [Google Scholar] [CrossRef] [Green Version]
- Gallis, C. Work-related prevalence of musculoskeletal symptoms among Greek forest workers. Int. J. Ind. Ergon. 2006, 36, 731–736. [Google Scholar] [CrossRef]
- Grzywinski, W.; Wandycz, A.; Tomczak, A.; Jelonek, T. The prevalence of self-reported musculoskeletal symptoms among loggers in Poland. Int. J. Ind. Ergon. 2016, 52, 12–17. [Google Scholar] [CrossRef]
- Corella Justavino, F.; Jimenez Ramirez, R.; Meza Perez, N.; Borz, S.A. The use of OWAS in forest operations postural assessment: Advantages and limitations. Bull. Transilv. Univ. Bras. Ser. II For. Wood Ind. Agric. Food Eng. 2015, 8, 7–16. [Google Scholar]
- David, G.C. Ergonomic methods for assessing exposure to risk of factors for work-related musculoskeletal disorders. Occup. Med. 2005, 55, 190–199. [Google Scholar] [CrossRef] [Green Version]
- Manghisi, V.M.; Uva, A.E.; Fiorentino, M.; Bevilacqua, V.; Trotta, G.F.; Monno, G. Real time RULA assessment using Kinect v2 sensor. Appl. Ergon. 2017, 65, 481–491. [Google Scholar] [CrossRef]
- Plantard, P.; Shum, H.R.H.; Le Pierres, A.-S.; Multon, F. Validation of an ergonomic assessment method using Kinect data in real workplace conditions. Appl. Ergon. 2017, 65, 562–569. [Google Scholar] [CrossRef] [PubMed]
- Seo, J.O.; Lee, S.H. Automatic postural ergonomic risk assessment using vision-based posture classification. Autom. Constr. 2021, 128, 103725. [Google Scholar] [CrossRef]
- Borz, S.A.; Castro Perez, S.N. Effect of the sampling strategy on the accuracy of postural classification: An example from motor-manual tree felling and processing. Rev. Pădurilor 2020, 135, 19–41. [Google Scholar]
- Helander, M. A Guide to Human Factors and Ergonomics, 2nd ed.; CRC Press: Boca Raton, FL, USA, 2006; pp. 224–255. ISBN 0-203-68775-2. [Google Scholar]
- Karhu, O.; Kansi, P.; Kuorinka, I. Correcting working postures in industry: A practical method for analysis. Appl. Ergon. 1977, 8, 199–201. [Google Scholar] [CrossRef]
- Louhevaara, V.; Suurnäkki, T. OWAS: A Method for the Evaluation of Postural Load during Work; Institute of Occupational Health Centre for Occupational Safety: Helsinki, Finland, 1992; p. 23. [Google Scholar]
- Gallo, R.; Mazzetto, R. Ergonomic analysis for the assessment of the risk of work-related musculoskeletal disorder in forestry operations. J. Agric. Eng. 2013, 44. [Google Scholar] [CrossRef]
- Zanuttini, R.; Cielo, P.; Poncino, D. The OWAS method. Preliminary results for the evaluation of the risk of work-related musculo-skeletal disorders (WMSD) in the forestry sector in Italy. For. Riv. Selvic. Ecol. For. 2005, 2, 242–255. [Google Scholar]
- Zar, J.H. Biostatistical Analysis, 5th ed.; Pearson Prentice Hall: Upper Saddle River, NJ, USA, 2010; p. 960. [Google Scholar]
- Karhu, O.; Härkönen, R.; Sorvali, P.; Vepsäläinen, P. Observing working postures in industry: Examples of OWAS application. Appl. Ergon. 1981, 12, 13–17. [Google Scholar] [CrossRef]
- Gómez-Galán, M.; Pérez-Alonso, J.; Callejón-Ferre, Á.-J.; López-Martínez, J. Muskuloskeletal disorders: OWAS review. Ind. Health 2017, 55, 314–337. [Google Scholar] [CrossRef] [Green Version]
- Musat, E.C.; Apafaian, A.I.; Ignea, G.; Ciobanu, V.D.; Iordache, E.; Derczeni, R.A.; Sparchez, G.; Vasilescu, M.M.; Borz, S.A. Time expenditure in computer aided time studies implemented for highly mechanized forest equipment. Ann. For. Res. 2016, 59, 129–143. [Google Scholar]
- Brandl, C.; Mertens, A.; Schlick, C.M. Effect of sampling interval on the reliability of ergonomic analysis using the Ovako working posture analysis system. Int. J. Ind. Ergon. 2017, 57, 68–73. [Google Scholar] [CrossRef]
- Boesch, D.F. Application of Numerical Classification in Ecological Investigations of Water Pollution; EPA-600/3-77-033; Ecological Research Series; Environmental Protection Agency: Corvallis, OR, USA, 1977; p. 126.
