Abstract
Background: Abandoned mining sites are becoming increasingly common due to anthropogenic activities. Consequently, external-soil spray seeding technology has attracted increasing attention as a strategy to remediate them. However, significant challenges remain that greatly inhibit the efficacy of such technologies, such as insufficient nutrients available for plants. Methods: For this study, we designed an experiment, which involved the addition of mineral-solubilizing microorganisms and R. pseudoacacia seedlings to the external-soil spray seeding (ESSS) substrate, and measured the soil nutrients, enzyme activities, and root growth of R. pseudoacacia. Results: First, the combination of certain mineral-solubilizing microorganisms with ESSS advanced its efficiency by increasing the availability of soil nutrients and soil enzymatic activities in association with R. pseudoacacia. Furthermore, the improvement of root growth of R. pseudoacacia was intimately related to soil nutrients, particularly for soil total nitrogen (TN) and total sulfur (TS). In general, the effects of the J2 (combined Bacillus thuringiensis and Gongronella butleri) treatment for soil nutrients, enzyme activities, and plant growth were the strongest. Conclusion: In summary, the results of our experiment revealed that these mineral-solubilizing microorganisms conveyed a promotional effect on R. pseudoacacia seedlings by increasing the soil nutrient content. These results provide basic data and microbial resources for the development and applications of mineral-solubilizing microorganisms for abandoned mine remediation.
1. Introduction
The emergence of steep rocky slopes is increased rapidly in China due to the construction of highways and railways, as well as the over-exploitation of rock mineral resources [,]. These activities have severely damaged ecosystems [,]. At present, multiple strategies are employed for restoring the abandoned mine sites [,,], where the external-soil spray seeding (ESSS) technique has become a common technique for their ecological restoration [,]. The ESSS (Figure 1) technique contains the spraying of artificial mixed soil materials (soil, water-retaining agents, fertilizer, and plant seeds) onto rocky slopes toward the ecological restoration of abandoned mine sites []. Soil comprises the core element of this technique, which provides plants with water and nutrient sources []. However, major challenges remain, as the soils on steep slopes are inadequate and the available nutrients absorbed by plants are unsatisfactory []; therefore, this technique has been difficult to establish toward the promotion of long-term ecological restoration maintenance in abandoned mining areas [].

Figure 1.
External-soil spray seeding (ESSS) technique.
The addition of roots can strengthen the soil, as the root growth is intimately related to the soil []. Soil nutrient and soil enzyme activity can affect root growth [,,]. Therefore, it is very important to study the changes in root growth, soil nutrients, and soil enzyme activity for the promotion of long-term ecological restoration maintenance in abandoned mining areas. The application of mineral-solubilizing microorganisms is a novel attempt for abandoned mine remediation, which can accelerate mineral weathering [,,]. In recent years, the research into mineral-solubilizing microorganisms have been more in the scope of Plant Growth-Promoting Rhizobacteria (PGPR); the functions of mineral-solubilizing microorganisms also have many similarities with PGPR. Firstly, increased essential minerals solubilized by microorganisms (e.g., P, K, S, Mg, Cu, Fe, and Zn) contribute to the promotion of plant growth []. Secondly, these microorganisms can also promote plant development through the generation of plant-growth-promoting substances and siderophore production [,]. Moreover, several microorganisms have the capacity to improve plant growth through the stimulation of plant hormones and root elongation (including the formation of root hairs and lateral roots) [,,,].
Previous studies have reported that root and plant growth are intimately correlated with the availability of soil nutrients [,,] and soil enzyme activities [,,]. Rhizospheric microorganisms are crucial in nutrient cycling, they can increase soil enzyme activities and the mineralization of available nutrients in the soil; thus, accelerating root growth [,,,]. For instance, the combination of Advenella incenata P4, Serratia plymuthica P35, Providencia rettgeri P2, and Acinetobacter calcoaceticus P19 microorganisms increased soil urease, phosphatase, catalase, invertase activity, available phosphorus (AP), available potassium (AK), and available nitrogen in the rhizosphere of Avena sativa []. The addition of Glomus etunicatum also increased the invertase, urease, proteinase, catalase, and phosphatase activities in the rhizosphere soil of maize []. Moreover, the application of Bacillus sp. strain UM15 improved soil available phosphorus and total nitrogen []. Therefore, microorganisms were observed to be closely correlated with soil nutrients and enzyme activities.
R. pseudoacacia is the dominant tree species in abandoned mine restoration due to its capacity for tolerating dry environments and nitrogen-fixing abilities [,]. The microorganisms in this study were mineral-solubilizing microorganisms isolated from the soil surrounding weathered dolostones, which secreted organic acid to enhance the release of Ca and Mg [,]. In our previous study, these mineral solubilizing microorganisms were found to enhance root growth of Lespedeza bicolor, L. bicolor root-reinforced soil shear strength, as well as the tensile force and strength of L. bicolor roots [,]. However, the response of soil nutrient content, and enzyme activities in the rhizosphere soil of R. pseudoacacia remain unknown.
The main objectives of this study were to: (1) verify the impacts of mineral-solubilizing microorganisms on soil nutrients and enzyme activities, (2) demonstrate the relationships between root growth, soil nutrients, and soil enzyme activities under mineral-solubilizing microorganism treatments. Based on the previous researches [,], we hypothesized that: (1) the application of mineral-solubilizing microorganisms promotes soil nutrients and enzyme activities and (2) the root growth is intimately related to the soil nutrient and soil enzyme activity. These results highlighted the roles of mineral-solubilizing microorganisms for the restoration of abandoned mine sites while providing fundamental data and microbial resources toward the development of additional applications for mineral-solubilizing microorganisms.
2. Materials and Methods
2.1. Study Site
The pot experiments were finished in a greenhouse of Nanjing Forestry University (31°7′ N, 119°12′ E). The experiment lasted from December 2018 to November 2019.
2.2. Plant Seeds, Microbial Strains, and Soil
R. pseudoacacia seeds were purchased from the Tianhe Nursery Garden Company (Jiangsu, China). The germinated seeds were transferred to a seedling-raising disk and cultivated using nursery substrates, whereas the germination process referred to a previous study [].
NL-1 (Streptomyces thermocarboxydus), NL-11 (Bacillus thuringiensis), and NL-15 (Gongronella butleri) were isolated from the soil that surrounded weathered dolostones in Mufu mountain, Nanjing, China, where the specific isolation process, screening, and identification referred to a previous study [,]. In our previous research, the effects of S. thermocarboxydus treatment, a combination of B. thuringiensis and G. butleri treatment, and a combination of S. thermocarboxydus, B. thuringiensis and G. butleri treatment were significant for the root growth and photosynthesis system of Amorpha fruticose []. Consequently, we selected these three treatments to conduct this experiment.
