Investigation of Sound Absorption Properties of Heat-Treated Indonesian Momala (Homalium foetidum (Roxb.) Benth.) and Korean Red Toon (Toona sinensis (A. Juss.) M. Roem.) Cross Sections
Abstract
1. Introduction
2. Materials and Methods
2.1. Sample Preparation
2.2. Heat Treatment
2.3. Scanning Electron Microscopy (SEM) Analysis
2.4. Gas Permeability
2.5. Pore Size Analysis
2.6. Porosity Analysis
2.7. X-ray Diffractometer (XRD) Analysis
2.8. Sound Absorption Analysis
2.9. Statistical Analysis
3. Results and Discussion
3.1. SEM Images of Momala and Red Toon
3.2. Gas Permeability Pore Size and Porosity Analysis
3.3. XRD Analysis
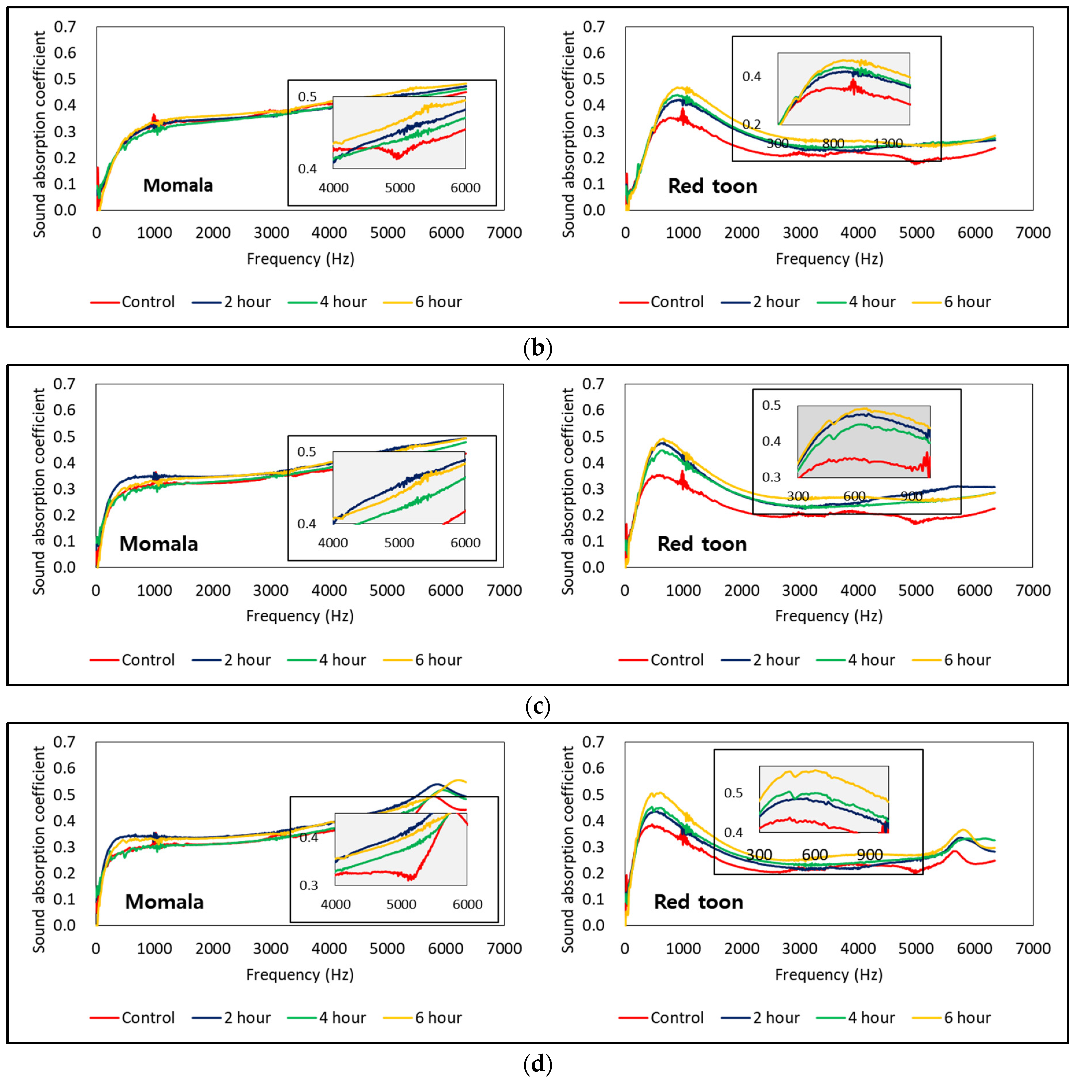
3.4. Sound Absorption Properties
3.5. What Could Be the Potential Applications for Heat-Treated Indonesian Momola and Korean Red Toon Cross Section in Construction?
