Competition Restricts the Growth, Development, and Propagation of Carpinus tientaiensis: A Rare and Endangered Species in China
Abstract
1. Introduction
2. Materials and Methods
2.1. Study Area
2.2. Sample Surveys and Data Collection
2.3. Competition Index
2.4. Point Pattern Analysis Method and Null Model
3. Results
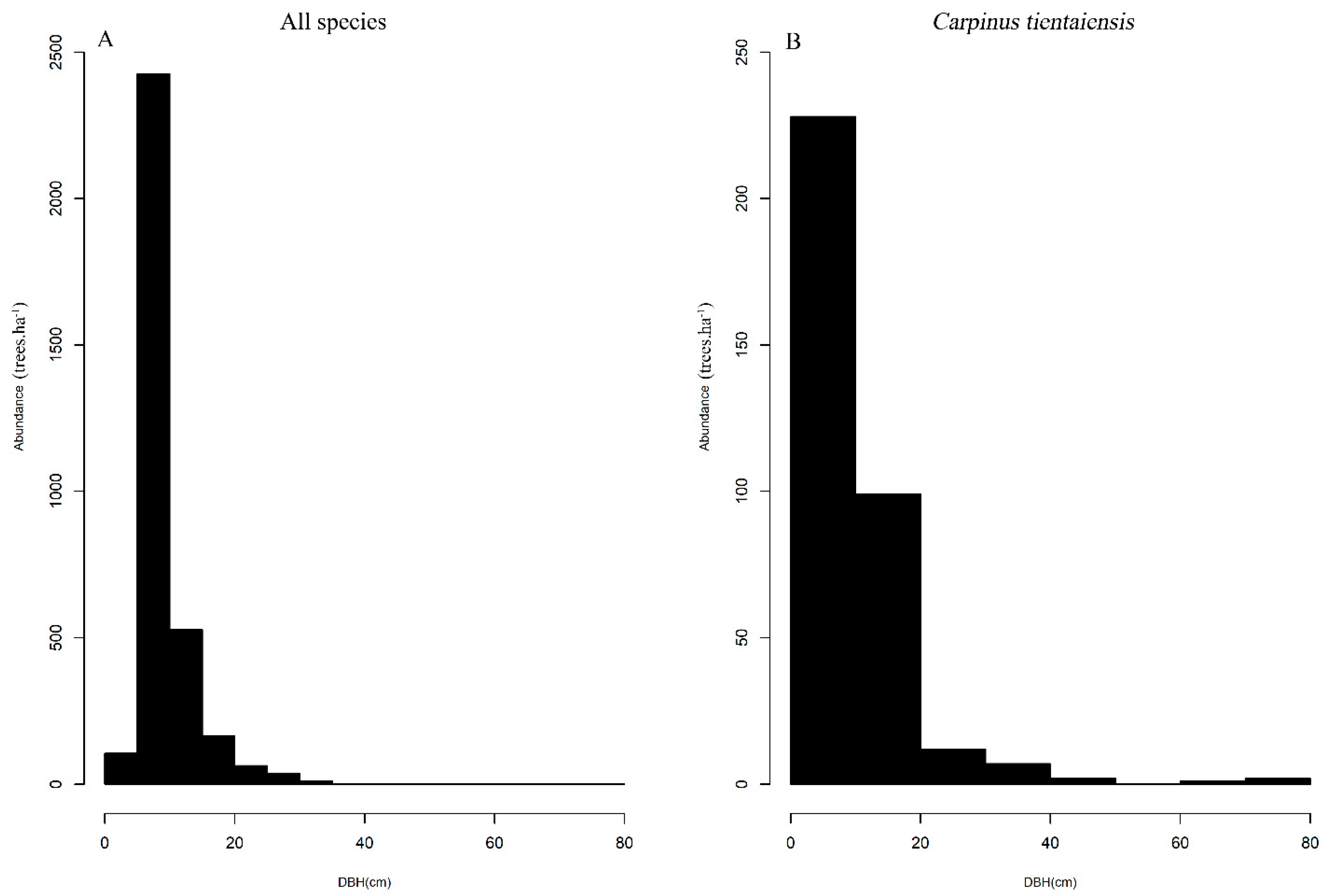
3.1. Individual Structure
3.2. Spatial Distribution Patterns of Carpinus tientaiensis and Other Species
3.3. Intraspecific Association of Carpinus tientaiensis Population
3.4. Interspecific Association of Carpinus tientaiensis Population
4. Discussion
4.1. Intraspecies Interactions of Carpinus tientaiensis Populations
4.2. Interspecific Interactions of Carpinus tientaiensis with Other Species
4.3. Suggestions for the Protection and Propagation of Carpinus tientaiensis
5. Conclusions
Author Contributions
Funding
Acknowledgments
Conflicts of Interest
References
- Wang, X.; Ye, J.; Li, B.; Zhang, J.; Lin, F.; Hao, Z. Spatial distributions of species in an old-growth temperate forest, northeastern China. Can. J. For. Res. 2010, 40, 1011–1019. [Google Scholar] [CrossRef]
- Liu, P.; Wang, W.; Bai, Z.; Guo, Z.; Ren, W.; Huang, J.; Xu, Y.; Yao, J.; Ding, Y.; Zang, R. Competition and facilitation co-regulate the spatial patterns of boreal tree species in Kanas of Xinjiang, northwest China. For. Ecol. Manag. 2020, 467, 118167. [Google Scholar] [CrossRef]
- Kubota, Y. Spatial pattern and regeneration dynamics in a temperateAbies—Tsugaforest in southwestern Japan. J. For. Res. 2006, 11, 191–201. [Google Scholar] [CrossRef]
- Veblen, K.E. Season- and Herbivore-Dependent Competition and Facilitation in a Semiarid Savanna. Ecology 2007, 89, 1532–1540. [Google Scholar] [CrossRef] [PubMed]
- Callaway, R.M. Positive Interactions and Interdependence in Plant Communities; Springer: Berlin/Heidelberg, Germany, 2007. [Google Scholar]
- Muhamed, H.; Maalouf, J.-P.; Michalet, R. Summer drought and canopy opening increase the strength of the oak seedlings–shrub spatial association. Ann. For. Sci. 2013, 70, 345–355. [Google Scholar] [CrossRef]
- Wright, A.; Schnitzer, S.A.; Reich, P.B. Living close to your neighbors: The importance of both competition and facilitation in plant communities. Ecology 2014, 95, 2213–2223. [Google Scholar] [CrossRef]
- Tilman, D. Resource competition between plankton algae: An experimental and the oretical approach. Ecology 1977, 58, 338–348. [Google Scholar] [CrossRef]
- Peters, H.A. Neighbour-regulated mortality: The influence of positive and negative density dependence on tree populations in species-rich tropical forests. Ecol. Lett. 2003, 6, 757–765. [Google Scholar] [CrossRef]