Topsoil (5–30 cm) was collected from the Xiashu Forest Farm and mixed with some extra materials as substrates, and the specific ratio was following in: soil, wood fiber, organic fertilizer, peat soil, rock powder was 92, 0.7, 5, 2, 0.3) []. The soil type was yellow brown, whereas the topsoil properties included available phosphorus, 10.00 mg kg−1, available potassium, 101.39 mg kg−1, at a pH of 7.15.
2.3. Experimental Treatments
The experiments included four treatments: NL-11 (J1), NL-11 + NL-15 (J2), NL-1 + NL-11 + NL-15 (J3), and control treatment (CK), which were employed in each group, which consisted of three replicates, totaling 12 pots (diameter was 29.5 cm and height was 19.5 cm), respectively. Each pot was filled with 5 kg of nursery substrates, 15 g of a water-retaining agent, and 60 mL of microorganisms (the total amount of mixed microorganisms was 60 mL). The concentration of the microbial application was 2.9 × 109 CFU/mL, and the microorganisms were added to the soil prior to sowing.
There were three germinated seeds planted in each pot, and after a month, two of these were removed to ensure the health of only one plant. The plants were grown under greenhouse conditions, and maintained at temperatures from 18–35 °C, with a relative humidity of 40 to 80%, and a daily photoperiod that ranged from 10 to 14 h []. During the growth period, the plants were watered every two weeks. We collected rhizospheric soil and fresh root samples in November 2019 transferred them to a refrigerator and quickly transported it to the laboratory. The root samples were washed in a basin to avoid the loss of fine roots, after which plant root growth parameter analysis was immediately performed.
2.4. Plant Root Growth Parameter Analysis
The root systems were scanned using a LA2400 Scanner (Expression 12000XL, EPSON, Long Beach, CA, USA). The scanned images were analyzed using WINRHIZO software to obtain the average root diameter (RD), total root length (RL), total root surface area (RS), and total root volume (RV).
2.5. Analysis of Soil Properties
The soil pH was determined using a PB-10 pH meter []. The total carbon, total sulfur, and total nitrogen were quantified using an elemental analyzer. The AP was measured using the molybdate-blue colorimetric method []. The AK was determined using a flame photometer []. The soil urease activity was revealed by measuring the quantity of ammonium released from the soil [], whereas the soil phosphatase activity was measured using the phenyl phosphate disodium colorimetric method []. The soil sucrase activity was measured via 3,5-diyl salicylic acid colorimetry [], and the soil catalase activity was discovered using the KMnO4 titrimetric method []. An analysis of the soil microstructures on the root surfaces was performed using scanning electron microscopy (SEM).
2.6. Statistical Analyses
The Duncan test was employed when one-way ANOVA (SPSS 26) revealed the effects of the microbial treatment on soil nutrients, enzyme activities, and root growth parameters. The Pearson test was performed using R software (R 3.4.3) to reveal the relationships between root growth of R. pseudoacacia, soil nutrients, and enzyme activities. Other charts were created by Origin 2015 (OriginLab Corporation, Northampton, MA, USA).
3. Results
3.1. Plant Root Growth Parameters
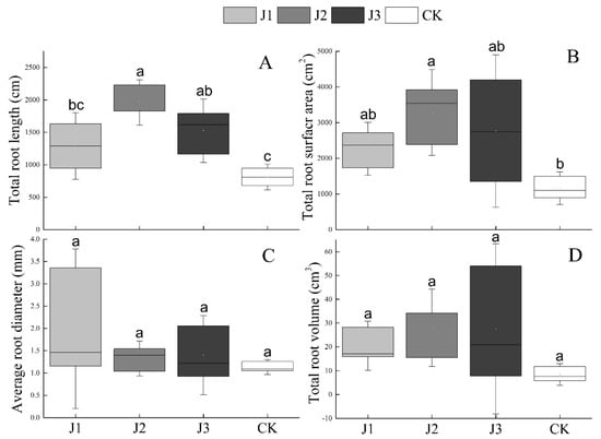
The addition of mineral-solubilizing microorganisms influenced the growth characteristics of R. pseudoacacia seedlings (Figure 2). Compared with the CK treatment, the J1 and J3 treatments increased the RL by 73.4%, on average. Furthermore, the RS was increased by 94.8% and 137.2%, respectively. For the RD and RV, microbial treatments had no significant difference to them. However, the J1, J2, and J3 treatments increased the RD by 75.8%, 17.3%, and 23.9%, respectively. The RV was increased by 143.5%, 234.1%, and 229.5%, respectively. These changes showed that the addition of microorganisms had a tendency to increase the RD and RV. In addition, the J2 treatment significantly increased the RL and RS by 141.7% and 181.7%, respectively (p < 0.05).

Figure 2.
The root growth parameters of R. pseudoacacia measured with WinRHIZO. Empty circles within each box represent the average pH value, horizontal lines within each box represent the median pH value, and vertical lines represent the interquartile ranges. (A–D) Different letters show treatments that are significantly different (p < 0.05) following a Duncan’s test. Experimental treatments: J1, NL-11; J2, NL-11 + NL-15; J3, NL-1 + NL-11 + NL-15.
