Next Article in Journal
Land Use and Land Cover Changes in the Diversity and Life Zone for Uncontacted Indigenous People: Deforestation Hotspots in the Yasuní Biosphere Reserve, Ecuadorian Amazon
Next Article in Special Issue
Soil Nitrogen and Sulfur Leaching in a Subtropical Forest at a Transition State under Decreasing Atmospheric Deposition
Previous Article in Journal
Description of Intra-Annual Changes in Cambial Activity and Differentiation of Secondary Conductive Tissues of Aesculus hippocastanum Trees Affected by the Leaf Miner Cameraria ohridella
 
 
Font Type:
Arial Georgia Verdana
Font Size:
Aa Aa Aa
Line Spacing:
Column Width:
Background:
Article

Influence of Simulated Nitrogen Deposition on the Soil Seed Bank of a Subtropical Evergreen Broadleaved Forest

1
Key Laboratory of Vegetation Restoration and Management of Degraded Ecosystems, South China Botanical Garden, Chinese Academy of Sciences, Guangzhou 510650, China
2
Eastern Forest Environmental Threat Assessment Center, USDA Forest Service, Asheville, NC 27709, USA
3
Guangdong Open Laboratory of Geospatial Information Technology and Application, Guangzhou Institute of Geography, Guangdong Academy of Sciences, Guangzhou 510070, China
*
Author to whom correspondence should be addressed.
Forests 2021, 12(11), 1538; https://doi.org/10.3390/f12111538
Submission received: 11 October 2021 / Revised: 29 October 2021 / Accepted: 5 November 2021 / Published: 8 November 2021
(This article belongs to the Special Issue Biogeochemical Cycles of Nitrogen in Forest Ecosystems)

Abstract

:
Increased nitrogen (N) deposition may have profound effects on forest ecosystems. However, information on the impacts of elevated N deposition on belowground soil seed bank in forests is lacking. In a field experiment, we added N at 50 and 25 kg N ha−1 year−1 to the canopy (CAN50 and CAN25) and to the understory (UAN50 and UAN25), to determine the effects of N deposition on soil seed bank structure and composition in a subtropical evergreen broadleaved forest. A total of 1545 seedlings belonging to 37 species emerged from the 10 cm-depth soil samples. After 6 years of N addition, soil seed bank density significantly increased at the depth of 0–10 cm under CAN50 treatment relative to the control. N addition did not significantly affect species richness, the Simpson index, Shannon–Wiener index, or Pielou index of the soil seed banks. Seed bank density and species richness were positively correlated with soil organic matter content. For the whole 0–10 cm soil layer, the percentage of total seed abundance and total species richness represented by tree species among the N-addition treatments was ≤9.3% and ≤16.1%, respectively. Soil seed bank composition was similar among UAN25, UAN50, and the control, but canopy N addition and especially CAN50 altered the species composition of the seed bank. Overall, our results indicate that artificial canopy N deposition at 50 kg N ha−1 year−1 but not understory N addition tends to promote seed storage and to change species composition in the soil seed bank. Because of the dominance of shrubs and herbs in the soil seed bank, the potential to regenerate tree species from the soil seed bank is limited in the subtropical evergreen broadleaved forest.

1. Introduction

Anthropogenic activities resulting in reactive nitrogen (N) emission have greatly increased in the past several decades, leading to substantial increases in atmospheric N deposition worldwide [1,2]. N deposition has emerged as a critical environmental factor of global change and has greatly affected global terrestrial ecosystems [3,4,5]. Previous studies evaluating the influence of N deposition on various plant communities have shown that increased N deposition can alter species composition and reduce plant diversity [6,7,8,9]. N deposition is now recognized as an important factor influencing natural regeneration of plant communities and therefore affecting future vegetation structure and ecosystem functioning [10,11].
The soil seed bank is often considered as an important source of seed for natural vegetation recovery and community regeneration [12,13,14]. Both the quantitative and qualitative characteristics of soil seed bank determine the results of plant replenishment through the soil seed bank. Previous assessments of soil seed banks have evaluated their potential roles in restoration or regeneration in various vegetation types, e.g., forests [15,16,17,18], shrublands [19,20], and grasslands [21,22]. The composition of the soil seed bank is mainly determined by seed production from the aboveground or nearby vegetation and also by soil conditions and environmental variability [23,24]. In addition, soil seed banks can act as reservoirs for maintaining diversity and for buffering against unfavorable environmental changes [25,26,27]. In the context of global change, understanding the effects of N deposition on soil seed banks could facilitate forest restoration and conservation.
Nitrogen addition could alter the germination of seeds from the soil seed bank and thereby potentially influence the composition and dynamics of the remaining seed bank [23,28,29]. In a 13-year field nutrient-addition experiment, Basto et al. (2015a) [30] found that long-term N deposition reduced seed abundance and species richness of the soil seed bank in an acidic grassland; in addition, the soil seed bank showed no significant recovery after experimental N deposition had stopped for 4 years. N inputs could decrease the Shannon–Wiener index, which accounts for both richness and evenness of weed seed bank in the soil under a wheat-soybean rotation system [31]. Neutral effects of N deposition on the soil seed bank have also been reported. For instance, Schneider and Allen (2012) [32] reported that short-term N addition did not significantly affect the seed density or species richness of the soil seed bank in a desert community. To our knowledge, most data on the effects of N deposition on soil seed banks have been derived from grasslands, and information on forest soil seed banks is insufficient. Quantifying the influence of increased N deposition on forest soil seed banks will therefore increase our understanding of plant community structure and dynamics under global change.
Because of industrial and agricultural development and rapid urbanization, reactive N emission has increased greatly in China, and especially in the eastern and southern subtropical parts of the country, with evergreen broadleaved forest as the zonal vegetation type [33,34]. The increased N deposition has substantial effects on plant growth and ecological processes of the zonal evergreen broadleaved forest in these areas [35,36,37,38]. Lu et al. (2010) [7] reported that, in this type of forest, N addition at 150 kg N ha−1 yr−1 reduced plant diversity and tree species recruitment, thereby potentially altering forest regeneration dynamics. However, how increased N deposition influences the size and composition of soil seed banks in these forests remains unclear. Researchers have simulated atmospheric N deposition in forests by adding N to the understory [7,39,40]. In contrast to such artificially added N, much of the naturally deposited atmospheric N is intercepted and retained by the forest canopy [41,42]. It follows that understory N addition may overestimate the effects of N deposition on forest ecosystems and especially on the understory and soil-related ecological properties [43]. To explore the effects of N deposition on regenerative seed sources, researchers should therefore consider comparing the effects of both canopy and understory addition of N on forest soil seed banks.
In this study, we determined how simulated atmospheric N deposition affected the structure and composition of the soil seed bank in a subtropical evergreen broadleaved forest. In a six-year experiment, we added N at 25 and 50 kg N ha−1 yr−1 to the forest canopy and understory to mimic elevated N deposition. We addressed the following questions: (1) How does N addition affect the density, species richness and diversity of the forest soil seed bank? (2) Does forest canopy and understory N addition differ in their effects on the structure and composition of forest soil seed bank?

2. Materials and Methods

2.1. Study Site

The study was conducted in the evergreen broadleaved forest in Shimentai National Nature Reserve (24°22′–24°31′ N, 113°05′–113°31′ E), Qingyuan City, Guangdong Province, South China. This area has a subtropical monsoon climate with a mean annual temperature of about 20.8 °C. The average annual rainfall is 1882.8 mm, which is concentrated between May and October. The average annual relative humidity is about 78%, and the natural N deposition rate is about 34.1 kg N ha−1 yr−1 [43]. The soil type is lateritic red soil, developed from weathered granite. The canopy height of the experimental forest, which was approximately 60 years old, was about 26 m, and the canopy density was about 92%. The dominant tree species included Schima superba Gardn. et Champ, Castanea henryi (Skan) Rehd. Et Wils, Ardisia quinquegona Blume and Schefflera octophylla (Lour.) Harms, and the understory was mainly dominated by shrubs such as Psychotria rubra (Lour.) Poir and Blastus cochinchinensis Lour.