4. Conclusions
Author Contributions
Funding
Institutional Review Board Statement
Informed Consent Statement
Data Availability Statement
Acknowledgments
Conflicts of Interest
References
- Stokholm, Z.A.; Hansen, Å.M.; Grynderup, M.B.; Bonde, J.P.; Christensen, K.L.; Frederiksen, T.W.; Lund, S.P.; Vestergaard, J.M.; Kolstad, H.A. Recent and long-term occupational noise exposure and salivary cortisol level. Psychoneuroendocrinology 2014, 39, 21–32. [Google Scholar] [CrossRef] [PubMed]
- Green, A.; Jones, A.D.; Sun, K.; Neitzel, R.L. The association between noise, cortisol and heart rate in a small-scale gold mining community—A pilot study. Int. J. Environ. Res. Public Health 2015, 12, 9952–9966. [Google Scholar] [CrossRef]
- Davies, H.; Van Kamp, I. Noise and cardiovascular disease: A review of the literature 2008–2011. Noise Health 2012, 14, 287. [Google Scholar] [CrossRef]
- Raj, M.; Fatima, S.; Tandon, N. Effects of the features of a green sound-absorbing material on its acoustical properties. Green Mater. 2020, 9, 11–20. [Google Scholar] [CrossRef]
- Mohanty, A.; Fatima, S. Noise control using green materials. Sound Vib. 2015, 49, 13–15. [Google Scholar]
- Kang, C.-W.; Kim, M.K.; Jang, E.-S. An Experimental Study on the Performance of Corrugated Cardboard as a Sustainable Sound-Absorbing and Insulating Material. Sustainability 2021, 13, 5546. [Google Scholar] [CrossRef]
- Asdrubali, F.; Schiavoni, S.; Horoshenkov, K. A review of sustainable materials for acoustic applications. Build. Acoust. 2012, 19, 283–311. [Google Scholar] [CrossRef]
- KOSIS. The World Log Production. Available online: https://kosis.kr/statHtml/statHtml.do?orgId=101&tblId=DT_2KAA417 (accessed on 20 June 2021).