3.2. Soil Nutrients
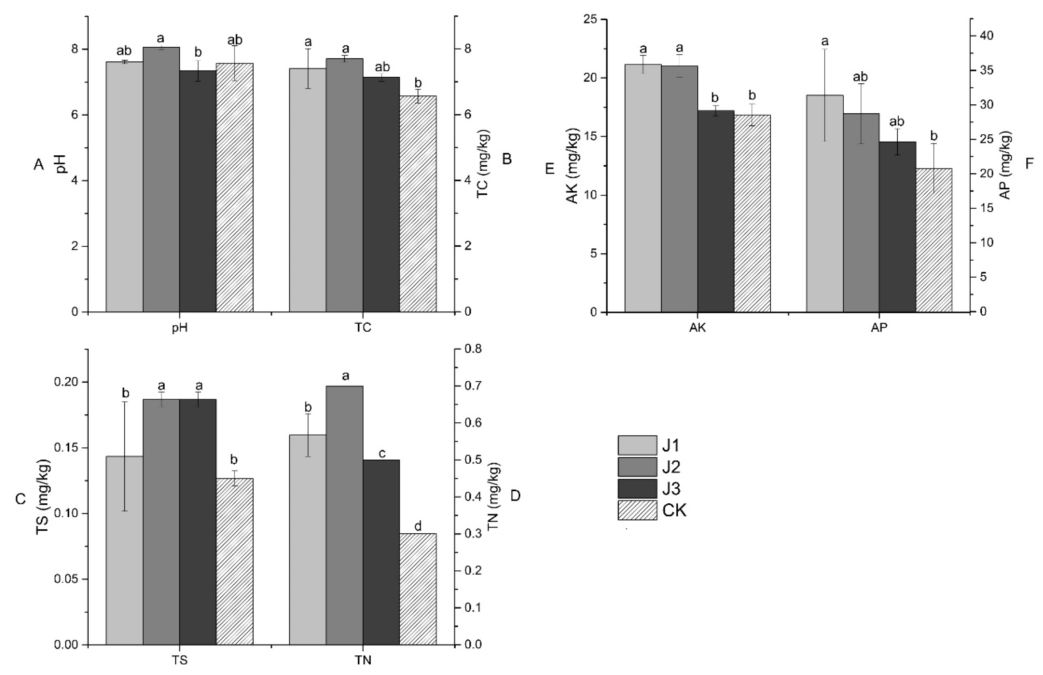
The addition of mineral-solubilizing microorganisms influenced soil nutrients in the rhizospheres of R. pseudoacacia seedlings (Figure 3). The pH of the J2 treatment was significantly higher than that of the J3 treatment (p < 0.05), and there were no significant differences between the J1, J3, and CK treatments. The J1 and J2 treatments significantly increased the soil total carbon (TC) and AK in the rhizospheres of R. pseudoacacia seedlings (p < 0.05). In contrast to the CK treatment, the J1 treatment significantly increased the AP by 51% (p < 0.05). The J2 and J3 treatments significantly increased the TS by 47.37% and 47.37%, respectively (p < 0.05). Furthermore, the J1, J2, and J3 treatments significantly increased the TN by 88.9%, 133.3%, and 66.7%, respectively (p < 0.05).

Figure 3.
The responses of soil nutrients in the rhizosphere of R. pseudoacacia to applications of mineral-solubilizing microorganisms. Error bars are standard errors of the mean (n = 3). (A–F) Different letters indicate significant differences (p < 0.05) among the different treatments following a Duncan’s test. Experimental treatments: J1, NL-11; J2, NL-11 + NL-15; J3, NL-1 + NL-11 + NL-15. TC, soil total carbon; TN, soil total nitrogen; TS, soil total sulfur; AP, available phosphorus; AK, available potassium.
3.3. Soil Enzyme Activities
The addition of mineral-solubilizing microorganisms increased the soil enzyme activities in the rhizospheres of R. pseudoacacia seedlings (Figure 4). In contrast to the CK treatment, the J2 treatment significantly increased the soil urease and sucrase activities by 10% and 88.5% (p < 0.05), respectively, and there was no significant difference between the J1, J3, and CK treatments. For the soil phosphatase and catalase activities, microbial treatments had no significant difference to them. However, the addition of microorganisms had the propensity to increase soil phosphatase and catalase activities.

Figure 4.
The responses of soil enzyme activities in the rhizosphere of R. pseudoacacia to applications of mineral-solubilizing microorganisms. Error bars are standard errors of the mean (n = 3). (A–D) Different letters indicate significant differences (p < 0.05) among the different treatments following a Duncan’s test. Experimental treatments: J1, NL-11; J2, NL-11 + NL-15; J3, NL-1 + NL-11 + NL-15.
3.4. Correlation Analysis between Root Growth Parameters and Soil Nutrients/Enzyme Activities
The results of Pearson’s correlation analysis between the root growth parameters and soil nutrients and enzyme activities in the microbial treatments are depicted in Figure 5. The results revealed that the RL was positively correlated with the AK, TC, TN (p < 0.01), TS (p < 0.05), urease, sucrase (p < 0.05), and catalase. The RS was positively correlated with the AK, TC (p < 0.05), TN (p < 0.05) and TS. Furthermore, the RV was positively correlated with the TN and TS, whereas the RD was positively correlated with the AP (p < 0.05) and phosphatase.

Figure 5.
Correlation analysis between root growth parameters, soil nutrients, and soil enzyme activities. Notes: *** indicates significant correlation at p < 0.001; ** indicates significant correlation at p < 0.01; * indicates significant correlation at p < 0.05.
4. Discussion
In our study, the plant root growth parameters of R. pseudoacacia seedlings were enhanced in the presence of mineral-solubilizing microorganisms. This might have been related to the generation of plant-growth-promoting substances. In previous studies, the effects of Azospirillum on root development were related to indole 3-acetic acid, gibberellic acid, and ethylene, which promoted root growth [,]. Furthermore, certain microorganisms might indirectly benefit plant growth by preventing the harmful effects of phytopathogenic organisms, or by inducing systemic resistance in the host plant [,,].
4.1. Soil Nutrients
Soil pH is one of the most important physical and chemical properties of soil. In previous studies, the applications of microorganisms could decrease pH, thus promoting the release of Ca and Mg. Finally, the dissolution rate of mine was increased [,,]; however, for the pH levels in our study, microbial treatments had no significant difference to them. A potential explanation for this was that the pH was influenced not only by the microorganisms, but also some other natural factors (climate or parent materials) [,].
Microorganisms have the ability to effectively convert inaccessible soil nutrients into those that are useful while promoting their effective absorption and utilization by plants []. For this study, the addition of mineral-solubilizing microorganisms increased the AK and AP contents, which was consistent with previous work. Mineral-solubilizing microorganisms participated in the soil-phosphorus cycle through the excretion of organic acids, which may be converted to soluble forms, to facilitate the released phosphorus into the soil [,,,]. The microorganisms also played a critical role in the solubilization of elements such as K from acid-leached soil [,,]. The reason why J1 has the best effect on AK and AP might have been that NL-11 possessed the best solubilization effect. Furthermore, there might be certain antagonistic effects between NL-1, NL11, and NL15 [,].
Nitrogen is the most important nutrient for plant growth and productivity []. The increase in TN showed that the addition of microorganisms enhanced the N fixation capacity of R. pseudoacacia. This may have been due to an interesting phenomenon in this study, involving the increased population of root nodules, which might improve root growth through N-fixation [,,,]. Sulfur is the fourth most important plant nutrient following nitrogen, phosphorus, potassium, and is also one of the sixteen nutrients that are essential for the growth of plants []. The increase in TS might have been due to microorganisms that promoted the conversion of S []. Furthermore, the combined B. thuringiensis and G. butleri treatment had optimal effects on the increase of TC, TS, and TN. This phenomenon might be initiated via synergistic effects between B. thuringiensis and G. butleri [,]. Correlation analysis indicated that soil nutrients are intimately related to root growth, particularly TN and TS. The relationship between root growth and TN and TS also demonstrated the effects of nodules for N fixation and the effects of S conversion for plant growth.