2.2. Experimental Design and Sampling

Our 6-year (2013–2018) N deposition simulation experiment had a random block design with four replicate blocks. Each block contained five circular plots, and each plot had a radius of 17 m and an area of 907 m2. The following five N addition treatments were randomly assigned to the plots within each block: canopy addition of N at 50 kg N ha−1 yr−1 (CAN50) and 25 kg N ha−1 yr−1 (CAN25), understory addition of N at 50 kg N ha−1 yr−1 (UAN50) and 25 kg N ha−1 yr−1 (UAN25), and ambient N deposition (no experimental addition of N) as the control. The neighboring plots within each block were separated by a ≥20 m buffer zone.
An NH4NO3 solution was applied to the N-addition plots. To avoid contamination by the N solution from the neighboring plots, polyvinyl chloride boards were inserted into the soil in the buffer zones. In each understory N-addition plot, a pump (CDL, Wuxi Liangtai Machinery Equipment Co., Ltd., Wuxi, China) and sprinkler system were located in the understory; five 1.5 m-high sprinklers (with a 360° rotation and a spray radius of 5 m) were evenly installed to spray the NH4NO3 solution onto the understory. In each canopy N-addition plot, a 35 m high tower was set up to support the equipment that sprayed the NH4NO3 solution onto the forest canopy; a set of sprinklers (with a spraying radius of 17 m) was installed on the top of each tower, and each sprinkler could rotate 360°, ensuring uniform spraying of the NH4NO3 solution onto the canopy. The spray applied to the canopy was also controlled by adjusting the water supply pressure, which was monitored with a water meter at the base of tower. In the four N-addition plots in each block, NH4NO3 solution was applied at the end of each month during April–October within each year since 2013. The volume of N solution applied each time was approximately equal to 3 mm of precipitation, with a total of 21 mm each year. The influence of the water that accompanied the N solution was negligible because it was roughly equal to only 1% of the local annual precipitation.
To determine the soil seed bank composition in the plots, we collected soil samples in October 2018. In each plot, two subplots (1 m × 1 m) were randomly selected, and six soil samples (10 × 10 × 10 cm, L × W × D) with litter intact were carefully excavated from each subplot. The soil samples were divided into two depths: 0–5 cm and 5–10 cm. For each subplot and depth, the six soil samples were pooled and then transported to the laboratory. Seed abundance and species composition in the soil seed banks were determined by a germination assay [44]. Soil samples were passed through a 2 mm sieve to remove coarse debris, and seeds with diameter >2 mm were retrieved from the sieve; the retrieved seeds were then returned to the soil sample that had passed through the sieve. Thereafter, each soil sample was spread on a seed germination tray, the bottom of which was covered with a 2 cm-thick layer of heat-sterilized (120 °C for 10 h) sand. All seed germination trays were placed in a greenhouse (with mean a temperature and relative humidity of 27 °C and 65%, respectively) at the South China Botanical Garden, Chinese Academy of Sciences. During the seed germination assay, all trays were regularly watered to maintain soil moisture. Newly emerged seedlings that were identified at the species level were regularly counted and removed. Unidentified seedlings were transplanted into additional germination trays for further growth until they could be identified. After the newly germinated seedlings were identified and removed, the soil in each tray was thoroughly stirred to stimulate the germination of remaining viable seeds [45]. In addition, eight seed trays filled only with sterilized sand were kept in the greenhouse to detect seed contamination; during the experimental period, no seedlings emerged from these trays. The germination assay lasted about 8 months and was terminated when new seedlings had not emerged for 4 weeks.
To assess soil chemical and microbial properties, we also collected additional soil samples in October 2018. In each plot, seven soil cores (4 cm diameter, 0 to 10 cm depth) were randomly collected near the subplots used for seed bank sampling; these cores were pooled to provide one composite soil sample per plot. The soil samples were transported to the laboratory and passed through 2 mm-mesh sieve for chemical and microbial analysis. One half of each soil sample was stored at −20 °C and was used for analysis of microbial composition. The other half of each soil sample was air-dried and sieved for analysis of chemical properties including pH, concentrations of total nitrogen (N), phosphorus (P), and organic matter. Soil pH was determined in 1:2.5 (w/v) soil solutions with a pH meter (Mettler Toledo, LE438, Shanghai, China). Soil total N was measured using the Kjeldahl acid-digestion method and total P was measured colorimetrically with an ultraviolet spectrophotometer (Unico, UV-4800, Shanghai, China). Soil organic matter content was determined by the K2Cr2O7-oxidation method [46].
The soil microbial community was determined by phospholipid fatty acid (PLFA) analysis [47]. The abundance of individual fatty acids was determined as nmol per g of dry soil and standard nomenclature was used. Each PLFA was calculated based on 19:0 internal standard concentrations [48]. Bacterial PLFA were represented by 15:0, i15:0, a15:0, i16:0, 16:1ω7c, 17:0, a17:0, i17:0, cy17:0, 18:1ω7c, and cy19:0, while fungi were represented by 18:2ω6c and 18:1ω9c. Gram-positive (GP) bacteria and Gram-negative (GN) bacteria were indicated by the sum of i15:0, a15:0, i16:0, a17:0 and i17:0, and the sum of 16:1ω7c, cy17:0, 18:1ω7c and cy19:0, respectively. PLFA 16:1ω5c was considered an indicator of arbuscular mycorrhizal fungi (AM fungi). Actinomycetes were represented by the sum of PLFAs 10 Me 16:0, 10 Me 17:0 and 10 Me 18:0.

2.3. Data Analysis

Soil seed bank density (seeds m−2) was calculated from the number of emerged seedlings. According to the number of seeds and species detected, the Simpson index, Shannon–Wiener index, and Pielou index of the soil seed bank in each subplot were determined as described by Magurran (1988) [49]. The Simpson index (D) = 1−∑Pi2, and the Shannon-Wiener index (H) = −∑PilnPi, where Pi is the relative abundance of the ith species in the soil seed bank in each subplot. The Pielou index (J) = H/lnS, where S is the number of species. The important value index (IVI, %) for each species in the soil seed banks was calculated as the sum of relative abundance (i.e., the number of seeds of a species/the total number of seeds for all species) and relative frequency (i.e., the percentage of subplots containing the given species). The similarity in soil seed bank species composition between the 0–5 cm and the 5–10 cm soil layers in each plot was measured using the Sørensen similarity index (SI, %) [50], SI = 2a/(b+c), where a refers to the number of species common to the seed bank of both soil layers, and b and c represent the total number of species detected in the seed bank of the upper 0–5 cm and the lower 5–10 cm soil layers, respectively.
One-way ANOVAs were used to evaluate the effect of N addition on the quantitative and qualitative characteristics of the seed bank, and on soil chemical and microbial properties. The difference in the seed density; species richness and other diversity index; percentage of seed abundance and species richness represented by trees, shrubs and herbs; and the Sørensen similarity index between the 0–5 cm and the 5–10 cm soil layers were determined with t-tests. Least significance difference (LSD) was used for multiple comparison when a significant effect was detected at α = 0.05. The floristic similarity in the soil seed banks among the N-addition treatments was compared by detrended correspondence analysis (DCA) based on the seed abundance of the germinated species. The correlations between seed density, species richness in soil seed banks and soil chemical and microbial characteristics as affected by N-addition treatments were assessed by redundancy analysis (RDA). SPSS 20.0 for Windows (IBM Inc., Armonk, NY, USA, 2011) and R 3.5.2 (R Development Core Team, Vienna, Austria, 2015) were used for statistical analysis.

