Next Article in Journal
Transcriptome Analysis for Fraxinus mandshurica Rupr. Seedlings from Different Carbon Sequestration Provenances in Response to Nitrogen Deficiency
Next Article in Special Issue
Wood Anatomical Traits Reveal Different Structure of Peat Bog and Lowland Populations of Pinus sylvestris L. in the Carpathian Region
Previous Article in Journal
Forest Conservation and Renewable Energy Consumption: An ARDL Approach
Previous Article in Special Issue
Performance and Phenotypic Stability of Norway Spruce Provenances, Families, and Clones Growing under Diverse Climatic Conditions in Four Nordic Countries
 
 
Font Type:
Arial Georgia Verdana
Font Size:
Aa Aa Aa
Line Spacing:
Column Width:
Background:
Article

Early Performance of Tree Species in a Mountain Reforestation Experiment

Austrian Forest Research Center, Seckendorff Gudent Weg 8, A-1131 Vienna, Austria
*
Author to whom correspondence should be addressed.
Forests 2021, 12(2), 256; https://doi.org/10.3390/f12020256
Submission received: 27 December 2020 / Revised: 9 February 2021 / Accepted: 15 February 2021 / Published: 23 February 2021

Abstract

Climate change requires forest managers to explore new concepts in reforestation. High-elevation sites are posing challenges because the range of tree species that can cope with present and future conditions is small and limited experience with candidate species is available. Methods: We selected a mountain site with nutrient-poor silicatic soils. The previous Norway spruce (Picea abies) stand performed poorly. We established a reforestation experiment with 27 tree species that were planted in different combinations in order to evaluate silvicultural options. Site preparation activities and planting techniques reflected the locally applied regular procedures. After planting, we monitored height growth and phenological characteristics of needle/leaf development in spring. The presently dominant Norway spruce was genetically characterized. Results: Tree seedlings planted at high elevation are highly vulnerable. The temporal course of needle/leaf sprouting varies widely. Early developers are vulnerable to frost, impairing tree development. Biotic stressors such as high population densities of weevils or mice can cause high mortality. Conclusion: we suggest a conservative approach to tree species selection because present site conditions in mountain areas may impair the development of many tree species that could be viable options in a considerably warmer climate.

1. Introduction

Climate change requires adaptive forest management strategies with considerable foresight. Reforestation activities after harvesting operations offer the opportunity to establish forest types that would not develop under present site conditions and that comprise tree species and tree-species mixtures that could be relevant in a future climate. Knowledge on the performance of many tree species in experiments increases the options for climate-smart forestry during stand development. Higher air temperatures in the future will allow the use of tree species in mountain forests that are currently predominantly found at warmer sites, e.g., at lower elevations. The challenge is finding tree species that can cope with currently harsh and future climatic conditions in mountain areas. As a consequence of climate change, many temperate forests are increasingly damaged by abiotic stressors such as frost and drought, and biotic stressors such as newly invading pests and pathogens [1]. The emerging problems are widely discussed, yet difficult to capture in forest growth models, because they require detailed and often unavailable information on site conditions. Moreover, planning of forest management strategies is hampered by the wide range of possible futures. In the case that worldwide climate-change mitigation strategies are successfully implemented, the future warming will be small, yet pessimistic scenarios indicate a stronger warming trend. Forests that are established now would ideally be able cope with a wide range of possible future climates. Climate scenarios are used in order to approximate the warming trend. However, the results from different climate models vary widely. Foresters are encouraged to interpret locally and regionally downscaled climate scenarios with climatology experts in order to get a good understanding of future conditions [2,3].
Change is the known unknown in decadal forest ecosystem development. The use of potential natural vegetation as guidance for the choice of tree species in forestry is partially compromised due to climate change effects [4]. Moreover, management intensity, air pollution, climate change, and increased nitrogen availability in recent decades has had some unexpected consequences on forests [5,6,7,8,9]. Using low-cost natural regeneration is not necessarily a promising method of sustainable forestry. Some tree species may already be underperforming as a consequence of climate change, as site conditions have already changed during the lifetime of existing forests. Some tree species shift their habitat range and change the competition compared to the present forest types [10,11,12]. An obvious approach to the selection of tree species in reforestation projects is the analysis of the performance of regionally encountered tree species. Yet, in some areas, the diversity of tree species is narrow, both due to natural constraints and management strategies that have favored monospecies forests. Climate conditions in mountain regions narrow the options of tree species selection. Frost episodes in late spring and early autumn render the use of tree species that develop their needles or leaves early in the growing season impossible. Climate change may lead to unprecedented water shortage and drought periods in summer. Understandably, silvicultural experiments have been focused on economically relevant and abundant tree species [13,14,15]. The performance of some tree species that may play an important role in mountain regions in the Alps is not yet sufficiently investigated. Textbook knowledge and the interpretation of observations from other regions are an unsatisfying basis for knowledge-based silvicultural concepts to cope with climate change. Field experiments are needed in order to analyze the productivity of different tree species and to understand their resilience to biotic and abiotic disturbances.
Forest managers have a range of adaptation options for climate change effects. A large intraspecific variation was found for Norway spruce in the Alps and its surrounding central and southeastern European range [16,17,18]. This high variation can support adaptation when forest practitioners select seed provenances that are better suited to future conditions [19]. Another option is often referred to as ‘assisted migration’, i.e., the intentional movement of tree species in response to anticipated climate change into new habitats. It is applied when tree species are feared to become maladapted upon climate change, but potentially relevant tree species are not able to disperse as quickly as the climatic conditions are changing [20,21,22]. Assisted migration can be applied to native tree species; unprecedented tree species combinations; or non-native, yet potentially relevant, tree species. The choice of non-native trees for assisted migration efforts is controversial. In particular, nature conservationists are discussing whether non-native plants are a benefit or threat for ecosystems [23].
Our experiment is included in the long-term experiment program of the Austrian Forest Research Center [24]. The intention is monitoring the stand development for several decades. The objectives of the experiment are as follows:
  • Benchmark the performance (productivity, mortality) of a variety of tree species in comparison to the already encountered local tree population;
  • Identify the candidate tree species for forests that need to cope with a changed climate in mountain regions of the Eastern Alps;
  • In the long term, identify threats and challenges for tree species in a future climate;
  • Characterize the performance of trees during their development;
  • Identify the experimental challenges for the comparison of tree species with respect to adaptation of climate change.
In this paper, we describe the experimental setup, provide the rationale for selecting the chosen tree species, and document the planting process. Survival rate, height increase, and phenology are used as the first available indicators of the performance of different tree species. As the experiment advances we expect useful information for climate-smart reforestation projects at high-elevation sites on silicatic bedrock in the Eastern Alps.