This suggested that part of the first and second hypothesis was supported by our results. It demonstrated that the application of mineral-solubilizing microorganisms promoted soil nutrients, and the root growth was intimately related to the soil nutrient, particularly for TN and TS. In this research, the availability of individual elements had changed, but the morphologic transformation of the individual element from soil to plant was unknown, it also required further research.
4.2. Soil Enzyme Activity
The activities of soil enzymes are particularly useful for the assessment of soil quality as they play an important role in maintaining soil fertility and rapidly responding to environmental changes [,,]. Among soil enzymes, catalase and sucrase are essential enzymes for the conversion of different nutrients required for plant growth [,], where urease is the only amidase in soil that can convert urea into useful N []. Phosphatases also mineralize organic phosphorus and improve phosphate nutrition and plant growth by increasing the concentration of soluble phosphate in the soil [,].
For this study, the addition of microorganisms promoted soil urease and sucrase activities, which was consistent with previous researches [,,]. This confirmed the role of mineral-solubilizing microorganisms for soil enhancement. Moreover, the effects of double microbial strains on soil enzyme activities remained the most potent. The reason for this phenomenon might have been that the boost from NL-1 was greater than that from NL-11. However, the specific synergistic and antagonistic effects involved will require further experimentation to verify. In our previous studies, for Lespedeza bicolor, the root growth parameters are significantly related to sucrase and catalase. In this research, correlation analysis revealed that there was no significant correlation between the activities of soil enzymes and root growth. This was also not consistent with our second hypothesis. However, there were significant correlations between the activities of soil enzymes and soil nutrients. This suggested that soil enzyme activities might influence root growth via soil nutrients. Therefore, although R. pseudoacacia and L. bicolor were dominant tree species in abandoned mine restoration, their selection and collocation still need further study.
In previous studies, the addition of these microorganisms decreased the diameters of soil particles [,], where the results of SEM images also directly demonstrated this conclusion (Figure S1). Roots attained greater depths under loose soil conditions, as they could explore a larger soil volume to increase the quantity of available water for uptake []. Furthermore, changes in soil particle size classes also impacted the activities of soil enzymes [], which were enhanced in more finely textured soils []. Therefore, changes in soil particle dimensions also impacted root growth by altering the activities of soil enzymes.
It should be noted that siderophore production and the synthesis of several other growth-promoting compounds were also influenced by mineral-solubilizing microorganisms [,,,,]. Since each of these indices affected root growth, they warrant further investigation. Furthermore, specific synergistic and antagonistic effects also require further research. Most importantly, as the survival state of our added mineral-solubilizing microorganisms in the indigenous microbial community was unknown, we need to design an experiment to monitor them in the following research. Finally, our experiment was only monitored for one year; however, microbial communities may require far longer to stabilize. Therefore, we propose to investigate the changes in microbial communities over longer timelines.
5. Conclusions
In this research, mineral-solubilizing microorganisms were added to ESSS substrates to potentially augment the content of soil nutrients and soil enzyme activities in the rhizosphere soil of R. pseudoacacia. Furthermore, the nutrient content of the soil was intimately related to root growth, particularly for TN and TS. In general, the effects of NL-11+NL-15 (combined B. thuringiensis and G. butleri) on soil nutrients, enzyme activities, and plant growth were the strongest.
Supplementary Materials
The following are available online at https://www.mdpi.com/1999-4907/12/1/60/s1, Figure S1: SEM images.
Author Contributions
Conception and design of the research: C.L. and Z.J.; acquisition of data: X.P.; analysis and interpretation of data: C.L.; statistical analysis: C.L. and Z.J.; drafting the manuscript: B.Z. and L.Z.; revision of manuscript for important intellectual content: X.L. and J.Z. All authors read and approved the final manuscript. All authors have read and agreed to the published version of the manuscript.
Funding
This project was funded by the Priority Academic Program Development of Jiangsu Higher Education Institutions (PAPD), National Special Fund for Forestry Scientific Research in the Public Interest (Grant No. 201504406) and Jiangsu Agriculture Science and Technology Innovation Fund (Grant No. CX (17)1004).
Institutional Review Board Statement
Not applicable.
Informed Consent Statement
Not applicable.
Data Availability Statement
The data presented in this study are available on request from the corresponding author.
Acknowledgments
We would like to thank the Xiashu Forestry Farm for fieldwork assistance.
Conflicts of Interest
The authors declare that they have no known competing financial interests or personal relationships that could have appeared to influence the work reported in this paper.