3. Results

3.1. Seed Density

A total of 1521 seedlings belonging to 37 species emerged from the 10 cm-depth soil samples (Table 1). Seed bank densities ranged from 758.3 to 1634.4 seeds m−2 in the 0–10 cm soil layer (Figure 1). Compared to the 5–10 cm soil layer, seed density in the 0–5 cm soil layer tended to be higher in the CAN50, CAN25, and control plots and lower in the UAN50 and UAN25 plots, but the differences were insignificant. As for the 0–5 cm soil layer, seed bank density were much higher in the CAN50 plots than in other N addition treatments plots. Taking the 0–10 cm soil layer as a whole, seed bank density was higher under CAN50 plots than in control plots (Figure 1, p < 0.05).

3.2. Species Richness and Diversity

Average seed bank species richness ranged from 5.8 to 6.9 in the 0–5 cm soil layer, and from 3.9 to 5.0 in the 5–10 cm soil layer. N addition did not significantly affect species richness or any of the diversity indices. Species richness and diversity tended to be greater (and were significantly greater in several cases) in the 0–5 cm soil than in the 5–10 cm soil layer (Figure 2).

3.3. Taxonomic and Functional Composition

Overall, the most abundant species in the soil seed bank was the herb Digitaria cruciata (355 emerged seedlings), followed by Blastus cochinchinensis (281 emerged seedlings), Torenia benthamiana (173 emerged seedlings) and Mussaenda pubescens (169 emerged seedlings) (Table 1). The important value index (IVI) of tree species was generally low in the soil seed bank. The species with the highest IVI value tended to differ among the N-addition treatments. B. cochinchinensis, D. cruciate, and Cyperus tenuispica had the highest IVI in the soil seed banks in CAN50, UAN50, and UAN25 plots, respectively. The shrub M. pubescens, dominated the seed banks in the CAN25 and control plots (Table 1).
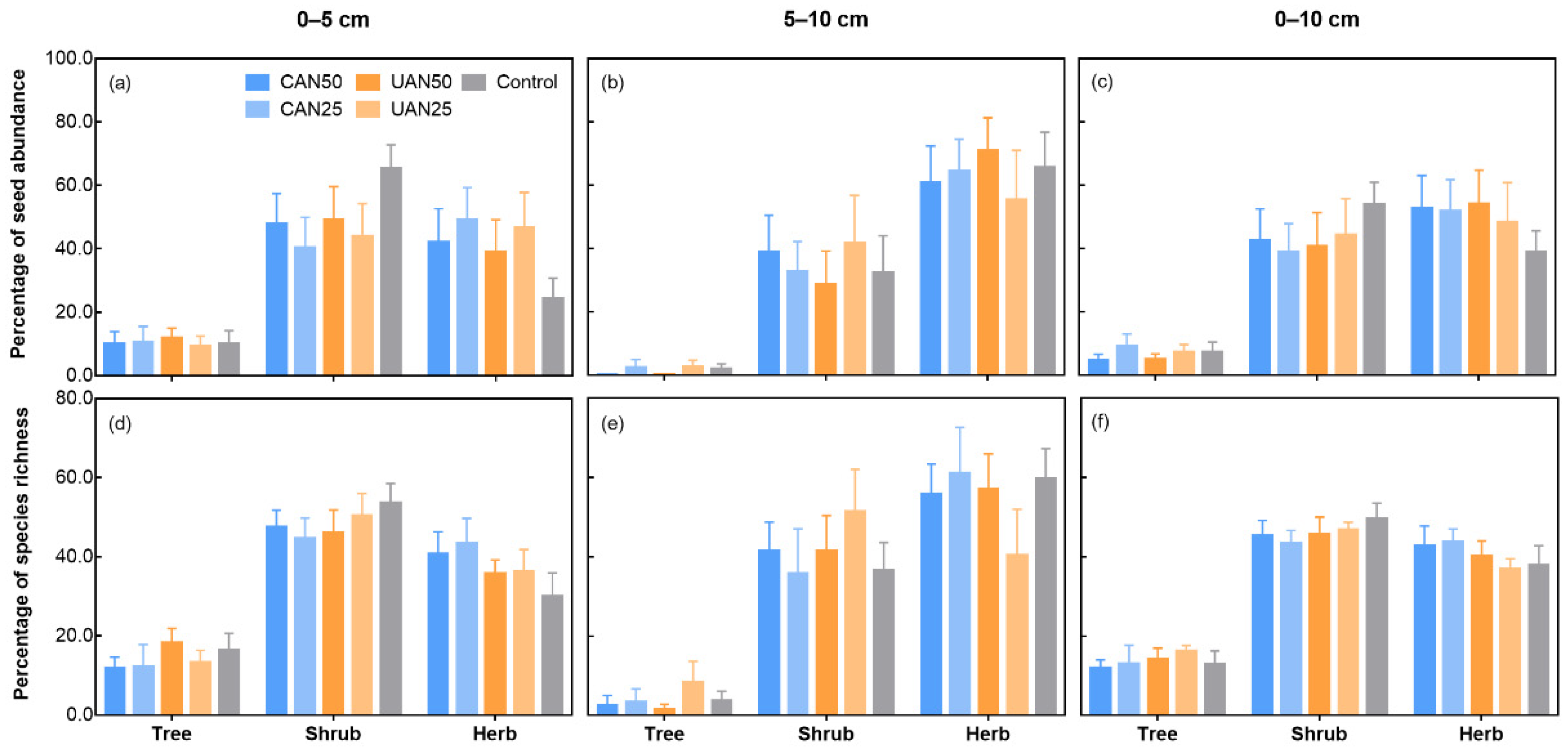
Soil seed banks in both the upper 0–5 cm and the lower 5–10 cm soil layers mainly consisted of shrubs and herbs (Figure 3). In the 0–10 cm soil layer, tree species represented only 4.8% to 9.3% of the total seed abundance in the seed banks. The percentage of species richness represented by tree species ranged from 12.0% to 16.1% among the five N-addition treatments. N addition treatments did not significantly affect the percentage of seed abundance and species richness of trees, shrubs, and herbs in the soil seed bank (Figure 3). Compared to the 0–5 cm soil layer, the percentage of seed abundance and species richness represented by tree species were much lower in the 5–10 cm soil layer in the CAN50 and UAN50 plots, and also the percentage of species richness represented by tree species was lower in the 5–10 cm soil layer in the control plots. The percentage of seed abundance represented by shrubs was much higher in the 0–5 cm than in the 5–10 cm soil layer in control plots. In the UAN50 and control plots, the percentages of seed abundance and species richness represented by herbs were also significantly higher in the 0–5 cm than in the 5–10 cm soil layer.
The ordination of soil seed bank data by DCA showed that the composition of soil seed bank communities was clustered under UAN25, UAN50 treatments and control (Figure 4). The composition of the soil seed bank in the CAN25 and CAN50 plots differed from control plots, indicating that canopy N addition treatments tended to alter the species composition of the soil seed banks. The seed bank Sørensen similarity index (SI) between the two soil layers ranged from 39.8% to 54.9%, and SI did not significantly differ among the five N addition treatments.

3.4. Relationship between Seed Bank Composition and Soil Chemical and Microbial Properties

Nitrogen addition did not significantly affect any soil chemical or microbial property other than AM fungi abundance (Table 2). AM fungi abundance was much higher in the control plots than in the CAN50 and CAN25 plots. According to redundancy analysis (RDA), species richness and seed density in the soil seed bank were positively correlated with soil organic matter content (OM) but not with any of the other measured soil properties (Figure 5). Only 11.2% of the total variation in the species richness and seed density in the soil seed bank was explained by soil properties, and the property that explained most of that variation was the density of soil fungi.