2. Materials and Methods

2.1. Site Characteristics

The experimental site, Wechsel (47.9999 N, 15.9741 E), is located at an elevation of 1340 m a.s.l. in central Austria. The southwest-facing slope has an inclination of about 20%. The forests, according to the potential natural vegetation, are spruce-fir forests (Luzulo nemorosae-Piceetum) and Norway spruce is by far the dominating tree species [25]. The forests have low productivity. The yield class of the previous forest was 6, i.e., a mean annual growth of 6 m 3 stem wood during a production time of 100 years. This is far below the Austrian average, which is presently at 9 m 3 (http://waldinventur.at, accessed on 9 February 2021). Soils are derived from gneiss and schists and are sandy, rather shallow, and poor in nutrients. The water infiltration potential is high due to the abundance of weathered rocks, however, the water retention capacity in the rooted zone is low. The C:N ratio is wide and both the cation exchange capacity and the base saturation are low (Table 1).
The climatic conditions are shown in Figure 1. The Walter–Lieth diagram is based on a 60-year record of climate data collected at the closest climatological monitoring site, which is located 600-m below the experimental site (Figure 1). The diagram shows permanent snow cover from November to April and a chance of low temperatures until May. The growing season is consequently very short. Rain is quite abundant and drought is apparently a minor threat at the site. Climate change scenarios do not show a clear trend in precipitation patterns but a warming between 2 C and 3.5 C, depending on whether a path of RCP 4.5 or RCP 8.5 is followed [3,26].
The site was chosen for the experiment because the local forest owner, who had managed the forest enterprise during four decades, observed poor performance of his high-elevation spruce forests. Thinning operations that were expected to make more light, nutrients, and water available to the remaining trees had little effect on the productivity. The forest owner sought advice from scientists in order to make knowledge-based decisions when establishing the next forest generation. The previous Norway spruce-dominated forest was planted early in the 20th century. At that time, knowledge on tree genetics and provenances was in its infancy [27]. It is not documented whether site-adapted provenances have been chosen upon planting or seeding. Yet, it is well known that the forests in the region have been unsustainably used for centuries. Litter raking has deprived the soil nutrient pool. The timber and fuel-wood demand of the local population and the support of a small-scale glass industry, evidenced by the name of the adjacent village, ‘Glashütten’, led to exploitative forest use and degradation.
The previous Norway spruce stand was harvested in 2016. The stems were removed, roots and stumps were left in the soil, and logging residues (twigs and branches) were piled up at several stripes within the experimental site. No mulching or other soil treatment was performed. Both the harvesting technique and the dealings with branch and needle biomass reflect the normal modus operandi of the forest enterprise and its partners. The experimental site was fenced in order to keep out ungulates because the population density of ungulates is high and browsing would destroy the experiment. Just in the first year, a dense grass cover (mostly Calamagrostis arundinacea) developed and competed with tree seedlings for light and other resources. We did not take measures to control grasses, although they compete for light and nutrients in the early phase of stand development. The decision was taken because the managers of the forest enterprises in the region do without grass control for economic reasons and accept potential growth reductions of trees in the first couple of years. In order to ensure that our experimental site is not treated differently from other reforestations in the region, we adopted the same strategy.

2.2. Choice of Tree Species

The present dominance of Norway spruce is driven both by the biogeographical conditions and by forest management decisions of the past. Admixed species such as Silver fir (Abies alba), European larch (Larix decidua), and deciduous trees were often eliminated to follow forest concepts that were favoring Norway spruce. A further reduction of tree-species diversity was caused by selective browsing by ungulates [28]. Climate change will reduce the share of Norway spruce [10]. Yet, even in a warmer world, Norway spruce will be an important tree species in Austrian mountain forests. In high-elevation regions, even warming transiently increases the productivity of forests due to longer growing seasons. This is particularly the case in montane and subalpine, inner-alpine forests, where forest site conditions favor Norway spruce and exclude most competing tree species [25,29,30].
For our experiment, we used 27 tree species that are partially characterized in the European tree atlas [31]. Their expected growth performance and their tolerance towards frost and drought are shown in Table 2. For Norway spruce, we used different provenances: the presently recommended provenance for the forest district (Picea abies (high elevation)) and a provenance that is recommended for lower elevation (Picea abies (low elevation)) [32]. In addition, we collected local seedlings and left space for natural regeneration (Picea abies (natural regeneration)). Thereby, we can compare the performance of the planted Norway spruces with the locally occurring trees. The choice of tree species for our experiment was based on a discussion between regional forest managers, the regional forest authorities, and scientists. The size restriction at the experimental site limited the choice of tree species. We chose species that are expected to have relevance for timber production in the future and, in addition, some species that may have little relevance for forest enterprise and that are under-researched (Table 2).
All trees were produced as containerized seedlings from two regional providers who regularly do business with the forest enterprise. The planting material was delivered in September 2017 and was immediately planted. Holes were made by a custom-made corer with an inner diameter exactly fitting the size of the root balls of the seedlings. The corer also had marks indicating the planting depth, as prescribed by the producer. After inserting the seedlings in the holes, the soil was cautiously tightened and covered with the previously removed soil. Locally collected spruce seedlings were treated differently. We selected naturally regenerating spruce specimens of similar height as the containerized seedlings, carefully excavated them with a spade in order to prevent root damage, inserted them in small open pits, and refilled the holes with the previously excavated soil material. The transfer of the naturally regenerated trees to their new growing spot was finished in approximately 30 minutes. In the experiment, the plots with transplanted seedlings from natural regeneration serve as a benchmark for the performance of spruce without forest management interference.
The number of used tree seedlings reflects the trade-off between the anticipated commercial relevance of trees in forests that are expected in the future, and scientific curiosity on the performance of tree species. The most abundant species are the local provenances of Norway spruce (‘high elevation’, ‘low elevation’), followed by European larch, Silver fir, aspen (Populus tremula), Douglas fir (Pseudotsuga menziesii), pines (Pinus sp.), beech, and maple (Acer pseudoplatanus), shown in Table 3.
The Austrian Forest Act limits the size of clear-cut areas and extra permission is required to justify a larger open area. We aimed at accommodating 31 treatments (single-species plots and plots with tree species combinations, with up to 3 replicates for each treatment; Table 4).
Size restrictions called for a space-efficient experimental setup. We applied a beehive-shapeddesign that minimizes the edge effect and densely packs a maximum number of plots in the available area. A grid of 5.4 m was set up across the entire site. Each grid point was marked with a wooden pole. Around each pole, a group of 4 seedlings was planted. In the upper-left corner of Figure 2, the concept is shown: one tree is planted in the center (number 2 in Figure 2), the next one is 1.5 m to the left along the contour line (number 1), and two more trees are 1.5 m to the right at an angle of +60 and −60 from the contour line (numbers 3 and 4). In the treatments involving two tree species, we alternated the planting pattern. In one 4-specimen group, the first tree species was planted in the center and the three surrounding positions were populated with the second tree species. In the next group, the pattern was reversed, so that we obtained a mixture ration of 50%. In the treatment that combines 3 clones of hybrid aspen (Populus tremuloides X), we alternated the pattern within each group in order to use the same number of seedlings from each clone.
Twelve cells are clustered to form a single plot containing 48 tree seedlings on 303 m 2 . This represents a planting density of 1584 plants per hectare.
At the edges of the almost rectangular experimental site, no full plots could be fitted. At these spots, more tree species were planted in irregularly shaped plots. We used that space for planting several underinvestigated tree species in order to satisfy our scientific curiosity, but not under the assumption that these tree species will be commercially relevant in the future. The gray cell in the upper center (‘0’) was left open and allows the monitoring of natural regeneration of any tree species.
The individual plots were spatially distributed according to a randomized process. The choice of tree species combinations was made in a discussion with the regional forest managers.