- Unterrainer, W. Wood: A sustainable building material? In Proceedings of the 6th Annual International Conference on Architecture and Civil Engineering (ACE 2018), Singapore, 14–15 May 2018. [Google Scholar]
- Scalisi, F.; Sposito, C. Measure the Embodied Energy in Building Materials: An Eco-Sustainable Approach for Construction. In Renewable Energy and Sustainable Buildings; Springer: Cham, Switzerland, 2020; pp. 245–255. [Google Scholar]
- Côté, W.A.; Kollmann, F.F. Principles of Wood Science and Technology. In Solid Wood; Springer: Berlin/Heidelberg, Germany; New York, NY, USA, 1984; pp. 55–78. [Google Scholar] [CrossRef]
- Wassilieff, C. Sound absorption of wood-based materials. Appl. Acoust. 1996, 48, 339–356. [Google Scholar] [CrossRef]
- Taghiyari, H.; Zolfaghari, H.; Sadeghi, M.; Esmailpour, A.; Jaffari, A. Correlation between specific gas permeability and sound absorption coefficient in solid wood. J. Trop. For. Sci. 2014, 26, 92–100. [Google Scholar]
- Kolya, H.; Kang, C.-W. Hygrothermal treated paulownia hardwood reveals enhanced sound absorption coefficient: An effective and facile approach. Appl. Acoust. 2021, 174, 107758. [Google Scholar] [CrossRef]
- Kang, C.-W.; Kolya, H.; Jang, E.-S.; Zhu, S.; Choi, B.-S. Steam exploded wood cell walls reveals improved gas permeability and sound absorption capability. Appl. Acoust. 2021, 179, 108049. [Google Scholar] [CrossRef]
- Kang, C.; Lee, N. Changes of sound absorption capability and anatomical features of wood by delignification treatment. J. Korean Wood Sci. Technol. 2005, 33, 9–14. (In Korean) [Google Scholar]
- Jang, E.-S.; Kang, C.-W. Delignification Effects on Indonesian Momala (Homalium foetidum) and Korean Red Toon (Toona sinensis) Hardwood Pore Structure and Sound Absorption Capabilities. Materials 2021, 14, 5215. [Google Scholar] [CrossRef] [PubMed]
- Kang, C.-W.; Jang, E.-S.; Lee, N.-H.; Jang, S.-S.; Lee, M. Air permeability and sound absorption coefficient changes from ultrasonic treatment in a cross section of Malas (Homalium foetidum). J. Wood Sci. 2021, 67, 1–5. [Google Scholar] [CrossRef]
- Wang, D.; Peng, L.; Zhu, G.; Fu, F.; Zhou, Y.; Song, B. Improving the sound absorption capacity of wood by microwave treatment. BioResources 2014, 9, 7504–7518. [Google Scholar] [CrossRef]
- Kim, Y.-S. Research trend of the heat-treatment of wood for improvement of dimensional stability and resistance to biological degradation. J. Korean Wood Sci. Technol. 2016, 44, 457–476. (In Korean) [Google Scholar] [CrossRef]
- Esteves, B.; Pereira, H. Wood modification by heat treatment: A review. BioResources 2009, 4, 370–404. [Google Scholar] [CrossRef]
- Boonstra, M.J.; Rijsdijk, J.; Sander, C.; Kegel, E.; Tjeerdsma, B.; Militz, H.; Van Acker, J.; Stevens, M. Microstructural and physical aspects of heat treated wood. Part 1. Softwoods. Maderas. Cienc. Y Tecnol. 2006, 8, 193–208. [Google Scholar]