4. Discussion

In this study, seed bank densities ranged from 758.3 to 1634.4 seeds m−2 in the 0–10 cm soil layer, which is consistent with values reported in other studies in subtropical forests in southern China [13,51]. Overall, the percentage of germinated seeds represented by tree species in the seed banks was low (only 5.7%) and was much lower than the percentage represented by herbs and shrubs. In addition to representing only a small percentage of the total seed bank density, tree species represented only a small percentage of the total seed bank species richness, a finding that is consistent with previous reports for forest soil seed banks [52,53]. This result might be explained by the small number of large seeds typically produced by trees species and by the large number of small seeds typically produced by shrubs and herbs [54]. Small seeds also remain viable longer than large seeds, in part because they are less likely to be consumed by predators [55,56,57].
By providing a buffer against the disturbance events or adverse conditions, the soil seed bank is important for maintaining aboveground plant diversity [27,58]. In our study, CAN50 increased seed density in the 0–5 cm soil layer, and in the whole 0–10 cm soil layer. That finding was somewhat inconsistent with previous research that showed either a neutral effect [32] or a negative effect [30] of N addition on the seed bank size. In an acidic grassland, Basto et al. (2015a) [30] found that simulated deposition of 140 kg N ha−1 yr−1 reduced the total seed abundance in the soil by 61%, and also reduced the relative abundances of forbs, sedges, and grasses. In our study, however, the percentage of total seed abundance represented by trees, shrubs, and herbs, did not significantly differ among the five N-addition treatments. This observation might be ascribed to the fact that the N-rich status of the experimental subtropical forest, and germination of seeds in the soil was not sensitive to external supplied N. N addition also failed to significantly affect the species richness of the seed bank, which was consistent with studies conducted in other regions [32,59].
Researchers previously indicated that the influence of N addition on the soil seed bank is closely related to the effects of N addition on the soil environment [60]. Soil chemical characteristics such as pH and nutrient levels have been thought to be important in regulating the size of the soil seed bank [61,62,63]. In subtropical forests, seed abundance in the soil seed bank was found to increase as soil pH increased [51]. Török et al. (2018) [62] found that the density of weedy species in the soil seed bank was positively related to the soil phosphorus content. In our study, seed density and species richness of the soil seed bank were positively related to soil organic matter content but were unrelated to all of the other soil measured properties. This finding was also inconsistent with a previous study showing that seed persistence was reduced as soil organic matter content increased [64].
In addition to soil chemical properties, the soil microbial community may affect the abundance of seeds in the soil, partly because soil microorganisms could affect seed viability [65,66,67]. For instance, Maighal et al. (2016) [68] reported that that AM fungi reduced the viability of seeds in soil. Similarly, saprophytic fungi reduced the size of soil seed banks across several habitats [22]. In our study, however, we did not detect any relationships between seed density or species richness in the soil seed bank and the abundance of soil microorganisms as indicted by PLFAs, although soil AM fungi PLFAs were more abundant in the control plots than in the CAN50 and CAN25 plots. The small effects of the treatments on the size and species richness in the evergreen broadleaved forest soil seed bank of the current study might be explained by the small effects of the treatments on soil chemical and microbial properties after 6 years of canopy and understory N addition. The small effects of our N-addition treatments might also be explained by the high rate of background atmospheric N deposition (about 34.1 kg N ha−1 year−1) [43] and by the relatively short duration of the experiment. Phoenix et al. (2012) [3] reported that low N inputs may induce effects over time through accumulated loading. Therefore, longer-term monitoring of how soil seed banks are affected by N deposition is needed.
Overall, the simulated N deposition in our study had minor effects on seed abundance, species richness, and diversity in the soil seed bank of the subtropical evergreen broadleaved forest. Tian et al. (2019) [69] also found that canopy and understory N addition did not alter the structure of a forest plant community in terms of the Shannon-Wiener index, evenness, richness, and density. In the current study, the composition of soil seed bank communities was more similar among the UAN25, UAN50, and control plots relative to the canopy N-addition plots. These findings are inconsistent with a previous study, which found that understory N addition tended to overestimate the effects of N deposition on forest ecosystems and especially on soil-related ecological properties [43]. Because the seed bank composition is mainly determined by seed production [70,71], a more thorough understanding of the effects of canopy N addition and especially of the CAN50 treatment on the soil seed bank could be obtained by assessing the effects of canopy and understory N application on seed production by the aboveground plants.
Seed abundance, species richness, and the composition of the soil seed bank are important indicators of natural regeneration and information about them is therefore useful for ecological restoration and conservation [13,51,72]. Seed abundance and richness of tree species were low, and several dominant canopy tree species such as Castanea henryi, Schefflera octophylla, and Symplocos ramosissima were absent from the soil seed bank of the subtropical evergreen broadleaved forest. The soil seed bank in that forest therefore has little chance of supporting the natural recruitment of these dominant tree species, and recruitment of target tree species may not depend on seeds stored in the soil seed bank but instead may depend only on newly produced seeds. It is worth noting that sowed seeds and introduced seedlings of the dominant tree C. henryi in the experimental forest were generally predated by vertebrates and invertebrates (unpublished data). The structure of the regional evergreen broadleaved forest might be changed as these obstacles during plant recruitment of the dominant species.

5. Conclusions

After 6 years of simulated N deposition, we found that only canopy addition of N at 50 kg N ha−1 year−1 significantly increased seed density in the 0–5 cm and 0–10 cm soil layers. N addition did not significantly affect species richness, the Simpson index, Shannon-Wiener index, or Pielou index in the soil seed banks of the upper 0–5 cm and the lower 5–10 cm layers. Compared to understory N addition treatments, canopy N addition and especially at 50 kg N ha−1 year−1 may alter the species composition of the soil seed banks. Overall, our results indicate that short-term simulated N deposition especially through the method of understory N addition had limited effects on seed abundance and species composition of the soil seed bank in the subtropical forest of the current study. The findings highlight that the soil seed bank in the subtropical forest could represent a buffer against the elevated N deposition. Considering that the soil seed bank was mostly composed of herbs and shrubs, and that seed abundance and species richness of tree species was very low, we suggest that the soil seed bank will be ineffective in regenerating the evergreen broadleaved forest.

Author Contributions

Conceptualization, J.W. and H.L.; Data Curation, Y.H.; Funding Acquisition, J.W. and H.L.; Investigation, J.W., Y.H. and L.Y.; Writing—Original Draft, J.W.; Writing—Review and Editing, Q.G., H.L. and H.R. All authors have read and agreed to the published version of the manuscript.

Funding

This study was supported by the Key Research and Development Program of Guangdong Province (2020B1111530004), Guangzhou Science and Technology Program (201710010137), the Youth Innovation Promotion Association CAS (2019340), the National Natural Science Foundation of China (31770487; 31770473).

Institutional Review Board Statement

Not applicable.

Informed Consent Statement

Not applicable.

Data Availability Statement

The data presented in this study are available on request from the corresponding author.

Acknowledgments

The authors are indebted to Dongming Liu for species identification of the emerged seedlings, and to Bruce Jaffee for providing English editing of the manuscript.

Conflicts of Interest

The authors declare no conflict of interest.