References
- Xu, H.; Li, T.B.; Chen, J.N.; Liu, C.N.; Zhou, X.H.; Xia, L. Characteristics and applications of ecological soil substrate for rocky slope vegetation in cold and high-altitude areas. Sci. Total Environ. 2017, 609, 446–455. [Google Scholar] [CrossRef]
- Yang, Y.; Yang, J.; Zhao, T.; Huang, X.; Zhao, P. Ecological restoration of highway slope by covering with straw-mat and seeding with grass–legume mixture. Ecol. Eng. 2016, 90, 68–76. [Google Scholar] [CrossRef]
- Xu, E.Q.; Zhang, H.Q.; Li, M.X. Object-Based Mapping of Karst Rocky Desertification using a Support Vector Machine. Land Degrad. Dev. 2012, 26, 158–167. [Google Scholar] [CrossRef]
- Yan, X.; Cai, Y.L. Multi-Scale Anthropogenic Driving Forces of Karst Rocky Desertification in Southwest China. Land Degrad. Dev. 2012, 26, 193–200. [Google Scholar] [CrossRef]
- Muoz-Rojas, M.; Román, J.R.; Roncero-Ramos, B.; Erickson, T.E.; Merritt, D.J.; Aguila-Carricondo, P.; Cantón, P. Cyanobacteria inoculation enhances carbon sequestration in soil substrates used in dryland restoration. Sci. Total Environ. 2018, 636, 1149–1154. [Google Scholar] [CrossRef] [PubMed]
- Ranđelović, D.; Gajić, G.; Mutić, J.; Pavlović, P.; Mihailović, N.; Jovanović, S. Ecological potential of Epilobium dodonaei Vill. for restoration of metalliferous mine wastes. Ecol. Eng. 2016, 95, 800–810. [Google Scholar] [CrossRef]
- Wu, Z.X.; Yu, F.; Sun, X.Y.; Wu, S.L.; Li, X.H.; Liu, T.Y.; Li, Y.Q. Long term effects of Lespedeza bicolor revegetation on soil bacterial communities in Dexing copper mine tailings in Jiangxi Province, China. Appl. Soil Ecol. 2018, 125, 192–201. [Google Scholar] [CrossRef]
- Li, S.F.; Li, Y.W.; Shi, J.L.; Zhao, T.N.; Yang, J.Y. Optimizing the formulation of external-soil spray seeding with sludge using the orthogonal test method for slope ecological protection. Ecol. Eng. 2017, 102, 527–535. [Google Scholar] [CrossRef]
- Yao, D.; Qian, G.P.; Liu, J.W.; Yao, J.L. Application of Polymer Curing Agent in Ecological Protection Engineering of Weak Rock Slopes. Appl. Sci. 2019, 9, 1585. [Google Scholar] [CrossRef]
- Gao, G.J.; Yuan, J.G.; Han, R.H.; Xin, G.R.; Yang, Z.Y. Characteristics of the optimum combination of synthetic soils by plant and soil properties used for rock slope restoration. Ecol. Eng. 2007, 30, 303–311. [Google Scholar] [CrossRef]
- Li, R.R.; Zhang, W.J.; Yang, S.Q.; Zhu, M.K.; Kan, S.S.; Chen, J.; Ai, X.Y.; Ai, Y.W. Topographic aspect affects the vegetation restoration and artificial soil quality of rock-cut slopes restored by external-soil spray seeding. Sci. Rep. 2018, 8, 10109. [Google Scholar] [CrossRef] [PubMed]
- Luo, C.; Guo, X.P.; Liu, G.H.; Zhao, T.N.; Wang, Y.Y. Green waste compost as a substitute for turfy soil in external-soil spray seeding substrate. Environ. Technol. 2019, 1–13. [Google Scholar] [CrossRef] [PubMed]
- Hu, Z.; Wang, P.; Li, J. Ecological Restoration of Abandoned Mine Land in China. J. Res. Ecol. 2012, 3, 289–296. [Google Scholar]
- Lian, B.Q.; Peng, J.B.; Zhan, H.B.; Wang, X.G. Mechanical response of root-reinforced loess with various water contents. Soil Tillage Res. 2019, 193, 85–94. [Google Scholar] [CrossRef]
- Liu, C.A.; Jin, S.L.; Zhou, L.M.; Jia, Y.; Li, F.M.; Xiong, Y.C.; Li, X.G. Effects of plastic film mulch and tillage on maize productivity and soil parameters. Eur. J. Agron. 2009, 31, 241–249. [Google Scholar] [CrossRef]
- Li, C.; Jia, Z.H.; Yuan, Y.D.; Cheng, X.F.; Shi, J.C.; Tang, X.G.; Wang, Y.H.; Peng, X.N.; Dong, Y.Q.; Ma, S.L.; et al. Effects of mineral-solubilizing microbial strains on the mechanical responses of roots and root-reinforced soil in external-soil spray seeding substrate. Sci. Total Environ. 2020, 723, 138079. [Google Scholar] [CrossRef]
- Li, C.; Jia, Z.H.; Peng, X.N.; Zhai, L.; Zhang, B.; Liu, X.; Zhang, J.C. Functions of mineral-solubilizing microbes and a water retaining agent for the remediation of abandoned mine sites. Sci. Total Environ. 2020, 143215. [Google Scholar] [CrossRef]
- Azratul, A.N.; Akbar John, B.; Kamaruzzaman, B.Y.; Sheikh, H.I.; Jalal, K.C.; Noor Faizul, H.N. Biomonitoring Selected Heavy Metal Concentration in Nerita Sp. Collected from Tanjung Lumpur Mangrove Forest. Environ. Ecosyst. Sci. 2017, 1, 4–7. [Google Scholar]
- Matias, S.R.; Pagano, M.C.; Muzzi, F.C.; Oliveira, C.A.; Carneiro, A.A.; Horta, S.N.; Scotti, M.R. Effect of rhizobia, mycorrhizal fungi and phosphate-solubilizing microorganisms in the rhizosphere of native plants used to recover an iron ore area in Brazil. Eur. J. Soil Biol. 2009, 45, 259–266. [Google Scholar] [CrossRef]
- Prabhakaran, P.; Ashraf, M.A.; Aqma, W.S. Microbial stress response to heavy metals in the environment. R. Soc. Chem. 2016, 6, 109862–109877. [Google Scholar] [CrossRef]
- Puente, M.E.C.Y.; Li, Y.; Bashan, Y. Microbial Populations and Activities in the Rhizoplane of Rock-Weathering Desert Plants. II. Growth promotion of cactus seedlings. Plant Biol. 2008, 6, 643–650. [Google Scholar]
- Glick, B.R.; Bashan, Y. Genetic manipulation of plant growth-promoting bacteria to enhance biocontrol of phytopathogens. Biotechnol. Adv. 1997, 15, 353–378. [Google Scholar] [CrossRef]
- Pérez-Montaño, F.; Alías-Villegas, C.; Bellogín, R.A.; Del Cerro, P.; Espuny, M.R.; Jiménez-Guerrero, I.; López-Baena, F.J.; Ollero, F.J.; Cubo, T. Plant growth promotion in cereal and leguminous agricultural important plants: From microorganism capacities to crop production. Microbiol. Res. 2014, 169, 325–336. [Google Scholar] [CrossRef]