- Park, Y.; Jeon, W.-S.; Yoon, S.-M.; Lee, H.-M.; Hwang, W.-J. Evaluation of Cell-Wall Microstructure and Anti-Swelling Effectiveness of Heat-Treated Larch Wood. J. Korean Wood Sci. Technol. 2020, 48, 780–790. [Google Scholar]
- Kang, C.-W.; Li, C.; Jang, E.-S.; Jang, S.-S.; Kang, H.-Y. Changes in sound absorption capability and air permeability of Malas (Homalium foetidum) specimens after high temperature heat treatment. J. Korean Wood Sci. Technol. 2018, 46, 149–154. [Google Scholar]
- Jang, E.-S.; Kang, C.-W. Changes in gas permeability and pore structure of wood under heat treating temperature conditions. J. Wood Sci. 2019, 65, 1–9. [Google Scholar] [CrossRef]
- Tian, M.; Zhang, B.; Wu, Z.; Yu, L.; Li, L.; Xi, X. Effects of Steam Heat-Treatment on Properties of Pinus massoniana Wood and Its Bonding Performance. J. Renew. Mater. 2021, 9, 789. [Google Scholar] [CrossRef]
- Vernois, M. Heat treatment of wood in France: State of the art. In Proceedings of the Special Seminar “Review on heat treatments of wood”, Antibes, France, 9 February 2001. [Google Scholar]
- Putra, A.; Or, K.H.; Selamat, M.Z.; Nor, M.J.M.; Hassan, M.H.; Prasetiyo, I. Sound absorption of extracted pineapple-leaf fibres. Appl. Acoust. 2018, 136, 9–15. [Google Scholar] [CrossRef]
- Tang, X.; Zhang, X.; Zhang, H.; Zhuang, X.; Yan, X. Corn husk for noise reduction: Robust acoustic absorption and reduced thickness. Appl. Acoust. 2018, 134, 60–68. [Google Scholar] [CrossRef]
- Prabowo, A.E.; Diharjo, K.; Prasetiyo, I. Sound Absorption Performance of Sugar Palm Trunk Fibers. In Proceedings of the E3S Web of Conferences, Bali, Indonesia, 26–28 September 2018; p. 01003. [Google Scholar]
- Jang, E.-S.; Yuk, J.-H.; Kang, C.-W. An experimental study on change of gas permeability depending on pore structures in three species (hinoki, Douglas fir, and hemlock) of softwood. J. Wood Sci. 2020, 66, 78. [Google Scholar] [CrossRef]
- Pfriem, A.; Zauer, M.; Wagenführ, A. Alteration of the pore structure of spruce (Picea abies (L.) Karst.) and maple (Acer pseudoplatanus L.) due to thermal treatment as determined by helium pycnometry and mercury intrusion porosimetry. Holzforschung 2009, 63, 94–98. [Google Scholar] [CrossRef]
- Guo, L.; Cheng, H.; Chen, J.; Chen, W.; Zhao, J. Pore Structure Characterization of Oak via X-ray Computed Tomography. BioResources 2020, 15, 3053–3063. [Google Scholar]
- Jang, E.-S.; Kang, C.-W.; Jang, S.-S. Comparison of the Mercury Intrusion Porosimerty, Capillary Flow Porometry and Gas Permeability of Eleven Species of Korean Wood. J. Korean Wood Sci. Technol. 2018, 46, 681–691. [Google Scholar]
- ASTM F316-03. Standard Test Methods for Pore Size Characteristics of Membrane Filters by Bubble Point and Mean Flow Pore Test; ASTM International: West Conshohocken, PA, USA, 2019. [Google Scholar]
- Jang, E.-S.; Kang, C.-W. Do Face Masks become Worthless after Only One Use in the COVID-19 Pandemic? Infect. Chemother. 2020, 52, 583–591. [Google Scholar] [CrossRef]
- Jang, E.-S.; Kang, C.-W.; Kang, H.-Y.; Jang, S.-S. Sound Absorption Property of Traditional Korean Natural Wallpaper (Hanji). J. Korean Wood Sci. Technol. 2018, 46, 703–712. [Google Scholar]