2.3. Phenology, Growth, Mortality

Beginning in spring 2017, we monitored the phenology of the tree seedlings. We distinguished between needles/leaves not-yet developed, partially developed, and fully developed. In addition, we assessed whether tree seedlings were damaged and identified the reasons for the damage by expert judgment. Biotic damages were inflicted by weevils (Hylobius abietis) that were unfortunately quite active in 2017 and 2018, and in 2020 by mice. Measures to control weevils by chemical measures were only partially successful. Abiotic damages were caused by frost. Dead seedlings were annually replaced, and the replacement was documented. The growth performance was assessed by measuring tree height in the autumns of 2017 to 2020. Here, we report the results of the last two years. The relative height increment was calculated as the ratio of the height difference between the years 2020 and 2017 and the initial height (2017). An ANOVA was used to test the significance of differences between species and the means were compared with a Tukey test in R version 4.0.3.

2.4. Genetics

A genetic analysis of Norway spruce was instigated in order to characterize the genetic variability of tree seedlings from a purportedly homogenous batch, because all seeds were collected from the provenance of Norway spruce in high elevation. Seeds were collected from different forest stands in the same growth region [25,32]. Needles of 65 Norway spruce specimen were picked from seedlings in summer 2019. A well-established Single Nucleotide Polymorphism Chip for Norway spruce was used with loci characterizing the climate, phenology, and drought stress [33]. DNA was extracted and a quality and quantity check was done by gel electrophoresis. Data were classified with respect to drought tolerance using machine learning [34]. A prediction accuracy of approximately 40% was achieved.

3. Results

The phenology in spring is shown in Figure 3. The early development varies widely. The three aspen clones, alder (Alnus incana), silver birch (Betula pendula), cherries (Prunus sp.), and rowan (Sorbus aucuparia) developed quickly, obviously rapidly responding to increasing temperatures. The conifers (pines, firs, larches, and spruces) are showing a slower start in spring. The differences within the Norway spruce provenances are minor. The gradual development in the two compared years is similar. In 2019, the phenology was monitored until the end of June. In 2020, the monitoring period was greatly extended in order to fully capture the needle-unfolding of the particularly slowly developing Corsican pine (Pinus nigra) and Scots pine (Pinus sylvestris).
The height of the trees in the second and third year of the experiment is shown in Figure 4. Considering that the grasses were more than half a meter high, many tree species were overgrown by grasses and primarily deciduous trees, which were delivered as taller seedlings reached over the canopy of the grasses. The measured differences in heights of different tree species were consistent between years. The ‘number of specimen’ at the top of the graph indicates the number of measured tree seedlings. It reflects and takes into account that many tree seedlings have died off for a number of reasons (compare Table 3).
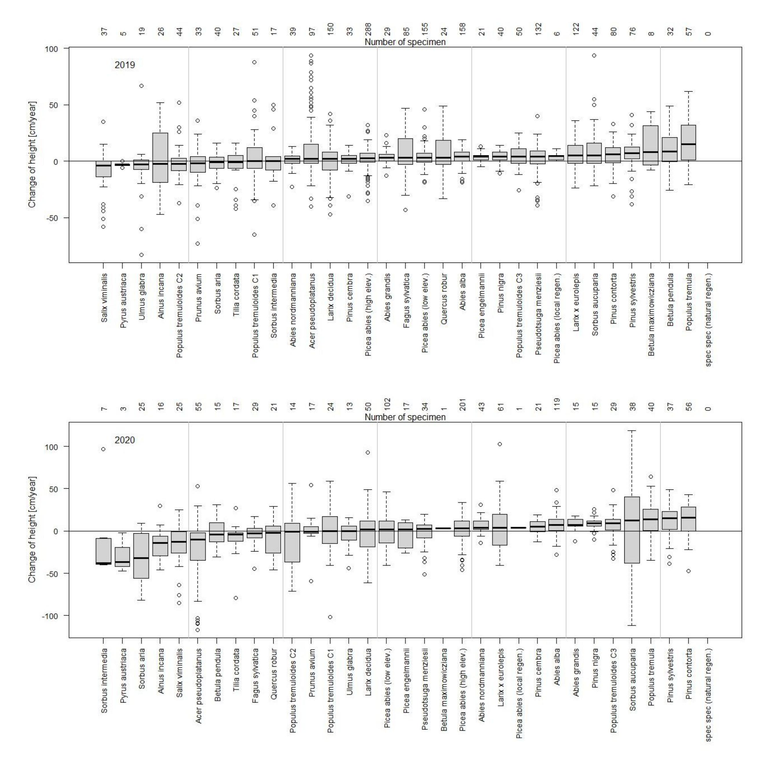
The annual increase of height of different tree species is shown in Figure 5. In both years, the average height growth was modest and, in most cases, below 30 cm. Negative height increments indicate the effect of damages, when leading shoots were either damaged by frost or high individuals were damaged due to biotic factors such as weevils and mice. An ANOVA showed that the differences of the relative height increment were highly significant (Table 5). A Tukey test identified 6 groups with a considerable overlap between the different tree species.
The mortality rate of tree seedlings was very high in both seasons. Monarch peak and alder was almost completely lost in both years and Douglas fir also did not develop well. We observed substantial differences between the years. Beech was mostly lost in the second year. Other tree species such as fir, pine, and rowan mostly survived (Figure 6).
The genetic analysis showed the wide variation of drought tolerance within Norway spruce. Among the 65 investigated specimen, 30 were intolerant to drought, 22 were tolerant, and the remaining 13 assumed an intermediate position.