- Mahmood, A.; Iguchi, R.; Kataoka, R. Multifunctional food waste fertilizer having the capability of Fusarium-growth inhibition and phosphate solubility: A new horizon of food waste recycle using microorganisms. Waste Manag. 2019, 94, 77–84. [Google Scholar] [CrossRef] [PubMed]
- Molina-Favero, C.; Creus, C.M.; Simontacchi, M.; Puntarulo, S.; Lamattina, L. Aerobic nitric oxide production by Azospirillum brasilense Sp245 and its influence on root architecture in tomato. Mol. Plant Microbe Interact. 2008, 21, 1001. [Google Scholar] [CrossRef] [PubMed]
- Pagnani, G.; Pellegrini, M.; Galieni, A.; Sara, D.E.; Matteucci, F.; Ricci, A.; Stagnari, F.; Sergi, M.; Lo Sterzo, C.; Pisante, M.; et al. Plant growth-promoting rhizobacteria (PGPR) in Cannabis sativa ‘Finola’ cultivation: An alternative fertilization strategy to improve plant growth and quality characteristics. Ind. Crops Prod. 2018, 123, 75–83. [Google Scholar] [CrossRef]
- Pereg, L.; De-Bashan, L.E.; Bashan, Y. Assessment of affinity and specificity of Azospirillum for plants. Plant Soil 2016, 399, 389–414. [Google Scholar] [CrossRef]
- Blume-Werry, G.; Krab, E.J.; Olofsson, J.; Sundqvist, M.K.; Väisänen, M.; Klaminder, J. Invasive earthworms unlock arctic plant nitrogen limitation. Nat. Commun. 2020, 11, 1766. [Google Scholar] [CrossRef]
- Chaudhary, D.R.; Rathore, A.P.; Sharma, S. Effect of halotolerant plant growth promoting rhizobacteria inoculation on soil microbial community structure and nutrients. Appl. Soil Ecol. 2020, 150, 103461. [Google Scholar] [CrossRef]
- Hu, Y.L.; Mgelwa, A.S.; Singh, A.N.; Zeng, D.H. Differential responses of the soil nutrient status, biomass production, and nutrient uptake for three plant species to organic amendments of placer gold mine-tailing soils. Land Degrad. Dev. 2018, 29, 2836–2845. [Google Scholar] [CrossRef]
- Chen, H.B.; Yang, X.; Wang, H.L.; Sarkar, B.; Shaheen, S.M.; Gielen, G.; Bolan, N.; Guo, J.; Che, L.; Sun, H.L.; et al. Animal carcass- and wood-derived biochars improved nutrient bioavailability, enzyme activity, and plant growth in metal-phthalic acid ester co-contaminated soils: A trial for reclamation and improvement of degraded soils. J. Environ. Manag. 2020, 261, 110246. [Google Scholar] [CrossRef] [PubMed]
- Guan, B.; Xie, B.H.; Yang, S.S.; Hou, A.X.; Chen, M.; Han, G.X. Effects of five years’ nitrogen deposition on soil properties and plant growth in a salinized reed wetland of the Yellow River Delta. Ecol. Eng. 2019, 136, 160–166. [Google Scholar] [CrossRef]
- Jing, Y.L.; Zhang, Y.H.; Han, L.; Wang, P.; Mei, Q.W.; Huang, Y.J. Effects of different straw biochars on soil organic carbon, nitrogen, available phosphorus, and enzyme activity in paddy soil. Sci. Rep. 2020, 10, 8837. [Google Scholar] [CrossRef] [PubMed]
- Guo, T.C.; Song, X.; Ma, D.Y.; Wang, Y.H.; Xie, Y.X.; Yue, Y.J.; Zha, F.N. Effects of nitrogen application rate on soil enzyme activities in wheat rhizosphere. J. Appl. Ecol. 2008, 19, 110–114. [Google Scholar]
- Li, H.Y.; Qiu, Y.Z.; Yao, T.; Ma, Y.C.; Zhang, H.R.; Yang, X.L. Effects of PGPR microbial inoculants on the growth and soil properties of Avena sativa, Medicago sativa, and Cucumis sativus seedlings. Soil Tillage Res. 2020, 199, 104577. [Google Scholar] [CrossRef]
- Xu, H.; Shao, H.; Lu, Y. Arbuscular mycorrhiza fungi and related soil microbial activity drive carbon mineralization in the maize rhizosphere. Ecotoxicol. Environ. Saf. 2019, 182, 109476. [Google Scholar] [CrossRef]
- Daraz, U.; Li, Y.; Sun, Q.Y.; Zhang, M.Z.; Ahmad, L. Inoculation of Bacillus spp. Modulate the soil bacterial communities and available nutrients in the rhizosphere of vetiver plant irrigated with acid mine drainage. Chemosphere 2021, 263, 128345. [Google Scholar] [CrossRef]
- Wang, J.M.; Liu, H.; Wu, X.H.; Li, C.S.; Wang, X.L. Effects of different types of mulches and legumes for the restoration of urban abandoned land in semi-arid northern China. Ecol. Eng. 2017, 102, 55–63. [Google Scholar] [CrossRef]
- Yuan, Y.; Zhao, Z.Q.; Niu, S.Y.; Li, X.Z.; Wang, Y.Y.; Bai, Z.K. Reclamation promotes the succession of the soil and vegetation in opencast coal mine: A case study from Robinia pseudoacacia reclaimed forests, Pingshuo mine, China. Catena 2018, 165, 72–79. [Google Scholar] [CrossRef]
- Wang, G.L.; Deng, H.; Nie, L.; Wu, Y.W.; Zhang, J.C. Mechanism of limestone corrosion by gongronella butleri nl-15. Chin. J. Appl. Environ. Biol. 2018, 24, 374–378. [Google Scholar]
- Wu, Y.; Zhang, J.; Guo, X. An Indigenous Soil Bacterium Facilitates the Mitigation of Rocky Desertification in Carbonate Mining Areas. Land Degrad. Dev. 2017, 28, 2222–2233. [Google Scholar] [CrossRef]
- Wu, Y.W.; Zhang, J.C.; Guo, X.P.; Wang, Y.X.; Wang, Q. Isolation and characterisation of a rock solubilising fungus for application in mine-spoil reclamation. Eur. J. Soil Biol. 2017, 81, 76–82. [Google Scholar] [CrossRef]
- Wang, Y.X.; Zhang, J.C.; Wu, Y.W.; Wang, L.J.; Jia, Z.H. Effects of Soil Bacteria Inoculation in Spray Seeding Matrix on Photosynthesis Characteristics and Chlorophyll Fluorescence Parameters of Amorpha fruticose. Res. Environ. Sci. 2017, 30, 902–910. [Google Scholar]
- Liu, X.; Zhang, B.; Zhao, W.R.; Wang, L.; Xie, D.J.; Huo, W.T.; Wu, Y.W.; Zhang, J.C. Comparative effects of sulfuric and nitric acid rain on litter decomposition and soil microbial community in subtropical plantation of Yangtze River Delta region. Sci. Total Environ. 2017, 601, 669–678. [Google Scholar] [CrossRef]