- Huhta, V. Evaluation of different similarity indices as measures of succession in arthropod communities of the forest floor after clear-cutting. Oecologia 1979, 41, 11–23. [Google Scholar] [CrossRef] [PubMed]
- Sørensen, T. A Method for Establishing Groups of Equal Amplitude in Plat Sociology Based on Similarity of Species Content and Its Application to Analyses of the Vegetation on Danish Commons; Biologiske Skrifter, V (4); Det Kongelige Danske Videnskabernes Selskab: Copenhagen, Denmark, 1948; p. 46. [Google Scholar]
- Mathiassen, S.E. Diversity and variation in biomechanical exposure: What is it, and what would we like to know? Appl. Ergon. 2006, 37, 419–427. [Google Scholar] [CrossRef] [PubMed]
- Enez, K.; Nalbantoğlu, S.S. Comparison of ergonomic risk assessment outputs from OWAS and REBA in forestry timber harvesting. Int. J. Ind. Ergon. 2019, 70, 51–57. [Google Scholar] [CrossRef]
- Rhén, I.M.; Forsman, M. Inter- and intra-rater reliability of the OCRA checklist method in video-recorded manual work tasks. Appl. Ergon. 2020, 84, 103025. [Google Scholar] [CrossRef] [PubMed]
- Wolda, H. Similarity indices, sample size and diversity. Oecologia 1981, 50, 296–302. [Google Scholar] [CrossRef]



| Job (Abbreviation) | Short Description | Number of Observations |
|---|---|---|
| Motor-manual tree felling and processing (TFP) | Done by a chainsaw in flat terrain to fell and process poplar trees in clear cuts | 6607 |
| Motor-manual willow felling (WF) | Done by a brush cutter in flat terrain to fell willow shoots | 5825 |
| Assisting the motor-manual willow felling (AWF) | Done by a wooden stick to help directing the felling of the willow | 5779 |
| Sample | Number of Observations |
|---|---|
| 1 | 560 |
| 2 | 258 |
| 3 | 922 |
| 4 | 919 |
| 5 | 1077 |
| 6 | 1188 |
| 7 | 1409 |
| 8 | 1046 |
| 9 | 755 |
| 10 | 887 |
| 11 | 974 |
| 12 | 557 |
| 13 | 603 |
| 14 | 496 |
| 15 | 407 |
| 16 | 270 |
| 17 | 269 |
| Job Description (Abbreviation) | PRI | Comparisons | ||
|---|---|---|---|---|
| Pairs | QS | 1 − CM | ||
| Motor-manual tree felling and processing (TFP) | 268.67 | TFP-WF | 0.426 | 0.158 |
| Motor-manual willow felling (WF) | 191.11 | TFP-AWF | 0.391 | 0.154 |
| Assisting the motor-manual willow felling (AWF) | 192.02 | WF-AWF | 0.519 | 0.317 |
Publisher’s Note: MDPI stays neutral with regard to jurisdictional claims in published maps and institutional affiliations. |
© 2021 by the authors. Licensee MDPI, Basel, Switzerland. This article is an open access article distributed under the terms and conditions of the Creative Commons Attribution (CC BY) license (https://creativecommons.org/licenses/by/4.0/).
Share and Cite
Borz, S.A.; Iordache, E.; Marcu, M.V. Enhancing Working Posture Comparability in Forest Operations by the Use of Similarity Metrics. Forests 2021, 12, 926. https://doi.org/10.3390/f12070926
Borz SA, Iordache E, Marcu MV. Enhancing Working Posture Comparability in Forest Operations by the Use of Similarity Metrics. Forests. 2021; 12(7):926. https://doi.org/10.3390/f12070926
Chicago/Turabian StyleBorz, Stelian Alexandru, Eugen Iordache, and Marina Viorela Marcu. 2021. "Enhancing Working Posture Comparability in Forest Operations by the Use of Similarity Metrics" Forests 12, no. 7: 926. https://doi.org/10.3390/f12070926
APA StyleBorz, S. A., Iordache, E., & Marcu, M. V. (2021). Enhancing Working Posture Comparability in Forest Operations by the Use of Similarity Metrics. Forests, 12(7), 926. https://doi.org/10.3390/f12070926