- Condit, R.; Ashton, P.S.; Baker, P.; Bunyavejchewin, S.; Gunatilleke, S.; Gunatilleke, N.; Hubbell, S.P.; Foster, R.B.; Itoh, A.; LaFrankie, J.V.; et al. Spatial Patterns in the Distribution of Tropical Tree Species. Science 2000, 288, 1414–1418. [Google Scholar] [CrossRef]
- Velázquez, E.; Martínez, I.; Getzin, S.; Moloney, K.A.; Wiegand, T. An evaluation of the state of spatial point pattern analysis in ecology. Ecography 2016, 39, 1042–1055. [Google Scholar] [CrossRef]
- Wiegand, T.; Gunatilleke, S.; Gunatilleke, N.; Okuda, T. Analyzing The Spatial Structure of A Sri Lankan Tree Species with Multiple Scales of Clustering. Ecology 2007, 88, 3088–3102. [Google Scholar] [CrossRef]
- Zhang, C.; Jin, W.; Gao, L.; Zhao, X. Scale dependent structuring of spatial diversity in two temperate forest communities. For. Ecol. Manag. 2014, 316, 110–116. [Google Scholar] [CrossRef]
- Freckleton, R.P.; Watkinson, A.R. Nonmanipulative determination of plant community dynamics. Trends Ecol. Evol. 2001, 16, 301–307. [Google Scholar] [CrossRef]
- Tilman, D. Resource competition and community structure. Monogr. Popul. Biol. 1982, 17, 1–296. [Google Scholar] [PubMed]
- Getzin, S.; Dean, C.; He, F.; Trofymow, J.A.; Wiegand, K.; Wiegand, T. Spatial patterns and competition of tree species in a Douglas-fir chronosequence on Vancouver Island. Ecography 2006, 29, 671–682. [Google Scholar] [CrossRef]
- He, F.; Lafrankie, J.V. Distribution patterns of tree species in a Malaysian tropical rain forest. J. Veg. Sci. 1997, 8, 105–114. [Google Scholar]
- Wiegand, T.; Moloney, K.A. Rings, circles, and null-models for point pattern analysis in ecology. Oikos 2004, 104, 209–229. [Google Scholar] [CrossRef]
- Sterner, R.W.; Ribic, C.A.; Schatz, G.E. Testing for Life Historical Changes in Spatial Patterns of Four Tropical Tree Species. J. Ecol. 1986, 74, 621. [Google Scholar] [CrossRef]
- Dale, M.R.T. Spatial Pattern Analysis in Plant Ecology: Point patterns. Q. Rev. Biol. 1999, 15, 195–196. [Google Scholar]
- Brooker, R.W.; Maestre, F.T.; Callaway, R.M.; Lortie, C.L.; Cavieres, L.A.; Kunstler, G.; Liancourt, P.; Tielbörger, K.; Travis, J.M.J.; Anthelme, F.; et al. Facilitation in plant communities: The past, the present, and the future. J. Ecol. 2007, 96, 18–34. [Google Scholar] [CrossRef]
- Martinez, I.; Wiegand, T.; Taboada, F.G.; Obeso, J.R. Spatial associations among tree species in a temperate forest community in North-western Spain. For. Ecol. Manag. 2010, 260, 456–465. [Google Scholar] [CrossRef]
- Omelko, A.; Ukhvatkina, O.; Zhmerenetsky, A.; Sibirina, L.; Petrenko, T.; Bobrovsky, M. From young to adult trees: How spatial patterns of plants with different life strategies change during age development in an old-growth Korean pine-broadleaved forest. For. Ecol. Manag. 2018, 411, 46–66. [Google Scholar] [CrossRef]