- Qin, Z.F.; Zhang, H.Y.; Feng, G.; Christie, P.; Zhang, J.L.; Li, X.L.; Gai, J.P. Soil phosphorus availability modifies the relationship between AM fungal diversity and mycorrhizal benefits to maize in an agricultural soil. Soil Biol. Biochem. 2020, 144, 107790. [Google Scholar] [CrossRef]
- Kandeler, E.; Gerber, H. Short-term assay of soil urease activity using colorimetric determination of ammonium. Biol. Fertil. Soils 1988, 6, 68–72. [Google Scholar] [CrossRef]
- Wang, J.W.; Niu, W.Q.; Guo, L.L.; Liu, L.; Li, Y.; Dyck, M. Drip irrigation with film mulch improves soil alkaline phosphatase and phosphorus uptake. Agric. Water Manag. 2018, 201, 258–267. [Google Scholar] [CrossRef]
- Guo, C.; Li, J.K.; Li, H.E.; Li, Y.J. Influences of stormwater concentration infiltration on soil nitrogen, phosphorus, TOC and their relations with enzyme activity in rain garden. Chemosphere 2019, 233, 207–215. [Google Scholar] [CrossRef]
- Liu, K.H.; Li, C.M.; Tang, S.Q.; Shang, G.D.; Yu, F.M.; Li, Y. Heavy metal concentration, potential ecological risk assessment and enzyme activity in soils affected by a lead-zinc tailing spill in Guangxi, China. Chemosphere 2020, 251, 126415. [Google Scholar] [CrossRef]
- Bashan, Y.; Holguin, G.; De-Bashan, L.E. Azospirillum-plant relationships: Physiological, molecular, agricultural, and environmental advances (1997–2003). Can. J. Microbiol. 2004, 50, 521–577. [Google Scholar] [CrossRef]
- Perrig, D.; Boiero, M.L.; Masciarelli, O.A.; Penna, C.; Ruiz, O.A.; Cassán, F.D.; Luna, M.V. Plant-growth-promoting compounds produced by two agronomically important strains of Azospirillum brasilense, and implications for inoculant formulation. Appl. Microbiol. Biotechnol. 2007, 75, 1143–1150. [Google Scholar] [CrossRef] [PubMed]
- Ahemad, M.; Kibret, M. Mechanisms and applications of plant growth promoting rhizobacteria: Current perspective. J. King Saud Univ. Sci. 2014, 26, 1–20. [Google Scholar] [CrossRef]
- Romero, D.; de Vicente, A.; Rakotoaly, R.H.; Dufour, S.E.; Veening, J.W.; Arrebola, E.; Cazorla, F.M.; Kuipers, O.P.; Paquot, M.; Pérez-García, A. The iturin and fengycin families of lipopeptides are key factors in antagonism of Bacillus subtilis toward Podosphaera fusca. Mol. Plant Microbe Interact. 2007, 20, 430. [Google Scholar] [CrossRef] [PubMed]
- Valetti, L.; Iriarte, L.; Fabra, A. Growth promotion of rapeseed (Brassica napus) associated with the inoculation of phosphate solubilizing bacteria. Appl. Soil Ecol. 2018, 132, 1–10. [Google Scholar] [CrossRef]
- Wu, Y.W.; Zhang, J.C.; Wang, L.J.; Wang, Y.X. A rock-weathering bacterium isolated from rock surface and its role in ecological restoration on exposed carbonate rocks. Ecol. Eng. 2017, 101, 162–169. [Google Scholar] [CrossRef]
- Ma, Z.Y.; Wang, D.; Dai, W.; Zhang, Y.T.; Dai, A.N. Soil Characteristics and Fertility Evaluation of Abies sibirica Forest at Different Altitude Gradients in Altai Mountain. Res. Soil Water Conserv. 2016, 23, 134–140. [Google Scholar]
- Yu, Y.H.; Wang, L.; Zhong, X.P.; Qin, S.Y. Evaluation of soil quality of Chinese prickly ash artificial orchard at different altitudes in Guizhou karst mountainous. Acta Ecol. Sin. 2018, 38, 7850–7858. [Google Scholar]
- Anzuay, M.S.; Ciancio, M.G.; Ludueña, L.M.; Angelini, J.G.; Barros, G.; Pastor, N.; Taurian, T. Growth promotion of peanut (Arachis hypogaea L.) and maize (Zea mays L.) plants by single and mixed cultures of efficient phosphate solubilizing bacteria that are tolerant to abiotic stress and pesticides. Microbiol. Res. 2017, 199, 98–109. [Google Scholar] [CrossRef]
- Raklami, A.; Tahiri, A.; Bechtaoui, N.; Abdelhay, E.G.; Pajuelo, E.; Baslam, M.; Meddich, A.; Oufdou, K. Restoring the plant productivity of heavy metal-contaminated soil using phosphate sludge, marble waste, and beneficial microorganisms. J. Environ. Sci. 2021, 99, 210–221. [Google Scholar] [CrossRef]
- Su, M.; Han, F.Y.; Wu, Y.L.; Yan, Z.P.; Lv, Z.S.; Tian, D.; Wang, S.M.; Hu, S.J.; Shen, Z.T.; Li, Z. Effects of phosphate-solubilizing bacteria on phosphorous release and sorption on montmorillonite. Appl. Clay Sci. 2019, 181, 105227. [Google Scholar] [CrossRef]
- Anjanadevi, I.P.; Neetha, S.J.; John, K.S.; Jeeva, M.L.; Misra, R.S. Research Paper Rock inhabiting potassium solubilizing bacteria from Kerala, India: Characterization and possibility in chemical K fertilizer substitution. J. Basic Microbiol. 2016, 56, 67–77. [Google Scholar] [CrossRef] [PubMed]
- Bagyalakshmi, B.; Ponmurugan, P.; Balamurugan, A. Potassium solubilization, plant growth promoting substances by potassium solubilizing bacteria (KSB) from southern Indian Tea plantation soil. Biocatal. Agric. Biotechnol. 2017, 12, 116–124. [Google Scholar] [CrossRef]
- Maity, A.; Sharma, J.; Pal, R.K. Novel potassium solubilizing bio-formulation improves nutrient availability, fruit yield and quality of pomegranate (Punica granatum L.) in semi-arid ecosystem. Sci. Hortic. 2019, 255, 14–20. [Google Scholar] [CrossRef]
- Guo, X.; Zhan, Y.L.; Chen, C.M.; Zhao, L.J.; Guo, S.H. The influence of microbial synergistic and antagonistic effects on the performance of refinery wastewater microbial fuel cells. J. Power Sources 2014, 251, 229–236. [Google Scholar] [CrossRef]
- Van Wichelen, J.; Vanormelingen, P.; Codd, G.A.; Vyverman, W. The common bloom-forming cyanobacterium Microcystis is prone to a wide array of microbial antagonists. Harmful Algae 2016, 55, 97–111. [Google Scholar] [CrossRef] [PubMed]