References

  1. Gruber, N.; Galloway, J.N. An Earth-system perspective of the global nitrogen cycle. Nature 2008, 451, 293–296. [Google Scholar] [CrossRef]
  2. Fowler, D.; Coyle, M.; Skiba, U.; Sutton, M.A.; Cape, J.N.; Reis, S.; Sheppard, L.J.; Jenkins, A.; Grizzetti, B.; Galloway, J.N.; et al. The global nitrogen cycle in the twenty-first century. Philos. Trans. R. Soc. B 2013, 368, 20130164. [Google Scholar] [CrossRef]
  3. Phoenix, G.K.; Emmett, B.A.; Britton, A.J.; Caporn, S.J.M.; Dise, N.B.; Helliwell, R.; Jones, L.; Leake, J.R.; Leith, I.D.; Sheppard, L.J.; et al. Impacts of atmospheric nitrogen deposition: Responses of multiple plant and soil parameters across contrasting ecosystems in long-term field experiments. Glob. Chang. Biol. 2012, 18, 1197–1215. [Google Scholar] [CrossRef]
  4. Steffen, W.; Richardson, K.; Rockstrom, J.; Cornell, S.E.; Fetzer, I.; Bennett, E.M.; Biggs, R.; Carpenter, S.R.; de Vries, W.; de Wit, C.A.; et al. Planetary boundaries: Guiding human development on a changing planet. Science 2015, 347, 1259855. [Google Scholar] [CrossRef] [Green Version]
  5. WallisDeVries, M.F.; Bobbink, R. Nitrogen deposition impacts on biodiversity in terrestrial ecosystems: Mechanisms and perspectives for restoration. Biol. Conserv. 2017, 212, 387–389. [Google Scholar] [CrossRef]
  6. Robbink, R.; Hicks, K.; Galloway, J.; Spranger, T.; Alkemade, R.; Ashmore, M.; Bustamante, M.; Cinderby, S.; Davidson, E.; Emmett, B.; et al. Global assessment of nitrogen deposition effects on terrestrial plant diversity: A synthesis. Ecol. Appl. 2010, 20, 30–59. [Google Scholar] [CrossRef] [Green Version]
  7. Lu, X.K.; Mo, J.M.; Gilliam, F.S.; Zhou, G.Y.; Fang, Y.T. Effects of experimental nitrogen additions on plant diversity in an old-growth tropical forest. Glob. Chang. Biol. 2010, 16, 2688–2700. [Google Scholar] [CrossRef] [Green Version]
  8. Clark, C.M.; Morefield, P.E.; Gilliam, F.S.; Pardo, L.H. Estimated losses of plant biodiversity in the United States from historical N deposition (1985–2010). Ecology 2013, 94, 1141–1448. [Google Scholar] [CrossRef] [Green Version]
  9. Payne, R.J.; Dise, N.B.; Field, C.D.; Dore, A.J.; Caporn, S.J.M.; Stevens, C.J. Nitrogen deposition and plant biodiversity: Past, present, and future. Front. Ecol. Environ. 2017, 15, 431–436. [Google Scholar] [CrossRef]
  10. Patterson, S.L.; Zak, D.R.; Burton, A.J.; Talhelm, A.F.; Pregitzer, K.S. Simulated N deposition negatively impacts sugar maple regeneration in a northern hardwood ecosystem. J. Appl. Ecol. 2012, 19, 155–163. [Google Scholar] [CrossRef] [Green Version]
  11. BassiriRad, H.; Lussenhop, J.F.; Sehtiya, H.L.; Borden, K.K. Nitrogen deposition potentially contributes to oak regeneration failure in the Midwestern temperate forests of the USA. Oecologia 2015, 177, 53–63. [Google Scholar] [CrossRef]
  12. Tompson, K. The functional ecology of soil seed banks. In Seeds: The Ecology of Regeneration in Plant Communities; Fenner, M., Ed.; CABI Publishing: Wallingford, UK, 2000; pp. 215–235. [Google Scholar]
  13. Wang, J.; Ren, H.; Yang, L.; Li, D.Y.; Guo, Q.F. Soil seed banks in four 22-year-old plantations in South China: Implications for restoration. For. Ecol. Manag. 2009, 258, 2000–2006. [Google Scholar] [CrossRef]
  14. Kiss, R.; Deák, B.; Török, P.; Tóthmérész, B.; Valkó, O. Grassland seed bank and community resilience in a changing climate. Restor. Ecol. 2018, 26, S141–S150. [Google Scholar] [CrossRef]
  15. Roovers, P.; Bossuyt, B.; Igodt, B.; Hermy, M. May seed banks contribute to vegetation restoration on paths in temperate deciduous forest. Plant Ecol. 2006, 187, 25–38. [Google Scholar] [CrossRef]
  16. Wang, J.; Huang, L.J.; Ren, H.; Sun, Z.Y.; Guo, Q.F. Regenerative potential and functional composition of soil seed banks in remnant evergreen broad-leaved forests under urbanization in South China. Community Ecol. 2015, 16, 86–94. [Google Scholar] [CrossRef] [Green Version]
  17. Cofer, T.M.; Elliott, K.J.; Bush, J.K.; Miniat, C.F. Rhododendron maximum impacts seed bank composition and richness following Tsuga canadensis loss in riparian forests. Ecosphere 2018, 9, e02204. [Google Scholar] [CrossRef]
  18. Neto, A.M.; Martins, S.V.; Silva, K.D. Plantlet rescue in a soil seed bank to produce forest species seedlings. Ecol. Eng. 2019, 132, 94–101. [Google Scholar] [CrossRef]
  19. Figueroa, J.A.; Teillier, S.; Jaksic, F.M. Composition, size and dynamics of the seed bank in a mediterranean shrubland of Chile. Austral Ecol. 2004, 29, 574–584. [Google Scholar] [CrossRef]
  20. Moreno-de las Heras, M.; Turnbull, L.; Wainwright, J. Seed-bank structure and plant-recruitment conditions regulate the dynamics of a grassland-shrubland Chihuahuan ecotone. Ecology 2016, 97, 2303–2318. [Google Scholar] [CrossRef] [PubMed] [Green Version]
  21. Godefroid, S.; Pajolec, S.L.; Hechelski, M.; Van Rossum, F. Can we rely on the soil seed bank for restoring xeric sandy calcareous grasslands. Restor. Ecol. 2018, 26, S123–S133. [Google Scholar] [CrossRef]
  22. Wagner, M.; Mitschunas, N. Fungal effects on seed bank persistence and potential applications in weed biocontrol: A review. Basic Appl. Ecol. 2008, 9, 191–203. [Google Scholar] [CrossRef]
  23. Ochoa-Hueso, R.; Manrique, E. Nitrogen fertilization and water supply affect germination and plant establishment of the soil seed bank present in a semi-arid Mediterranean scrubland. Plant Ecol. 2010, 210, 263–273. [Google Scholar] [CrossRef]
  24. Jabot, F.; Pottier, J. Macroecology of seed banks: The role of biogeography, environmental stochasticity and sampling. Glob. Ecol. Biogeogr. 2017, 26, 1247–1257. [Google Scholar] [CrossRef] [Green Version]
  25. Royo, A.A.; Ristau, T.E. Stochastic and deterministic processes regulate spatio-temporal variation in seed bank diversity. J. Veg. Sci. 2012, 24, 724–734. [Google Scholar] [CrossRef] [Green Version]
  26. Wagner, M.; Walker, K.J.; Pywell, R.F. Seed bank dynamics in restored grassland following the sowing of high- and low-diversity seed mixtures. Restor. Ecol. 2018, 26, S189–S199. [Google Scholar] [CrossRef] [Green Version]
  27. Plue, J.; Van Calster, H.; Auestad, I.; Basto, S.; Bekker, R.M.; Bruun, H.H.; Chevalier, R.; Decocq, G.; Grandin, U.; Hermy, M.; et al. Buffering effects of soil seed banks on plant community composition in response to land use and climate. Glob. Ecol. Biogeogr. 2021, 30, 128–139. [Google Scholar] [CrossRef]
  28. Plassmann, K.; Brown, N.; Jones, M.L.M.; Edwards-Jones, G. Can atmospheric input of nitrogen affect seed bank dynamics in habitats of conservation interest? The case of dune slacks. Appl. Veg. Sci. 2008, 11, 413–420. [Google Scholar] [CrossRef]
  29. Zhong, M.X.; Miao, Y.; Han, S.J.; Wang, D. Nitrogen addition decreases seed germination in a temperate steppe. Ecol. Evol. 2019, 9, 8441–8449. [Google Scholar] [CrossRef] [PubMed]
  30. Basto, S.; Thompson, K.; Phoenix, G.; Sloan, V.; Leake, J.; Rees, M. Long-term nitrogen deposition depletes grassland seed banks. Nat. Commun. 2015, 6, 6185. [Google Scholar] [CrossRef] [PubMed] [Green Version]
  31. Pan, J.F.; Zhang, L.G.; Wang, L.; Fu, S.L. Effects of long-term fertilization treatments on the weed seed bank in a wheat-soybean rotation system. Glob. Ecol. Conserv. 2020, 21, e00870. [Google Scholar] [CrossRef]
  32. Schneider, H.E.; Allen, E.B. Effects of elevated nitrogen and exotic plant invasion on soil seed bank composition in Joshua Tree National Park. Plant Ecol. 2012, 213, 1277–1287. [Google Scholar] [CrossRef]
  33. Liu, X.J.; Zhang, Y.; Han, W.X.; Tang, A.H.; Shen, J.L.; Cui, Z.L.; Vitousek, P.; Erisman, J.W.; Goulding, K.; Christie, P.; et al. Enhanced nitrogen deposition over China. Nature 2013, 494, 459–463. [Google Scholar] [CrossRef] [PubMed]
  34. Gu, B.J.; Ju, X.T.; Chang, J.; Ge, Y.; Vitousek, P.M. Integrated reactive nitrogen budgets and future trends in China. Proc. Natl. Acad. Sci. USA 2015, 112, 8792–8797. [Google Scholar] [CrossRef] [PubMed] [Green Version]