- Fibich, P.; Lepš, J.; Novotný, V.; Klimeš, P.; Těšitel, J.; Molem, K.; Damas, K.; Weiblen, G.D. Spatial patterns of tree species distribution in New Guinea primary and secondary lowland rain forest. J. Veg. Sci. 2016, 27, 328–339. [Google Scholar] [CrossRef]
- Zhao, R.; Chu, X.; He, Q.; Tang, Y.; Song, M.; Zhu, Z. Modeling Current and Future Potential Geographical Distribution of Carpinus tientaiensis, a Critically Endangered Species from China. Forests 2020, 11, 774. [Google Scholar] [CrossRef]
- Shaw, K.; Roy, S.; Wilson, B. Carpinus tientaiensis. The IUCN Red List of Threatened Species 2014, e.T194617A2353175. Available online: https://www.iucnredlist.org/species/194617/2353175 (accessed on 1 August 2014).
- Lu, P.; Yan, K. Xinjiang Forest; China Forestry Publishing: Beijing, China, 1989. [Google Scholar]
- Zhang, J.; Song, B.; Li, B.-H.; Ye, J.; Wang, X.-G.; Hao, Z.-Q. Spatial patterns and associations of six congeneric species in an old-growth temperate forest. Acta Oecol. 2010, 36, 29–38. [Google Scholar] [CrossRef]
- Hegyi, F.A. Simulation model for managing jack-pine stands. In Growth Models for Tree and Stand Simulation; Royal College of Forestry: Stockholm, Sweden, 1974; pp. 74–90. [Google Scholar]
- Illian, J.; Penttinen, A.; Stoyan, H.; Stoyan, D. Statistical Analysis and Modelling of Spatial Point Patterns. Stat. Anal. Model. Spat. Point Patterns 2007, 47, 516–517. [Google Scholar] [CrossRef]
- R Core Team. R: A Language and Environment for Statistical Computing; R Foundation for Statistical Computing: Vienna, Austria, 2016. [Google Scholar]
- Guo, Y.; Lu, J.; Franklin, S.B.; Wang, Q.; Xu, Y.; Zhang, K.; Bao, D.; Qiao, X.; Huang, H.; Lu, Z.; et al. Spatial distribution of tree species in a species-rich subtropical mountain forest in central China. Can. J. For. Res. 2013, 43, 826–835. [Google Scholar] [CrossRef]
- Araújo, M.S.; Costa-Pereira, R. Latitudinal gradients in intraspecific ecological diversity. Biol. Lett. 2013, 9, 20130778. [Google Scholar] [CrossRef]
- Carrer, M.; Castagneri, D.; Popa, I.; Pividori, M.; Lingua, E. Tree spatial patterns and stand attributes in temperate forests: The importance of plot size, sampling design, and null model. For. Ecol. Manag. 2018, 407, 125–134. [Google Scholar] [CrossRef]
- Wiegand, T.; Huth, A.; Getzin, S.; Wang, X.; Hao, Z.; Gunatilleke, C.V.S.; Gunatilleke, I.A.U.N. Testing the independent species’ arrangement assertion made by theories of stochastic geometry of biodiversity. In Proceedings of the Royal Society B: Biological Sciences; The Royal Society: London, UK, 2012; Volume 279, pp. 3312–3320. [Google Scholar]
- Getzin, S.; Wiegand, T.; Wiegand, K.; He, F. Heterogeneity influences spatial patterns and demographics in forest stands. J. Ecol. 2008, 96, 807–820. [Google Scholar] [CrossRef]
- Pacala, S.W. Dynamics of plant communities. In Plant Ecology, 2nd ed.; Crawley, M.J., Ed.; Blackwell Scientific: Oxford, UK, 1997; pp. 532–555. [Google Scholar]