- Jang, E.-S.; Kang, C.-W.; Jang, S.-S. Pore characterization in cross section of yellow poplar (Liriodendron tulipifera) wood. J. Korean Wood Sci. Technol. 2019, 47, 8–20. [Google Scholar]
- Jang, E.-S.; Kang, C.-W. Sound absorption characteristics of three species (binuang, balsa and paulownia) of low density hardwood. Holzforschung 2021. [Google Scholar] [CrossRef]
- Rouquerol, J.; Avnir, D.; Fairbridge, C.; Everett, D.; Haynes, J.; Pernicone, N.; Ramsay, J.; Sing, K.; Unger, K. Recommendations for the characterization of porous solids (Technical Report). Pure Appl. Chem. 1994, 66, 1739–1758. [Google Scholar] [CrossRef]
- Stange, U.; Scherf-Clavel, M.; Gieseler, H. Application of gas pycnometry for the density measurement of freeze-dried products. J. Pharm. Sci. 2013, 102, 4087–4099. [Google Scholar] [CrossRef]
- Li, Y.; Lattimer, B.Y.; Case, S.W. Measurement and modelling of thermal and physical properties of wood construction materials. Constr. Build. Mater. 2021, 284, 122780. [Google Scholar] [CrossRef]
- Bang, S.H.; De Beauvoir, T.H.; Randall, C.A. Densification of thermodynamically unstable tin monoxide using cold sintering process. J. Eur. Ceram. Soc. 2019, 39, 1230–1236. [Google Scholar] [CrossRef]
- ISO12154. Determination of Density by Volumetric Displacement—Skeleton Density by Gas Pycnometry; International Organization for Standardization (ISO): Geneva, Switzerland, 2014. [Google Scholar]
- Kim, A.-R.; Kim, N.-H. Effect of heat treatment and particle size on the crystalline properties of wood cellulose. J. Korean Wood Sci. Technol. 2019, 47, 299–310. [Google Scholar]
- ISO 10534-2. Acoustics-Determination of Sound Absorption Coefficient and Impedance in Impedance Tubes-Part 2 Transfer-Function Method; International Organization for Standardization (ISO): Geneva, Switzerland, 2001. [Google Scholar]
- Kwon, S.H.; Chung, G. Estimation of snow damages using multiple regression model-The case of gangwon province. J. Korean Soc. Civ. Eng. 2017, 37, 61–72. [Google Scholar] [CrossRef][Green Version]
- Liu, X.; Yan, X.; Zhang, H. Effects of pore structure on sound absorption of kapok-based fiber nonwoven fabrics at low frequency. Text. Res. J. 2016, 86, 755–764. [Google Scholar] [CrossRef]
- Kim, B.-S.; Park, J. Double resonant porous structure backed by air cavity for low frequency sound absorption improvement. Compos. Struct. 2018, 183, 545–549. [Google Scholar] [CrossRef]
- Yang, T.; Xiong, X.; Venkataraman, M.; Mishra, R.; Novák, J.; Militký, J. Investigation on sound absorption properties of aerogel/polymer nonwovens. J. Text. Inst. 2019, 110, 196–201. [Google Scholar] [CrossRef]
- Shen, X.; Bai, P.; Chen, L.; To, S.; Yang, F.; Zhang, X.; Yin, Q. Development of thin sound absorber by parameter optimization of multilayer compressed porous metal with rear cavity. Appl. Acoust. 2020, 159, 107071. [Google Scholar] [CrossRef]