  35. Fang, Y.T.; Gundersen, P.; Mo, J.M.; Zhu, W.X. Nitrogen leaching in response to increased nitrogen inputs in subtropical monsoon forests in southern China. For. Ecol. Manag. 2009, 257, 332–342. [Google Scholar] [CrossRef]
  36. Wang, H.; Liu, S.R.; Zhang, X.; Mao, Q.G.; Li, X.Z.; You, Z.M.; Wang, J.X.; Zheng, M.H.; Zhang, W.; Lu, X.K.; et al. Nitrogen addition reduces soil bacterial richness, while phosphorus addition alters community composition in an old-growth N-rich tropical forest in southern China. Soil Biol. Biochem. 2018, 127, 22–30. [Google Scholar] [CrossRef]
  37. Mori, T.; Zhou, K.J.; Wang, S.H.; Zhang, W.; Mo, J.M. Effect of nitrogen addition on DOC leaching and chemical exchanges on canopy leaves in Guangdong Province, China. J. For. Res. 2019, 30, 1707–1713. [Google Scholar] [CrossRef]
  38. Huang, J.; Wang, X.M.; Zheng, M.H.; Mo, J.M. 13-year nitrogen addition increases nonstructural carbon pools in subtropical forest trees in southern China. For. Ecol. Manag. 2021, 481, 118748. [Google Scholar] [CrossRef]
  39. Kwak, J.H.; Chang, S.X.; Naeth, M.A. Eleven years of simulated deposition of nitrogen but not sulfur changed species composition and diversity in the herb stratum in a boreal forest in western Canada. For. Ecol. Manag. 2018, 412, 1–8. [Google Scholar] [CrossRef]
  40. Zhou, K.J.; Lu, X.K.; Mori, T.; Mao, Q.G.; Wang, C.; Zheng, M.H.; Mo, H.; Hou, E.Q.; Mo, J.M. Effects of long-term nitrogen deposition on phosphorus leaching dynamics in a mature tropical forest. Biogeochemistry 2018, 138, 215–224. [Google Scholar] [CrossRef]
  41. Gaige, E.; Dail, D.B.; Hollinger, D.Y.; Davidson, E.A.; Fernandez, I.J.; Sievering, H.; White, A.; Haleman, W. Changes in canopy processes following whole-forest canopy nitrogen fertilization of a mature Spruce-Hemlock forest. Ecosystems 2007, 10, 1133–1147. [Google Scholar] [CrossRef]
  42. Bortolazzi, A.; Da Ros, L.; Rodeghiero, M.; Tognetti, R.; Tonon, G.; Ventura, M. The canopy layer, a biogeochemical actor in the forest N-cycle. Sci. Total Environ. 2021, 776, 146024. [Google Scholar] [CrossRef]
  43. Zhang, W.; Shen, W.J.; Zhu, S.D.; Wan, S.Q.; Luo, Y.Q.; Yan, J.H.; Wang, K.Y.; Liu, L.; Dai, H.T.; Li, P.X.; et al. CAN canopy addition of nitrogen better illustrate the effect of atmospheric nitrogen deposition on forest ecosystems? Sci. Rep. 2015, 5, 11245. [Google Scholar] [CrossRef] [PubMed] [Green Version]
  44. Ter Heerdt, G.N.J.; Verweij, G.L.; Bekker, R.M.; Bakker, J.P. An improved method for seed-bank analysis: Seedling emergence after removing soil by sieving. Funct. Ecol. 1996, 10, 144–151. [Google Scholar] [CrossRef]
  45. Smith, R.S.; Shiel, R.S.; Millward, D.; Corkhill, P.; Sanderson, R.A. Soil seed banks and the effects of meadow management on vegetation change in a 10-year meadow field trial. J. Appl. Ecol. 2002, 39, 279–293. [Google Scholar] [CrossRef]
  46. Liu, G.S.; Jiang, N.H.; Zhang, L.D.; Liu, Z.L. Soil Physical and Chemical Analysis and Description of Soil Profiles; Standards Press of China: Beijing, China, 1996. (In Chinese) [Google Scholar]
  47. Bossio, D.A.; Scow, K.M. Impacts of carbon and flooding on soil microbial communities: Phospholipid fatty acid profiles and substrate utilization patterns. Microb. Ecol. 1988, 35, 265–278. [Google Scholar] [CrossRef]
  48. Frostegård, A.; Bååth, E. The use of phospholipid fatty acid analysis to estimate bacterial and fungal biomass in soil. Biol. Fertil. Soils 1996, 22, 59–65. [Google Scholar] [CrossRef]
  49. Magurran, A.E. Ecological Diversity and Its Measurement; Princeton University Press: Princeton, NJ, USA, 1988. [Google Scholar]
  50. Cox, G.W. Laboratory Manual of General Ecology; McGraw-Hill: New York, NY, USA, 1985. [Google Scholar]
  51. Zou, C.B.; Martini, F.; Xia, S.W.; Castillo-Diaz, D.; Goodale, U.M. Elevation and micro environmental conditions directly and indirectly influence forests’ soil seed bank communities. Glob. Ecol. Conserv. 2021, 26, e01443. [Google Scholar] [CrossRef]
  52. Faist, A.M.; Stone, H.; Tripp, E.A. Imapcts of mastication: Soil seed bank response to a forest thinning treatment in tree Colorado (USA) conifer forest types. Forests 2015, 6, 3060–3074. [Google Scholar] [CrossRef]
  53. Wang, N.; He, X.Y.; Zhao, F.W.; Wang, D.L.; Jiao, J.Y. Soil seed bank in different vegetation types in the Loess Plateau region and its role in vegetation restoration. Restor. Ecol. 2020, 28, A5–A12. [Google Scholar] [CrossRef]
  54. Lunt, I.D. Germinable soil seed banks of anthropogenic native grasslands and grassy forest remnants in temperate south-eastern Australia. Plant Ecol. 1997, 130, 21–34. [Google Scholar] [CrossRef]
  55. Bekker, R.M.; Bakker, J.P.; Grandin, U.; Kalamees, R.; Milberg, P.; Poschlod, P.; Thompson, K.; Willems, J.H. Seed size, shape and vertical distribution in the soil: Indicators of seed longevity. Funct. Ecol. 1998, 12, 834–842. [Google Scholar] [CrossRef]
  56. Hana, F.; Sanja, C.Z.; Alois, H.; Zdenka, M.; Petr, T.; Pavel, S. Which seed properties determine the preferences of Carabid beetle seed predators? Insect 2020, 11, 757. [Google Scholar] [CrossRef]
  57. Hou, J.W.; Nan, Z.B.; Baskin, C.; Chen, T. Effect of seed size and fungicide on germination and survival of buried seeds of two grassland species on the Loess Plateau, China. Acta Oecol. 2021, 110, 10716. [Google Scholar] [CrossRef]
  58. Hopfensperger, K.N. A review of similarity between seed bank and standing vegetation across ecosystems. Oikos 2007, 116, 1438–1448. [Google Scholar] [CrossRef]
  59. Miao, R.H.; Guo, M.X.; Ma, J.; Gao, B.W.; Alamusa; Miao, Y.; Yang, Z.L.; Liu, Y.Z. Shifts in soil seed bank and plant community under nitrogen addition and mowing in an Inner Mongolian steppe. Ecol. Eng. 2020, 153, 105900. [Google Scholar] [CrossRef]
  60. Basto, S.; Thompson, K.; Rees, M. The effect of soil pH on persistence of seeds of grassland species in soil. Plant Ecol. 2015, 216, 1163–1175. [Google Scholar] [CrossRef]
  61. Pakeman, R.J.; Small, J.L.; Torvell, L. Edaphic factors influence the longevity of seeds in the soil. Plant Ecol. 2012, 213, 57–65. [Google Scholar] [CrossRef]
  62. Török, P.; Kelemen, A.; Valkó, O.; Miglécz, T.; Tóth, K.; Tóth, E.; Sonkoly, J.; Kiss, R.; Csecserits, A.; Rédei, T.; et al. Succession in soil seed banks and its implications for restoration of calcareous sand grasslands. Restor. Ecol. 2018, 26, S134–S140. [Google Scholar] [CrossRef]
  63. Zhang, C.H.; Wills, C.G.; Ma, Z.; Ma, M.J.; Csontos, P.; Baskin, C.C.; Baskin, J.M.; Li, J.Y.; Zhou, H.K.; Zhao, X.Q.; et al. Direct and indirect effects of long-term fertilization on the stability of the persistent seed bank. Plant Soil 2019, 438, 239–250. [Google Scholar] [CrossRef]
  64. Long, R.L.; Steadman, K.J.; Panetta, F.D.; Adkins, S.W. Soil type does not affect seed ageing when soil water potential and temperature are controlled. Plant Soil 2009, 320, 131–140. [Google Scholar] [CrossRef]
  65. Chee-Sanford, J.C.; Williams II, M.M.; Davis, A.S.; Sims, G.K. Do microorganisms influence seed-bank dynamics? Weed Sci. 2006, 54, 575–587. [Google Scholar] [CrossRef]
  66. Dalling, J.W.; Davis, A.S.; Schutte, B.J.; Arnold, A.E. Seed survival in soil: Interacting effects of predation, dormancy and the soil microbial community. J. Ecol. 2011, 99, 89–95. [Google Scholar] [CrossRef]
  67. Sarmiento, C.; Zalamea, P.; Dalling, J.W.; Davis, A.S.; Stump, S.M.; U’Ren, J.M.; Arnold, A.E. Soilborne fungi have host affinity and host-specific effects on seed germination and survival in a lowland tropical forest. Proc. Natl. Acad. Sci. USA 2017, 114, 11458–11463. [Google Scholar] [CrossRef] [PubMed] [Green Version]
  68. Maighal, M.; Salem, M.; Kohler, J.; Rillig, M.C. Arbuscular mycorrhizal fungi negatively affect soil seed bank viability. Ecol. Evol. 2016, 6, 7683–7689. [Google Scholar] [CrossRef] [PubMed] [Green Version]
  69. Tian, Y.; Lu, H.F.; Wang, J.; Lin, Y.B.; Campbell, D.E.; Jian, S.G. Effects of canopy and understory nitrogen addition on the structure and eco-exergy of a subtropical forest community. Ecol. Indic. 2019, 106, 105459. [Google Scholar] [CrossRef]