- Murrell, D.J. On the emergent spatial structure of size-structured populations: When does self-thinning lead to a reduction in clustering? J. Ecol. 2009, 97, 256–266. [Google Scholar] [CrossRef]
- Yan, Z.; Stephan, G.; Thorsten, W.; Ren, H.; Ma, K.; Lambert, J.E. The relative importance of janzen-connell effects in influencing the spatial patterns at the gutianshan subtropical forest. PLoS ONE 2013, 8, e74560. [Google Scholar]
- Paine, C.E.T.; Harms, K.E.; Schnitzer, S.A.; Carson, W.P. Weak Competition Among Tropical Tree Seedlings: Implications for Species Coexistence. Biotropica 2008, 40, 432–440. [Google Scholar] [CrossRef]
- Foster, J.R.; Finley, A.O.; D’Amato, A.W.; Bradford, J.B.; Banerjee, S. Predicting tree biomass growth in the temperate-boreal ecotone: Is tree size, age, competition, or climate response most important? Glob. Chang. Biol. 2016, 22, 2138–2151. [Google Scholar] [CrossRef]
- Chazdon, R.L. Second Growth: The Promise of Tropical Forest Regeneration in an Age of Deforestation; University of Chicago Press: Chicago, IL, USA, 2014. [Google Scholar]
- Bengtsson, J.; Fagerström, T.; Rydin, H. Competition and coexistence in plant communities. Trends Ecol. Evol. 1994, 9, 246–250. [Google Scholar] [CrossRef]
- Fichtner, A.; Härdtle, W.; Li, Y.; Bruelheide, H.; Kunz, M.; Von Oheimb, G. From competition to facilitation: How tree species respond to neighbourhood diversity. Ecol. Lett. 2017, 20, 892–900. [Google Scholar] [CrossRef] [PubMed]
- Martorell, C.; Freckleton, R.P. Testing the roles of competition, facilitation and stochasticity on community structure in a species-rich assemblage. J. Ecol. 2014, 102, 74–85. [Google Scholar] [CrossRef]
- Kuennecke, B.H. Temperate Forest Biomes; Greewood Press: Westprot, CT, USA, 2008. [Google Scholar]
- Clark, D.B.; Clark, D.A.; Read, J.M. Edaphic variation and the mesoscale distribution of tree species in a neotropical rain forest. J. Ecol. 1998, 86, 101–112. [Google Scholar] [CrossRef]
- Long, W.; Zang, R.; Ding, Y.; Huang, Y. Effects of Competition and Facilitation on Species Assemblage in Two Types of Tropical Cloud Forest. PLoS ONE 2013, 8, e60252. [Google Scholar] [CrossRef] [PubMed]
- Steinbauer, M.J.; Beierkuhnlein, C.; Khan, M.A.A.; Harter, D.E.; Irl, S.D.; Jentsch, A.; Schweiger, A.H.; Svenning, J.-C.; Dengler, J. How to differentiate facilitation and environmentally driven co-existence. J. Veg. Sci. 2016, 27, 1071–1079. [Google Scholar] [CrossRef]
- Muhamed, H.; Touzard, B.; Le Bagousse-Pinguet, Y.; Michalet, R. The role of biotic interactions for the early establishment of oak seedlings in coastal dune forest communities. For. Ecol. Manag. 2013, 297, 67–74. [Google Scholar] [CrossRef]