- Kang, H.-J.; Kim, B.-K.; Kim, S.-R. Study on Normal and Random incidence Absorption Coefficient. In Proceedings of the Acoustical Society of Korea Conference, Seoul, Korea, 7 June 2000; pp. 283–286. [Google Scholar]
- Park, B.H.; Hong, S.H.; Jo, W.H. The Characterization and Utilization of Wood Cross Section—Focusing on Domestic Larix kaemperi Wood & Maackia amurensis Wood. J. Digit. Des. 2014, 14, 107–116. (In Korean) [Google Scholar]








| Common Name | Scientific Name | Origin | Type * | Mass (g) | Air-Dried Density (g/cm3) | Porosity (%) | MC (%) |
|---|---|---|---|---|---|---|---|
| Momala | Homalium foetidum (Roxb.) Benth. | Indonesia | Dp | 5.17 ± 0.10 | 0.80 ± 0.02 | 46.79 ± 1.09 | 7.5 |
| Red toon | Toona sinensis (A. Juss.) M. Roem. | Korea | Rp | 3.69 ± 0.08 | 0.57 ± 0.01 | 61.80 ± 0.08 | 7.5 |
| Heat Treatment Time | Air Cavity (cm) | Momala | Red Toon | ||||||||
|---|---|---|---|---|---|---|---|---|---|---|---|
| NRC | α250–500 | α500–1000 | α1000–2000 | α2000–6400 | NRC | α250–500 | α500–1000 | α1000–2000 | α2000–6400 | ||
| Control | None | 0.147 | 0.056 | 0.129 | 0.234 | 0.439 | 0.107 | 0.042 | 0.099 | 0.175 | 0.259 |
| (0.005) | (0.004) | (0.004) | (0.012) | (0.024) | (0.004) | (0.002) | (0.004) | (0.012) | (0.022) | ||
| 1 | 0.266 | 0.200 | 0.294 | 0.338 | 0.396 | 0.251 | 0.207 | 0.336 | 0.295 | 0.212 | |
| (0.019) | (0.010) | (0.033) | (0.032) | (0.021) | (0.019) | (0.007) | (0.037) | (0.034) | (0.018) | ||
| 2 | 0.282 | 0.256 | 0.304 | 0.323 | 0.366 | 0.281 | 0.299 | 0.342 | 0.268 | 0.200 | |
| (0.014) | (0.015) | (0.020) | (0.017) | (0.015) | (0.025) | (0.024) | (0.044) | (0.028) | (0.014) | ||
| 3 | 0.282 | 0.266 | 0.295 | 0.312 | 0.372 | 0.315 | 0.359 | 0.362 | 0.275 | 0.228 | |
| (0.014) | (0.013) | (0.016) | (0.015) | (0.015) | (0.027) | (0.038) | (0.041) | (0.024) | (0.020) | ||
| 2 h | None | 0.159 | 0.062 | 0.138 | 0.261 | 0.474 | 0.127 | 0.052 | 0.107 | 0.214 | 0.332 |
| (0.009) | (0.007) | (0.005) | (0.031) | (0.028) | (0.005) | (0.002) | (0.003) | (0.012) | (0.025) | ||
| 1 | 0.266 | 0.201 | 0.292 | 0.338 | 0.403 | 0.285 | 0.208 | 0.383 | 0.363 | 0.249 | |
| (0.013) | (0.005) | (0.022) | (0.024) | (0.017) | (0.017) | (0.017) | (0.027) | (0.045) | (0.019) | ||
| 2 | 0.318 | 0.298 | 0.343 | 0.348 | 0.412 | 0.346 | 0.349 | 0.459 | 0.344 | 0.267 | |
| (0.026) | (0.035) | (0.035) | (0.002) | (0.022) | (0.040) | (0.029) | (0.088) | (0.053) | (0.043) | ||
| 3 | 0.326 | 0.321 | 0.342 | 0.338 | 0.416 | 0.347 | 0.393 | 0.415 | 0.310 | 0.250 | |
| (0.021) | (0.026) | (0.028) | (0.020) | (0.019) | (0.039) | (0.044) | (0.063) | (0.035) | (0.024) | ||
| 4 h | None | 0.155 | 0.072 | 0.139 | 0.242 | 0.456 | 0.130 | 0.057 | 0.105 | 0.210 | 0.342 |
| (0.006) | (0.007) | (0.004) | (0.022) | (0.018) | (0.008) | (0.002) | (0.008) | (0.018) | (0.030) | ||
| 1 | 0.261 | 0.205 | 0.276 | 0.324 | 0.397 | 0.296 | 0.216 | 0.398 | 0.373 | 0.256 | |
| (0.011) | (0.008) | (0.014) | (0.016) | (0.011) | (0.013) | (0.012) | (0.023) | (0.031) | (0.015) | ||