4. Discussion

The presently dominant tree species in the mountain forests of Austria is Norway spruce. The relevance of different spruce provenances and the options for forest managers to successfully deal with climate change have been demonstrated in several investigations [16,17]. Comparing the spruce provenances for low and high elevation, and the growth performance of locally collected seedlings, we observed only minor differences. The timing of sprouting and the mortality rate are similar and the annual height growth is around the average of the compared tree species (Figure 4 and Figure 5). The high genetic variability of spruce within the same provenance indicates that large flexibility with respect to an eventually changing water supply. We preliminary conclude that low-elevation provenances of Norway spruce are suitable options for reforestation projects in high altitudes.
The high mortality of transplanted spruce seedlings that have been collected from adjacent stands is in agreement with observations from the local forest manager and was therefore expected. Transplanted tree seedlings surviving the transfer to a new location are potentially successful. However, we do not expect that the transplanted seedlings are a viable future option for forest managers, because the recently harvested forest was not growing well. The transplant seedlings rather complement the experiment when we benchmark their growth with the development of the purchased seedlings after the experiment. It allows us to establish whether the tree species used in the experiment indeed increase the options of forest managers in comparison to the expected natural regeneration (Figure 3, Figure 4 and Figure 5).
A lot of research in the context of climate-smart forestry is done on Silver fir. It is a common native member of many forest types in the Alps and highly appreciated by nature conservationists. Its slow, juvenile development; slightly poorer technological quality compared to Norway spruce; susceptibility to damages caused by air pollution; and low tolerance to deer browsing have contributed to the decline of the population in productive forests in Austria. These adverse factors are now compensated by a higher tolerance to drought and a higher optimum temperature compared to Norway spruce [30,35]. In our experiment, the mortality of Silver fir was low. The performance with respect to height growth was average, but not particularly weak (Figure 3, Figure 4 and Figure 5). The non-native Abies grandis was showing similar characteristics to Silver fir. Although the elevation range of the experimental site is well within the range of the natural occurrence of Abies grandis, the low soil fertility of the site may be an obstacle [36] (Table 1). Similar considerations apply for Abies nordmanniana, which performed very well in the first years of the experiment.
Many pines are tolerant to a wide range of site conditions. In our experiment, we included Scots pine, Stone pine, and Black pine as native, and Lodgepole pine as non-native species (Figure 2 and Table 3). Scots pine is a typical late developer in spring and is therefore believed to be especially tolerant to late frost events in spring (Figure 2). In our experiment, the mortality rate was low and the height growth was above average. Black pine, which grows naturally at low elevations, performed poorly. A relevant factor may be that the delivered first batch of seedlings was tiny and had little chance to cope with the transfer from the production site to a harsh environment. The compared Stone pine is typically encountered in high-elevation ecosystems [30]. It is usually not seen as an option for mountain forests in a warmer world [37,38]. We introduced Stone pine in order to properly reflect both present and future site conditions. Stone pine is presently developing slowly, undeterred by mortality for biotic or abiotic factors. Under future climatic conditions the experimental site may well be far out off the range of site conditions where Stone pine belongs. Eventually, Stone pine may be pushed out of its natural habitat, as it has been demonstrated for herbaceous plants [39,40]. The non-native lodgepole pine was developing in a similar fashion to Scots pine (Figure 3, Figure 4 and Figure 5).
The non-native Douglas fir is considered as an economically viable alternative for Norway spruce. It is particularly interesting because it is a native species sensu lato that was ‘lost’ during the Pleistocene and could be reintegrated in the flora of Central Europe [41]. Among the many provenances of Douglas fir, only some may be relevant for mountain forests in Austria in a future climate. However, in our experiment Douglas fir was performing poorly so far. The mortality was exceptionally high (>60%). Frost damaged the tree species, although did not distinctly belong to early developers. The height growth was above the average of the compared species (Figure 3, Figure 4 and Figure 5). Due to its high mortality, Douglas fir is not considered as additional ‘treatment’ in the future of the experimental site.
Deciduous trees were quite different to the conifers. When delivered and planted, the specimens were taller than coniferous trees. An obvious choice for our experiment was birch and we included two species (compare Table 2), i.e., Silver birch and Monarch birch. Birch is a common tree species in Nordic countries and was expected to perform well at the experimental site. However, both species showed a high mortality rate. The harsh climate conditions may be an important factor, but we mostly consider damages inflicted by weevils and mice as the main reasons. Birch is definitely a late-developing species (Figure 3), thereby avoiding the deleterious effect of late frost. Particularly successful in our experiment were, until now, the members of the Sorbus genus. We included Rowan and Common whitebeam as native trees in mountain forests and Swedish whitebeam as the non-native species. Sorbus had similar sprouting characteristics (Figure 3) and a low mortality rate. Rowan withstood biotic stress better than other species of the genus.
Maple was expected to be a sure high-performer. In the vicinity of the experimental site, we encountered patches of maple in the spruce-dominated forests. However, maple suffered from damages inflicted by weevils and mice. The absence of maples in the presently encountered forests gives reason to believe that under current management strategies and site constraints, the species is not competitive.
The poor performance of typical low-elevation species such as oak, cherry, and pear indicates a major challenge of ‘assisted tree migration’. These species may well thrive under future climatic conditions, but it is risky to include them in reforestation experiments. Overall, they are suffering from frost in high elevation, and a small proportion of the planted specimen has a chance to survive the juvenile phase.
We included additional species in our experiment, but we are reluctant to express a final verdict on their future performance. Although the phenology in spring shows clear patterns in both years of observations, the height growth has been less consistent. Even when tree species are quite successful during several years, they may be vulnerable to extreme climatic episodes that are not reflected in long-term climatic averages. Frost events in late spring and early summer can confine the range of options when choosing tree species for the next forest generation. Species that are developing their needles/leaves early in spring require a high frost tolerance, because late frost will inevitably happen eventually in mountain forests of the Eastern Alps.
The mortality rate of trees was frustratingly high. Yet, we learned from experience that experiments in high-elevation forests need to be tightly controlled in order to reduce the potential stress factors. Biotic damages due to weevil attacks or mice are totally unrelated to site conditions and climate change, and the performance of trees affected by them does not contribute greatly to the knowledge on future forest management options. However, every effort is made to minimize the effect of undesired and uncontrolled effects on experimental outcomes. The experimental team is required to minimize external and random effects such as damages due to weevil or mice populations in order to isolate the response factor, i.e., the response of tree species to future site conditions. In order to strengthen the power of the experiment, additional activities are recommended. Fencing the experimental plot was already justified in order to minimize the damages inflicted by deer. Defense measures against pests (e.g., weevils and mice) must be considered in order to ensure maximum effectiveness of the conducted experiment.
The future of forests in mountain environments is at stake, and forestry relies on many controlled experiments in order to draw reproducible conclusions for climate-smart forestry. The described experiment here is one of many required building blocks for establishing knowledge for science-based solutions. The design of the experiment is capable of maintaining a high tree species diversity, even after thinning operations. The alternation of tree species in each 4-tree group, as described in the experimental setup, ensures that the main tree species are continuously represented. With one tree remaining in each 4-tree group after thinning, the forest will maintain a high tree-species diversity (Figure 2). An element that we could not yet exploit in our analysis is the natural regeneration of different tree species at the experimental site. Monitoring in the future will show how transplanted spruce seedlings and natural regeneration of any tree species will perform in comparison to the planted trees. Thereby, we will be able to determine effects of the natural process compared to active reforestation.