- Khan, M.R.; Mohidin, F.A.; Khan, U.; Ahamad, F. Native Pseudomonas spp. suppressed the root-knot nematode in in vitro and in vivo, and promoted the nodulation and grain yield in the field grown mungbean. Biol. Control 2016, 101, 159–168. [Google Scholar] [CrossRef]
- Saha, S.; Chakraborty, D.; Sehgal, V.K.; Nain, L.; Pal, M. Long-term atmospheric CO2 enrichment impact on soil biophysical properties and root nodule biophysics in chickpea (Cicer arietinum L.). Eur. J. Agron. 2016, 75, 1–11. [Google Scholar] [CrossRef]
- Shahzad, S.M.; Khalid, A.; Arshad, M.; Tahir, J.; Mahmood, T. Improving nodulation, growth and yield of Cicer arietinum L. through bacterial ACC-deaminase induced changes in root architecture. Eur. J. Soil Biol. 2010, 46, 342–347. [Google Scholar] [CrossRef]
- Wang, C.Y.; Alidoust, D.; Yang, X.L.; Isoda, A. Effects of bamboo biochar on soybean root nodulation in multi-elements contaminated soils. Ecotoxicol. Environ. Saf. 2018, 150, 62–69. [Google Scholar] [CrossRef]
- Vidyalakshmi, R.; Sridar, R. Isolation and characterization of sulphur oxidizing bacteria. J. Cult. Collect. 2006, 5, 73–77. [Google Scholar]
- Das, S.K.; Mishra, A.K.; Tindall, B.J.; Rainey, F.A.; Stackebrandt, E. Oxidation of thiosulfate by a new bacterium, Bosea thiooxidans (strain BI-42) gen. nov., sp. nov.: Analysis of phylogeny based on chemotaxonomy and 16S ribosomal DNA sequencing. Int. J. Syst. Bacteriol. 1996, 46, 981. [Google Scholar] [CrossRef] [PubMed]
- Ouattara, H.G.; Elias, R.J.; Dudley, E.G. Microbial synergy between Pichia kudriazevii YS201 and Bacillus subtilis BS38 improves pulp degradation and aroma production in cocoa pulp simulation medium. Heliyon 2020, 6, e03269. [Google Scholar] [CrossRef] [PubMed]
- Liu, Y.N.; Guo, Z.H.; Xiao, X.Y.; Wang, S.; Jiang, Z.C.; Zeng, P. Phytostabilisation potential of giant reed for metals contaminated soil modified with complex organic fertiliser and fly ash: A field experiment. Sci. Total Environ. 2017, 576, 292–302. [Google Scholar] [CrossRef] [PubMed]
- Zeng, P.; Guo, Z.H.; Xiao, X.Y.; Peng, C. Dynamic response of enzymatic activity and microbial community structure in metal(loid)-contaminated soil with tree-herb intercropping. Geoderma 2019, 345, 5–16. [Google Scholar] [CrossRef]
- Zeng, P.; Guo, Z.H.; Xiao, X.Y.; Peng, C.; Huang, B.; Feng, W.L. Complementarity of co-planting a hyperaccumulator with three metal(loid)-tolerant species for metal(loid)-contaminated soil remediation. Ecotoxicol. Environ. Saf. 2019, 169, 306–315. [Google Scholar] [CrossRef]
- Xu, L.X.; Yi, M.; Yi, H.L.; Guo, E.H.; Zhang, A.Y. Manure and mineral fertilization change enzyme activity and bacterial community in millet rhizosphere soils. World J. Microbiol. Biotechnol. 2018, 34, 8. [Google Scholar] [CrossRef]
- Wang, Y.; Zhang, M.; Zhao, L.F.; Zhang, W.; Zhao, T.; Chu, J.X.; Qiu, Y.H.; Gong, H.Y.; Li, R.J. Effects of tetrabromobisphenol A on maize (Zea mays L.) physiological indexes, soil enzyme activity, and soil microbial biomass. Ecotoxicology 2019, 28, 1–12. [Google Scholar] [CrossRef]
- Hamdali, H.; Hafidi, M.; Virolle, M.J.; Ouhdouch, Y. Rock phosphate-solubilizing Actinomycetes: Screening for plant growth-promoting activities. World J. Microbiol. Biotechnol. 2008, 24, 2565–2575. [Google Scholar] [CrossRef]
- Hamim, A.; Boukeskasse, A.; Ouhdouch, Y.; Farrouki, A.; Barrijal, S.; Miché, L.; Mrabet, R.; Duponnois, R.; Hafidi, M. Phosphate solubilizing and PGR activities of ericaceous shrubs microorganisms isolated from Mediterranean forest soil. Biocatal. Agric. Biotechnol. 2019, 19, 101128. [Google Scholar] [CrossRef]
- Gao, M.; Zhou, J.J.; Wang, E.T.; Chen, Q.; Xu, J.; Sun, J.G. Multiphasic characterization of a plant growth promoting bacterial strain, Burkholderia sp. 7016 and its effect on tomato growth in the field. J. Integr. Agric. 2015, 14, 1855–1863. [Google Scholar] [CrossRef]
- Zhang, H.S.; Wu, X.H.; Li, G.; Qin, P. Interactions between arbuscular mycorrhizal fungi and phosphate-solubilizing fungus (Mortierella sp.) and their effects on Kostelelzkya virginica growth and enzyme activities of rhizosphere and bulk soils at different salinities. Biol. Fertil. Soils 2011, 47, 543–554. [Google Scholar] [CrossRef]
- Moraes, M.T.; Debiasi, H.; Franchini, J.C.; Mastroberti, A.A.; Levien, R.; Leitner, D.; Schnepf, A. Soil compaction impacts soybean root growth in an Oxisol from subtropical Brazil. Soil Tillage Res. 2020, 200, 104611. [Google Scholar] [CrossRef]
- Marx, M.C.; Kandeler, E.; Wood, M.; Wermbter, N.; Jarvis, S.C. Exploring the enzymatic landscape: Distribution and kinetics of hydrolytic enzymes in soil particle-size fractions. Soil Biol. Biochem. 2005, 37, 35–48. [Google Scholar] [CrossRef]
- Yarwood, S.; Wick, A.; Williams, M.; Daniels, W.L. Parent Material and Vegetation Influence Soil Microbial Community Structure Following 30-Years of Rock Weathering and Pedogenesis. Microb. Ecol. 2015, 69, 383–394. [Google Scholar] [CrossRef]
Publisher’s Note: MDPI stays neutral with regard to jurisdictional claims in published maps and institutional affiliations. |
© 2021 by the authors. Licensee MDPI, Basel, Switzerland. This article is an open access article distributed under the terms and conditions of the Creative Commons Attribution (CC BY) license (http://creativecommons.org/licenses/by/4.0/).