- Wiegand, T.; Moloney, K.A. Handbook of Spatial Point-Pattern Analysis in Ecology; CRC Press: Boca Raton, FL, USA, 2013. [Google Scholar]
- Weiher, E.; Freund, D.; Bunton, T.; Stefanski, A.; Lee, T.; Bentivenga, S. Advances, challenges and a developing synthesis of ecological community assembly theory. Philos. Trans. R. Soc. B Biol. Sci. 2011, 366, 2403–2413. [Google Scholar] [CrossRef] [PubMed]
- Funk, J.L.; Larson, J.E.; Ames, G.M.; Butterfield, B.J.; Cavender-Bares, J.; Firn, J.; Laughlin, D.C.; Sutton-Grier, A.E.; Williams, L.; Wright, J. Revisiting the Holy Grail: Using plant functional traits to understand ecological processes. Biol. Rev. 2017, 92, 1156–1173. [Google Scholar] [CrossRef] [PubMed]





| Species | Family | Abundance (Tree·ha−1) | Basal Area (m2·ha) | Competition Index (CI1) | Shade Tolerance |
|---|---|---|---|---|---|
| Rhododendron fortunei | Ericaceae | 1243 | 7.74 | 0.316 | Shade-tolerant |
| Symplocos coreana | Symplocaceae | 448 | 1.93 | 0.212 | Light-demanding |
| Carpinus tientaiensis | Betulaceae | 351 | 4.9 | 0.203 | Light-demanding |
| Eurya hebeclados | Theaceae | 255 | 1.28 | 0.264 | Shade-tolerant |
| Lyonia ovalifolia | Ericaceae | 145 | 0.52 | 0.188 | Light-demanding |
| Pinus taiwanensis | Pinaceae | 120 | 3.98 | 0.227 | Shade-tolerant |
| Cyclobalanopsis multinervis | Fagaceae | 80 | 1.35 | 0.295 | Shade-tolerant |
Publisher’s Note: MDPI stays neutral with regard to jurisdictional claims in published maps and institutional affiliations. |
© 2021 by the authors. Licensee MDPI, Basel, Switzerland. This article is an open access article distributed under the terms and conditions of the Creative Commons Attribution (CC BY) license (https://creativecommons.org/licenses/by/4.0/).
Share and Cite
Yao, L.; Xu, Y.; Jiang, B.; Wu, C.; Yuan, W.; Zhu, J.; Li, T.; Wang, Z. Competition Restricts the Growth, Development, and Propagation of Carpinus tientaiensis: A Rare and Endangered Species in China. Forests 2021, 12, 503. https://doi.org/10.3390/f12040503
Yao L, Xu Y, Jiang B, Wu C, Yuan W, Zhu J, Li T, Wang Z. Competition Restricts the Growth, Development, and Propagation of Carpinus tientaiensis: A Rare and Endangered Species in China. Forests. 2021; 12(4):503. https://doi.org/10.3390/f12040503
Chicago/Turabian StyleYao, Liangjin, Yuanke Xu, Bo Jiang, Chuping Wu, Weigao Yuan, Jinru Zhu, Tingting Li, and Zhigao Wang. 2021. "Competition Restricts the Growth, Development, and Propagation of Carpinus tientaiensis: A Rare and Endangered Species in China" Forests 12, no. 4: 503. https://doi.org/10.3390/f12040503
APA StyleYao, L., Xu, Y., Jiang, B., Wu, C., Yuan, W., Zhu, J., Li, T., & Wang, Z. (2021). Competition Restricts the Growth, Development, and Propagation of Carpinus tientaiensis: A Rare and Endangered Species in China. Forests, 12(4), 503. https://doi.org/10.3390/f12040503