Author Contributions

Conceptualization, R.J., S.S., G.K., C.F.; methodology, R.J., S.S., G.K., C.F.; software, G.K., C.F.; validation, R.J., S.S., G.K., C.F.; formal analysis, R.J., S.S., G.K., C.F.; investigation, R.J., S.S., G.K., C.F., C.B.; data curation, C.F., G.K.; writing—original draft preparation, R.J.; writing—review and editing, R.J., S.S., G.K., C.F.; visualization, G.K., C.F.; supervision, R.J.; project administration, C.F.; funding acquisition, R.J. All authors have read and agreed to the published version of the manuscript.

Funding

This research was funded by Austrian Research Promotion Agency (FFG) under grant number 858539.

Institutional Review Board Statement

Not applicable.

Informed Consent Statement

Not applicable.

Data Availability Statement

The data presented in this study are available on request from the corresponding author. The data are not publicly available due to their complexity.

Acknowledgments

The forest enterprise Schenker Forest provided technical support and in kind contributions to field work (e.g., materials used for experiments). Eva-Maria Sehr from the Austrian Institute of Technology (AIT) provided the genetic analysis. James Connell investigated plant damages and interpreted the impact of biotic and abiotic stressors. The research was financially supported by the Austrian Research Promotion Agency (FFG).

Conflicts of Interest

The authors declare no conflict of interest.