  70. Plue, J.; De Frenne, P.; Acharya, K.; Brunet, J.; Chabrerie, O.; Decocq, G.; Diekmann, M.; Graae, B.J.; Heinken, T.; Hermy, M.; et al. Climatic control of forest herb seed banks along a latitudinal gradient. Glob. Ecol. Biogeogr. 2013, 22, 1106–1117. [Google Scholar] [CrossRef]
  71. Zhao, Z.; Liu, Y.; Jia, H.Y.; Sun, W.S.; Ming, A.G.; Pang, S.J.; An, N.; Zhang, J.H.; Tang, C.; Dong, S.T. Influence of slope direction on the soil seed bank and seedling regeneration of Castanopsis hystrix seed rain. Forest 2021, 12, 500. [Google Scholar] [CrossRef]
  72. Bonilla-Valencia, L.; Castillo-Arguero, S.; Martinez-Orea, Y.; Garcia, F.J.E.; Lindig-Cisneros, R.; Alvarez-Anorve, M.Y.; Avila-Cabadilla, L.D. Predictions of the community assemblage in a temperate forest through indicators that evaluate the anthropogenic disturbance effect on natural regeneration. Flora 2021, 275, 151764. [Google Scholar] [CrossRef]
Figure 1. Seed density (number of seeds m−2) of the soil seed bank as affected by soil layer and five N-addition treatments. Values are means + standard error of mean (SEM). Within each soil layer, means with different letters are significantly different. N-addition treatments are described in Table 1 and in the text.
Figure 1. Seed density (number of seeds m−2) of the soil seed bank as affected by soil layer and five N-addition treatments. Values are means + standard error of mean (SEM). Within each soil layer, means with different letters are significantly different. N-addition treatments are described in Table 1 and in the text.
Forests 12 01538 g001
Figure 2. Species richness (a), Simpson index (b), Shannon–Wiener index (c), and Pielou index (d) of the soil seed banks as affected by soil layer and five N-addition treatments. Values are means + standard error of mean (SEM). * Indicates a significant difference between the two soil layers within the same N-addition treatment. Treatments are described in Table 1 and in the text.
Figure 2. Species richness (a), Simpson index (b), Shannon–Wiener index (c), and Pielou index (d) of the soil seed banks as affected by soil layer and five N-addition treatments. Values are means + standard error of mean (SEM). * Indicates a significant difference between the two soil layers within the same N-addition treatment. Treatments are described in Table 1 and in the text.
Forests 12 01538 g002
Figure 3. Percentage of seed abundance (ac) and species richness (df) represented by trees, shrubs, and herbs in the soil seed banks in three soil layers as affected by five N-addition treatments (see Table 1 for details).
Figure 3. Percentage of seed abundance (ac) and species richness (df) represented by trees, shrubs, and herbs in the soil seed banks in three soil layers as affected by five N-addition treatments (see Table 1 for details).
Forests 12 01538 g003
Figure 4. Detrended correspondence analysis (DCA) of soil seed bank composition under the five N-addition treatments (see Table 1 for details).
Figure 4. Detrended correspondence analysis (DCA) of soil seed bank composition under the five N-addition treatments (see Table 1 for details).
Forests 12 01538 g004
Figure 5. Redundancy analysis (RDA) illustrating the correlations between seed density and species richness in soil seed banks and environmental factors as affected by N-addition treatments. OM: organic matter; N: nitrogen; P: phosphorus; AMF: arbuscular mycorrhizal fungi; G+: Gram-positive bacteria; G-: Gram-negative bacteria. Treatments are described in Table 1 and in the text.
Figure 5. Redundancy analysis (RDA) illustrating the correlations between seed density and species richness in soil seed banks and environmental factors as affected by N-addition treatments. OM: organic matter; N: nitrogen; P: phosphorus; AMF: arbuscular mycorrhizal fungi; G+: Gram-positive bacteria; G-: Gram-negative bacteria. Treatments are described in Table 1 and in the text.
Forests 12 01538 g005
Table 1. Number (No.) of emerged seedlings per plots and the important value index (IVI) of the detected species in the soil seed bank (0–10 cm) as affected by five N addition treatments.
Table 1. Number (No.) of emerged seedlings per plots and the important value index (IVI) of the detected species in the soil seed bank (0–10 cm) as affected by five N addition treatments.
SpeciesCAN50CAN25UAN50UAN25Control
No.IVINo.IVINo.IVINo.IVINo.IVI
Tree
Ficus hirta Vahl120.64870.53860.51790.871110.549
Eurya loquaiana Dunn70.38840.35580.52340.51730.263
Schima superba Gardn. et Champ. 110.227
Elaeocarpus varunua Buch.-Ham. 10.128
Triadica cochinchinensis Loureiro 10.12820.175
Shrub
Blastus cochinchinensis Lour.1691.19870.872190.929561.067300.758
Melicope pteleifolia (Champion ex Bentham) T. G. Hartley200.78850.527190.804100.542240.981
Mussaenda pubescens W. T. Aiton280.679270.982401.114221.092521.105
Hedyotis hedyotidea (DC.) Merr.120.52370.538140.54070.86310.129
Embelia ribes subsp. Pachyphylla (Chun ex C. Y. Wu & C. Chen) Pipoly & C. Chen50.385 50.26430.34650.272
Trema tomentosa (Roxb.) Hara160.28130.51650.264 30.263
Litsea cubeba (Lour.) Pers.20.12910.172
Baeckea frutescens L.10.12710.17210.128 20.259
Ampelopsis glandulosa10.127
Ardisia crenata Sims 10.171
Alchornea trewioides (Benth.) Muell. Arg. 10.171
Itea chinensis Hook. Et Arn. 10.171
Herb
Oxalis corniculata L.440.959210.949461.13140.51660.402
Digitaria cruciata (Nees) A. Camus1180.601580.6521581.20140.183170.450
Torenia benthamiana Hance500.596150.91680.523680.617320.392
Carex cruciata Wahlenb.110.27120.34450.389 90.290
Panicum brevifolium L.40.258 50.13980.53310.129
Ottochloa nodosa var. micrantha (Balansa) Keng f.20.25420.34410.12820.17510.129
Cyrtococcum patens (L.) A. Camus110.146
Cyperus tenuispica Steud.20.12810.17220.131321.133230.727
Peperomia pellucida (L.) Kunth50.127 20.134
Richardia scabra L.10.127
Solanum americanum Miller10.127
Thysanolaena latifolia (Roxburgh ex Hornemann) Honda10.127
Rubus parvifolius L.30.516 20.25620.34210.129
Cyperus rotundus L. 60.20020.256
Cardamine hirsuta L. 10.172
Eleusine indica (L.) Gaertn. 20.131
Lindernia anagallis (Burm. F.) Pennell 20.342
Ludwigia hyssopifolia (G. Don) exell. 10.171
Ageratum conyzoides L. 10.17110.129
Eragrostis ferruginea (Thunb.) Beauv. 10.129
CAN25 and CAN50: canopy addition of nitrogen at 25 or 50 kg N ha−1 yr−1; UAN25 and UAN50: understory addition of nitrogen at 25 or 50 kg N ha−1 yr−1; CT: control (0 kg N added ha−1 yr−1).
Table 2. Soil chemical and microbial properties as affected by N-addition treatments across various canopy and understory of the forest ecosystem.
Table 2. Soil chemical and microbial properties as affected by N-addition treatments across various canopy and understory of the forest ecosystem.
PropertyN-Addition Treatments
CAN50CAN25UAN50UAN25Control
pH3.84 ± 0.043.98 ± 0.283.79 ± 0.043.81 ± 0.063.79 ± 0.03
Total N (g kg−1)2.14 ± 0.242.82 ± 0.452.88 ± 0.212.55 ± 0.092.89 ± 0.45
Total P (g kg−1)0.39 ± 0.040.42 ± 0.050.44 ± 0.010.37 ± 0.030.47 ± 0.08
Organic matter (g kg−1)55.58 ± 6.1070.45 ± 12.9773.64 ± 4.1859.78 ± 6.5265.10 ± 4.75
Bacteria (nmol g−1 dry soil)12.90 ± 2.2213.74 ± 1.1115.00 ± 2.4215.29 ± 1.8718.41 ± 1.42
GP bacteria (nmol g−1 dry soil)6.45 ± 1.217.15 ± 0.427.28 ± 1.017.52 ± 0.849.11 ± 0.68
GN bacteria (nmol g−1 dry soil)5.92 ± 0.955.92 ± 0.657.10 ± 1.387.10 ± 0.928.54 ± 0.68
Fungi (nmol g−1 dry soil)2.34 ± 0.422.44 ± 0.422.67 ± 0.532.59 ± 0.273.46 ± 0.38
AM fungi (nmol g−1 dry soil)0.42 ± 0.08 b0.48 ± 0.05 b0.52 ± 0.11 ab0.53 ± 0.08 ab0.76 ± 0.08 a
Actinomycete (nmol g−1 dry soil)3.27 ± 0.553.22 ± 0.293.64 ± 0.593.70 ± 0.404.42 ± 0.35
Values are means ± standard error of mean (SEM). Means in a row followed by different letters (a,b) are significantly different (p < 0.05). GP bacteria: Gram-positive bacteria; GN bacteria: Gram-negative bacteria; AM fungi: arbuscular mycorrhizal fungi. Treatments are described in Table 1 and in the text.
Publisher’s Note: MDPI stays neutral with regard to jurisdictional claims in published maps and institutional affiliations.