| 2 | 0.284 | 0.257 | 0.293 | 0.319 | 0.390 | 0.334 | 0.337 | 0.431 | 0.339 | 0.250 | |
| (0.013) | (0.011) | (0.016) | (0.016) | (0.011) | (0.027) | (0.017) | (0.053) | (0.035) | (0.021) | ||
| 3 | 0.283 | 0.267 | 0.291 | 0.307 | 0.388 | 0.355 | 0.404 | 0.431 | 0.323 | 0.262 | |
| (0.021) | (0.026) | (0.027) | (0.018) | (0.013) | (0.032) | (0.038) | (0.054) | (0.032) | (0.026) | ||
| 6 h | None | 0.157 | 0.071 | 0.139 | 0.252 | 0.461 | 0.131 | 0.054 | 0.108 | 0.221 | 0.359 |
| (0.012) | (0.006) | (0.005) | (0.038) | (0.018) | (0.054) | (0.003) | (0.006) | (0.021) | (0.027) | ||
| 1 | 0.271 | 0.199 | 0.303 | 0.350 | 0.418 | 0.304 | 0.204 | 0.412 | 0.406 | 0.268 | |
| (0.023) | (0.012) | (0.037) | (0.037) | (0.024) | (0.015) | (0.010) | (0.023) | (0.035) | (0.015) | ||
| 2 | 0.298 | 0.264 | 0.316 | 0.338 | 0.408 | 0.363 | 0.356 | 0.474 | 0.368 | 0.268 | |
| (0.020) | (0.032) | (0.020) | (0.019) | (0.016) | (0.036) | (0.014) | (0.065) | (0.050) | (0.036) | ||
| 3 | 0.311 | 0.295 | 0.328 | 0.332 | 0.411 | 0.392 | 0.437 | 0.486 | 0.355 | 0.279 | |
| (0.024) | (0.032) | (0.031) | (0.019) | (0.017) | (0.025) | (0.029) | (0.042) | (0.026) | (0.022) | ||
| Y = α0 +β1 X1 + β2 X2 + β3 D1 + ε | ||||
|---|---|---|---|---|
| Variables | Coeff. | Std. Coeff. | t-Statistic | VIF * |
| α0 | 0.149 | - | 25.665 ** | |
| X1 | 0.001 | 0.140 | 4.666 ** | 1.000 |
| X2 | 0.060 | 0.825 | 27.406 ** | 1.000 |
| D1 | 0.019 | 0.115 | 3.826 ** | 1.000 |
| Adj. R2 | 0.711 | |||
| F-value | 262.505 | |||
| p-value | <0.001 | |||
Publisher’s Note: MDPI stays neutral with regard to jurisdictional claims in published maps and institutional affiliations. |
© 2021 by the authors. Licensee MDPI, Basel, Switzerland. This article is an open access article distributed under the terms and conditions of the Creative Commons Attribution (CC BY) license (https://creativecommons.org/licenses/by/4.0/).
Share and Cite
Jang, E.-S.; Kang, C.-W. Investigation of Sound Absorption Properties of Heat-Treated Indonesian Momala (Homalium foetidum (Roxb.) Benth.) and Korean Red Toon (Toona sinensis (A. Juss.) M. Roem.) Cross Sections. Forests 2021, 12, 1447. https://doi.org/10.3390/f12111447
Jang E-S, Kang C-W. Investigation of Sound Absorption Properties of Heat-Treated Indonesian Momala (Homalium foetidum (Roxb.) Benth.) and Korean Red Toon (Toona sinensis (A. Juss.) M. Roem.) Cross Sections. Forests. 2021; 12(11):1447. https://doi.org/10.3390/f12111447
Chicago/Turabian StyleJang, Eun-Suk, and Chun-Won Kang. 2021. "Investigation of Sound Absorption Properties of Heat-Treated Indonesian Momala (Homalium foetidum (Roxb.) Benth.) and Korean Red Toon (Toona sinensis (A. Juss.) M. Roem.) Cross Sections" Forests 12, no. 11: 1447. https://doi.org/10.3390/f12111447
APA StyleJang, E.-S., & Kang, C.-W. (2021). Investigation of Sound Absorption Properties of Heat-Treated Indonesian Momala (Homalium foetidum (Roxb.) Benth.) and Korean Red Toon (Toona sinensis (A. Juss.) M. Roem.) Cross Sections. Forests, 12(11), 1447. https://doi.org/10.3390/f12111447