References

  1. Seidl, R.; Thom, D.; Kautz, M.; Martin-Benito, D.; Peltoniemi, M.; Vacchiano, G.; Wild, J.; Ascoli, D.; Petr, M.; Honkaniemi, J.; et al. Forest disturbances under climate change. Nat. Clim. Chang. 2017, 7, 395–402. [Google Scholar] [CrossRef] [PubMed]
  2. Collins, M.; Knutti, R.; Arblaster, J.; Dufresne, J.L.; Fichefet, T.; Friedlingstein, P.; Gao, X.; Gutowski, W.; Johns, T.; Krinner, G.; et al. Long-term Climate Change: Projections, Commitments and Irreversibility. In Climate Change 2013: The Physical Science Basis. Contribution of Working Group I to the Fifth Assessment Report of the Intergovernmental Panel on Climate Change; Cambridge University Press: Cambridge, UK; New York, NY, USA, 2013; Chapter 12; pp. 1029–1136. [Google Scholar]
  3. Chimani, B.; Heinrich, G.; Hofstätter, M.; Kerschbaumer, M.; Kienberger, S.; Leuprecht, A.; Lexer, A.; Pessenteiner, S.; Poetsch, M.; Salzmann, M.; et al. Endbericht ÖKS15–Klimaszenarien für Österreich. Available online: https://hdl.handle.net/20.500.11756/06edd0c9 (accessed on 5 February 2018).
  4. Hickler, T.; Vohland, K.; Feehan, J.; Miller, P.A.; Benjamin, S.; Costa, L.; Giesecke, T.; Fronzek, S.; Carter, T.R.; Cramer, W.; et al. Projecting the future distribution of European potential natural vegetation zones with a generalized, tree species-based dynamic vegetation model. Glob. Ecol. Biogeogr. 2012, 21, 50–63. [Google Scholar] [CrossRef]
  5. Schleppi, P.; Körner, C.; Klein, T. Increased Nitrogen Availability in the Soil Under Mature Picea abies Trees Exposed to Elevated CO2 Concentrations. Front. For. Glob. Chang. 2019, 2, 59. [Google Scholar] [CrossRef]
  6. Spiecker, H.; Mielikäinen, K.; Köhl, M.; Skovsgaard, J. Growth Trends in Europe-Studies from 12 countries; EFI Research Reports; Springer: Heidelberg, Germany, 1996; Volume 5, pp. 275–289. [Google Scholar]
  7. Seidl, R.; Schelhaas, M.J.; Lexer, M.J. Unraveling the drivers of intensifying forest disturbance regimes in Europe. Glob. Chang. Biol. 2011, 17, 2842–2852. [Google Scholar] [CrossRef]
  8. Seidl, R.; Rammer, W.; Lexer, M.J. Adaptation options to reduce climate change vulnerability of sustainable forest management in the Austrian Alps. Can. J. For. Res. 2011, 41, 694–706. [Google Scholar] [CrossRef]
  9. Thom, D.; Seidl, R.; Steyrer, G.; Krehan, H.; Formayer, H. Slow and fast drivers of the natural disturbance regime in Central European forest ecosystems. For. Ecol. Manag. 2013, 307, 293–302. [Google Scholar] [CrossRef]
  10. Hanewinkel, M.; Cullmann, D.A.; Schelhaas, M.J.; Nabuurs, G.J.; Zimmermann, N.E. Climate change may cause severe loss in the economic value of European forest land. Nat. Clim. Chang. 2012, 3, 203–207. [Google Scholar] [CrossRef]
  11. Millar, C.I.; Stephenson, N.L. Temperate forest health in an era of emerging megadisturbance. Science 2015, 349, 823–826. [Google Scholar] [CrossRef] [PubMed]
  12. Casalegno, S.; Amatulli, G.; Bastrup-Birk, A.; Durrant, T.H.; Pekkarinen, A. Modelling and mapping the suitability of European forest formations at 1-km resolution. Eur. J. For. Res. 2011, 130, 971–981. [Google Scholar] [CrossRef]
  13. Johann, K. Ergebnisse von Düngungsversuchen nach 30 Jahren ertragskundlicher Beobachtung. Berichte FBVA 2000, 114, 1–93. [Google Scholar]
  14. Pretzsch, H. Forest Dynamics, Growth and Yield: From Measurement to Model; Springer: Berlin/Heidelberg, Germany, 2010. [Google Scholar]
  15. Pretzsch, H.; Forrester, D.I.; Bauhus, J. (Eds.) Mixed-Species Forests: Ecology and Management; Springer: Berlin/Heidelberg, Germany, 2017. [Google Scholar]
  16. Kapeller, S.; Lexer, M.J.; Geburek, T.; Hiebl, J.; Schueler, S. Intraspecific variation in climate response of Norway spruce in the eastern Alpine range: Selecting appropriate provenances for future climate. For. Ecol. Manag. 2012, 271, 46–57. [Google Scholar] [CrossRef]
  17. Chakraborty, D.; Jandl, R.; Kapeller, S.; Schueler, S. Disentangling the role of climate and soil on tree growth and its interaction with seed origin. Sci. Total. Environ. 2019, 654, 393–401. [Google Scholar] [CrossRef] [PubMed]
  18. Trujillo-Moya, C.; George, J.P.; Fluch, S.; Geburek, T.; Grabner, M.; Karanitsch-Ackerl, S.; Konrad, H.; Mayer, K.; Sehr, E.M.; Wischnitzki, E.; et al. Drought Sensitivity of Norway Spruce at the Species’ Warmest Fringe: Quantitative and Molecular Analysis Reveals High Genetic Variation Among and Within Provenances. G3 Genes Genomes Genet. 2018, 8, 1225–1245. [Google Scholar] [CrossRef]
  19. Frank, A.; Howe, G.T.; Sperisen, C.; Brang, P.; Clair, J.B.S.; Schmatz, D.R.; Heiri, C. Risk of genetic maladaptation due to climate change in three major European tree species. Glob. Chang. Biol. 2017, 23, 5358–5371. [Google Scholar] [CrossRef]
  20. Dumroese, R.K.; Williams, M.I.; Stanturf, J.A.; Clair, J.B.S. Considerations for restoring temperate forests of tomorrow: Forest restoration, assisted migration, and bioengineering. New For. 2015, 46, 947–964. [Google Scholar] [CrossRef]
  21. Gömöry, D.; Krajmerová, D.; Hrivnák, M.; Longauer, R. Assisted migration vs. close-to-nature forestry: What are the prospects for tree populations under climate change? Cent. Eur. For. J. 2020, 66, 63–70. [Google Scholar] [CrossRef]
  22. Chakraborty, D.; Gaviria, J.; Bednárová, D.; Bolte, A.; Bouissou, C.; Buchacher, R.; Hazarika, R.; Henning, L.; Kowalczyk, J.; Longauer, R.; et al. Implementing assisted migration. Output of the Interreg Central Europe Programme 2014–2020. SUSTREE Policy Brief 2019, 2. [Google Scholar] [CrossRef]
  23. Schlaepfer, M.A.; Sax, D.F.; Olden, J.D. The Potential Conservation Value of Non-Native Species. Conserv. Biol. 2011, 25, 428–437. [Google Scholar] [CrossRef]
  24. Ledermann, T. (Ed.) Long-Term Experimental Plots–Valuable Heritage or Heavy Burden? BFW-Berichte; Austrian Forest Research Center: Vienna, Austria, 2017; Volume 153. [Google Scholar]
  25. Kilian, W.; Müller, F.; Starlinger, F. Die Forstlichen Wuchsgebiete Österreichs. FBVA Berichte 1994, 82, 1–58. [Google Scholar]