Share and Cite

MDPI and ACS Style

Wang, J.; Huang, Y.; Guo, Q.; Yang, L.; Lu, H.; Ren, H. Influence of Simulated Nitrogen Deposition on the Soil Seed Bank of a Subtropical Evergreen Broadleaved Forest. Forests 2021, 12, 1538. https://doi.org/10.3390/f12111538

AMA Style

Wang J, Huang Y, Guo Q, Yang L, Lu H, Ren H. Influence of Simulated Nitrogen Deposition on the Soil Seed Bank of a Subtropical Evergreen Broadleaved Forest. Forests. 2021; 12(11):1538. https://doi.org/10.3390/f12111538

Chicago/Turabian Style

Wang, Jun, Yao Huang, Qinfeng Guo, Long Yang, Hongfang Lu, and Hai Ren. 2021. "Influence of Simulated Nitrogen Deposition on the Soil Seed Bank of a Subtropical Evergreen Broadleaved Forest" Forests 12, no. 11: 1538. https://doi.org/10.3390/f12111538

APA Style

Wang, J., Huang, Y., Guo, Q., Yang, L., Lu, H., & Ren, H. (2021). Influence of Simulated Nitrogen Deposition on the Soil Seed Bank of a Subtropical Evergreen Broadleaved Forest. Forests, 12(11), 1538. https://doi.org/10.3390/f12111538

Note that from the first issue of 2016, this journal uses article numbers instead of page numbers. See further details here.

Article Metrics

Back to TopTop