  26. Jacob, D.; Petersen, J.; Eggert, B.; Alias, A.; Christensen, O.B.; Bouwer, L.M.; Braun, A.; Colette, A.; Déqué, M.; Georgievski, G.; et al. EURO-CORDEX: New high-resolution climate change projections for European impact research. Reg. Environ. Chang. 2014, 14, 563–578. [Google Scholar] [CrossRef]
  27. Finkeldey, R. Forschung zur Vielfalt, vielfältige Forschung: Ziele und Wege der Forstgenetik. Schweiz. Z. FüR Forstwes. 2001, 152, 162–168. [Google Scholar] [CrossRef][Green Version]
  28. Schodterer, H. (Ed.) Bundesweites Wildeinflussmonitoring 2016–2018; BFW Praxisinformation; Austrian Forest Research Center: Vienna, Austria, 2019; Volume 48. [Google Scholar]
  29. Lexer, M.J.; Jandl, R.; Nabernegg, S.; Bednar-Friedl, B. Forestry. In Economic Evaluation of Climate Change Impacts-Development of a Cross-Sectoral Framework and Results for Austria; Steininger, K.W., König, M., Bednar-Friedl, B., Kranzl, L., Loibl, W., Prettenthaler, F., Eds.; Springer: Berlin/Heidelberg, Germany, 2015; Chapter 9; pp. 145–165. [Google Scholar]
  30. Mayer, H. Wälder des Ostalpenraumes–Standort, Aufbau und Waldbauliche Bedeutung der Wichtigsten Waldgesellschaften in den Ostalpen Samt Vorland; G. Fischer: Stuttgart, Germany, 1974. [Google Scholar]
  31. San-Miguel-Ayanz, J.; de Rigo, D.; Caudullo, G.; Houston Durrant, T.; Mauri, A. (Eds.) European Atlas of Forest Tree Species; Publication Office of the EU: Luxembourg, 2016. [Google Scholar]
  32. BFW. Herkunftsberatung. 2020. Available online: http://bfw.ac.at/hkd/herkauswahl.einstieg (accessed on 26 January 2021).
  33. Heer, K.; Ullrich, K.; Liepelt, S.; Rensing, S.; Zhou, J.; Ziegenhagen, B.; Opgenoorth, L. Detection of SNPs based on transcriptome sequencing in Norway spruce (Picea abies (L.) Karst.). Conserv. Genet. Resour. 2016, 8, 105–107. [Google Scholar] [CrossRef]
  34. Liaw, A.; Wiener, M. Classification and Regression by randomForest. R News 2002, 2, 18–22. [Google Scholar]
  35. George, J.P.; Schueler, S.; Karanitsch-Ackerl, S.; Mayer, K.; Klumpp, R.T.; Grabner, M. Inter- and intra-specific variation in drought sensitivity in Abies spec. and its relation to wood density and growth trait. Agric. For. Meteorol. 2015, 214–215, 430–443. [Google Scholar] [CrossRef]
  36. Ruhm, W.; Schuster, K.; Schönauer, J. Mögliche Gastbaumarten für die österreichische Forstwirtschaft. Die Landwirtsch. 2015, 20, 1–20. [Google Scholar]
  37. Jandl, N.; Jandl, R.; Schindlbacher, A. Future management options for cembran pine forests close to the alpine timberline. Ann. For. Sci. 2018, 75, 81. [Google Scholar] [CrossRef]
  38. Bircher, N. To Die or Not to Die: Forest Dynamics in Switzerland under Climate Change. Ph.D. Thesis, ETH Zurich, Zurich, Switzerland, 2015. [Google Scholar] [CrossRef]
  39. Grabherr, G.; Gottfried, M.; Pauli, H. Climate effects on mountain plants. Nature 1994, 369, 448. [Google Scholar] [CrossRef]
  40. Pauli, H.; Gottfried, M.; Dullinger, S.; Abdaladze, O.; Akhalkatsi, M.; Alonso, J.L.B.; Coldea, G.; Dick, J.; Erschbamer, B.; Calzado, R.F.; et al. Recent Plant Diversity Changes on Europe’s Mountain Summits. Science 2012, 336, 353–355. [Google Scholar] [CrossRef] [PubMed]
  41. Schulze, E. Effects of forest management on biodiversity in temperate deciduous forests: An overview based on Central European beech forests. J. Nat. Conserv. 2018, 43, 213–226. [Google Scholar] [CrossRef]
Figure 1. Walter–Lieth diagram, characterizing the climatic conditions at the experimental site, Wechsel. The red line shows the monthly average air temperatures, the blue line shows the monthly sums of precipitation. The horizontal bar shows the duration of permanent (dark blue) and intermittent (light blue) snow cover. The mean maximum daily temperature (21.4 C) and the mean minimum daily temperature (−11.5 C) are also shown.
Figure 1. Walter–Lieth diagram, characterizing the climatic conditions at the experimental site, Wechsel. The red line shows the monthly average air temperatures, the blue line shows the monthly sums of precipitation. The horizontal bar shows the duration of permanent (dark blue) and intermittent (light blue) snow cover. The mean maximum daily temperature (21.4 C) and the mean minimum daily temperature (−11.5 C) are also shown.
Forests 12 00256 g001
Figure 2. The space-saving experimental design minimizes the edge effect and allows for the maximum number of plots in a given area. The letters represent the tree species combinations on each plot. The arrangement of tree seedlings in one individual cell is shown in the upper-left corner.
Figure 2. The space-saving experimental design minimizes the edge effect and allows for the maximum number of plots in a given area. The letters represent the tree species combinations on each plot. The arrangement of tree seedlings in one individual cell is shown in the upper-left corner.
Forests 12 00256 g002
Figure 3. Temporal course of needle/leaf development at the experimental site of Wechsel in the springs of 2019 and 2020. Sprouting is classified as 0—no needles/leaves emerged, 1—needles/leaves partially developed, 2—needles/leaves fully developed.
Figure 3. Temporal course of needle/leaf development at the experimental site of Wechsel in the springs of 2019 and 2020. Sprouting is classified as 0—no needles/leaves emerged, 1—needles/leaves partially developed, 2—needles/leaves fully developed.
Forests 12 00256 g003
Figure 4. Height of trees in the reforestation experiment site, Wechsel, in 2019 and 2020. The number of assessed seedlings is shown at the top.
Figure 4. Height of trees in the reforestation experiment site, Wechsel, in 2019 and 2020. The number of assessed seedlings is shown at the top.
Forests 12 00256 g004
Figure 5. Annual height increment of trees in the reforestation experiment, Wechsel, in 2019 and 2020. The number of assessed seedlings is shown at the top.
Figure 5. Annual height increment of trees in the reforestation experiment, Wechsel, in 2019 and 2020. The number of assessed seedlings is shown at the top.
Forests 12 00256 g005
Figure 6. Mortality of tree seedlings in the reforestation experiment, Wechsel, in 2019 and 2020.
Figure 6. Mortality of tree seedlings in the reforestation experiment, Wechsel, in 2019 and 2020.
Forests 12 00256 g006
Table 1. Chemical soil characterization. K, Ca, Mg, Al—exchangeable cations (unbuffered BaCl 2 extract), CEC—cation exchange capacity, BSat—base saturation.
Table 1. Chemical soil characterization. K, Ca, Mg, Al—exchangeable cations (unbuffered BaCl 2 extract), CEC—cation exchange capacity, BSat—base saturation.
DepthpHCNC:NKCaMgAlCECBSat
cmCaCl 2 mg/g-mmol c /gram%
−10–03.974501238
0–103.83461.8261.4152.4537624.1
10–204.06190.9210.62.81344011.0
20–304.1880.6130.53.61.3243117.3
Table 2. The used tree species in the reforestation experiment together with a brief characterization of growth (3—high to 1—low) and the a priori knowledge on their tolerance towards frost and drought (3—high to 1—low). Moreover, the table shows whether the tree species are native or non-native. ‘N.I’ stands for ‘no reliable information available’.
Table 2. The used tree species in the reforestation experiment together with a brief characterization of growth (3—high to 1—low) and the a priori knowledge on their tolerance towards frost and drought (3—high to 1—low). Moreover, the table shows whether the tree species are native or non-native. ‘N.I’ stands for ‘no reliable information available’.
Scientific NameCommon NameGrowthToleranceNative/Non-Native
FrostDrought
Picea abiesNorway spruce331native
Larix deciduaEuropean larch311native
Abies albaSilver fir331native
Pinus sylvestrisScots pine3NI3native
Pinus cembraCembran pine133native
Pinus nigraBlack pine3NI3native
Pseudotsuga menziesiiDouglas fir311non-native
Pinus contortaLodgepole pine3NI3non-native
Picea engelmanniiEngelmann spruce231non-native
Abies grandisGrand fir331non-native
Abies nordmannianaNordmann fir2NI3non-native
Larix x eurolepisHybrid larchNININInon-native
Fagus sylvaticaEuropean beech113native
Acer pseudoplatanusMountain maple3NI1native
Sorbus aucupariaRowanNI31native
Sorbus ariaCommon whitebeam1NI3native
Ulmus glabraScots elm2NI3native
Populus tremulaEurasian aspen332native
Betula pendulaSilver birch331native
Pyrus austriacaPearNINI3native
Prunus aviumWild cherry3NI1native
Salix viminalisWillowNI11native
Tilia cordataSmall-leaved limeNI13native
Quercus roburCommon oak112native
Alnus incanaGrey alder331native
Populus tremuloides XHybrid aspenNININInon-native
Betula maximowiczianaMonarch birch331non-native
Sorbus intermediaSwedish whitebeamNINI1non-native
Table 3. Total number of tree seedlings that are used in the reforestation experiment at Wechsel.
Table 3. Total number of tree seedlings that are used in the reforestation experiment at Wechsel.
Scientific NameNumberScientific NameNumberScientific NameNumber
Abies alba216Picea abies (high elevation)432Prunus avium48
Abies grandis48Picea abies (local regeneration)96Pseudotsuga menziesii216
Abies nordmanniana48Picea abies (low elevation)216Pyrus austriaca48
Acer pseudoplatanus144Picea engelmannii48Quercus robur48
Alnus incana216Pinus cembra48Salix viminalis48
Betula maximowicziana50Pinus contorta144Sorbus aria48
Betula pendula48Pinus nigra48Sorbus aucuparia48
Fagus sylvatica144Pinus silvatica144Sorbus intermedia48
Larix decidua216Populus tremula216Tilia cordata47
Larix x eurolepis144Populus tremuloides192Ulmus glabra47
Table 4. Treatments in the reforestation experiment, Wechsel. ‘n’ denotes the number of replications.
Table 4. Treatments in the reforestation experiment, Wechsel. ‘n’ denotes the number of replications.
CodenDescription
monospecies stands of coniferous trees
Fi3pure Norway spruce; provenance for high elevation
FiT3pure Norway spruce; provenance for low elevation
Fi+FiT3mixture of high and low elevation provenances of Norway spruce
FiW2pure Norway spruce; locally collected seedlings
Ta3pure Silver fir
3pure European larch
HLä3pure hybrid larch
Do3pure Douglas fir
DKi3pure Logepole pine
WKi3pure Scots pine
monospecies stands of deciduous trees
Bu3pure European beech
BAh3pure Mountain maple
Er3pure grey alder
As3pure Eurasian aspen
HAs11pure aspen clone number 1
HAs21pure aspen clone number 2
HAs31pure aspen clone number 3
HAs1231mixture of aspen clones number 1, 2, 3
mixed-species stands
Fi+Lä3mixture of Norway spruce (provenance high elevation) and European larch
Do+Fi3mixture of Douglas fir and Norway spruce (provenance high elevation)
Er+Fi3mixture of grey alder and Norway spruce (provenance high elevation)
As+Ta3mixture of Eurasian aspen and Silver fir
other characterization
other speciesvariableseveral species of interest that were planted on otherwise unused space
01natural regeneration of any tree species
Table 5. Analysis of variance for the height increment of different tree species in the reforestation experiment, Wechsel, between 2017 and 2020.
Table 5. Analysis of variance for the height increment of different tree species in the reforestation experiment, Wechsel, between 2017 and 2020.
Effect of Tree SpeciesResiduals
Sum of squares221.2617.2
Degrees of freedom271279
F-value16.9
Publisher’s Note: MDPI stays neutral with regard to jurisdictional claims in published maps and institutional affiliations.

Share and Cite

MDPI and ACS Style

Jandl, R.; Kindermann, G.; Foldal, C.; Schüler, S.; Bouissou, C. Early Performance of Tree Species in a Mountain Reforestation Experiment. Forests 2021, 12, 256. https://doi.org/10.3390/f12020256

AMA Style

Jandl R, Kindermann G, Foldal C, Schüler S, Bouissou C. Early Performance of Tree Species in a Mountain Reforestation Experiment. Forests. 2021; 12(2):256. https://doi.org/10.3390/f12020256

Chicago/Turabian Style

Jandl, Robert, Georg Kindermann, Cecilie Foldal, Silvio Schüler, and Christina Bouissou. 2021. "Early Performance of Tree Species in a Mountain Reforestation Experiment" Forests 12, no. 2: 256. https://doi.org/10.3390/f12020256

APA Style

Jandl, R., Kindermann, G., Foldal, C., Schüler, S., & Bouissou, C. (2021). Early Performance of Tree Species in a Mountain Reforestation Experiment. Forests, 12(2), 256. https://doi.org/10.3390/f12020256

Note that from the first issue of 2016, this journal uses article numbers instead of page numbers. See further details here.

Article Metrics

Back to TopTop