Estimating Wind Damage in Forested Areas Due to Tornadoes
Abstract
1. Introduction
2. Methods
2.1. Model Description
2.1.1. Tornado Vortex Model and Treefall Patterns
2.1.2. Windthrow Model
| Y = (FH/hoVo)2 + (FM/2RmoVo)2 − 2e (FH/hoVo) (FM/2RmoVo) − β122 (FV/Vo + to)2β1 (1 − FV/Vo)2β2 = 0 |
| β12 = (β1 + β2)β1+β2/[β1β1 β2β2 (to +1)β1+β2] |
| e = −2.143 (d/2R) for 0 < d/2R < 0.42 |
| e = −0.9 for d/2R > 0.42 |
2.1.3. Stem Breakage Models
3. Results
3.1. Windthrow Model
3.1.1. Model Calibration
3.1.2. Model Validation
3.2. Stem Breakage Model
3.3. Windthrow and Stem Breakage Model Outputs
3.4. Parametric Study
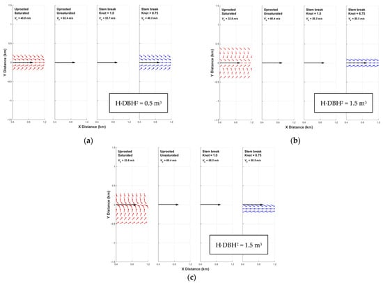
3.4.1. Generic Treefall Patterns
3.4.2. Treefall Patterns with Random H·DBH2 Distributions
4. Discussion
4.1. Overview
4.2. Observations from the Study Findings
4.3. Limitations and Recommendations for Future Studies
5. Conclusions
Supplementary Materials
Author Contributions
Funding
Conflicts of Interest
References
- Burrow, D.; Herrero, H.V.; Ellis, K.N. Damage analysis of three long-track tornadoes using high-resolution satellite imagery. Atmosphere 2020, 11, 613. [Google Scholar] [CrossRef]
- Cannon, J.B.; Hepinstall-Cymerman, J.; Godfrey, C.M.; Peterson, C.J. Landscape-scale characteristics of forest tornado damage in mountainous terrain. Landsc. Ecol. 2016, 31, 2097–2114. [Google Scholar] [CrossRef]
- Dale, V.H.; Joyce, L.A.; McNulty, S.; Neilson, R.P.; Ayres, M.P.; Flannigan, M.D.; Hanson, P.J.; Irland, L.C.; Lugo, A.E.; Peterson, C.J.; et al. Climate change and forest disturbances: Climate change can affect forests by altering the frequency, intensity, duration, and timing of fire, drought, introduced species, insect and pathogen outbreaks, hurricanes, windstorms, ice storms, or landslides. BioScience 2001, 51, 723–734. [Google Scholar] [CrossRef]
- Laiho, O. Susceptibility of forest stands to windthrow in southern Finland. Folia For. 1987, 706, 1–24, (In Finnish with English Summary). [Google Scholar]
- Achim, A.; Ruel, J.-C.; Gardiner, G.L.; Meunier, S. Modelling the vulnerability of balsam fir forests to wind damage. For. Ecol. Manag. 2005, 204, 35–50. [Google Scholar] [CrossRef]
- Ravn, H.P. Expansion of the populations of Ips typographus (L.) (Coleoptera, Scolytidae) and their local dispersal following gale disaster in Denmark. Z. Angew. Entomol. 1985, 99, 26–33. [Google Scholar] [CrossRef]
- Schroeder, L.M.; Eidmann, H.H. Attacks of bark and wood boring Coleoptera on snow broken conifers over a two-year period. Scand. J. For. Res. 1993, 8, 257–265. [Google Scholar] [CrossRef]
- Mitchell, S.J. Wind as a natural disturbance agent in forests: A synthesis. Forestry 2013, 86, 147–157. [Google Scholar] [CrossRef]
- Quine, C.P.; Gardiner, B.A. Understanding how the interaction of wind and trees results in windthrow, stem breakage, and canopy gap formation. In Plant Disturbance Ecology—The Process and the Response; Johnston, E.A., Miyanishi, K., Eds.; Academic Press: Burlington, MA, USA, 2007; pp. 103–156. [Google Scholar]
- Everham, E.M.; Brokaw, N.V.L. Forest damage and recovery from catastrophic wind. Bot. Rev. 1996, 62, 113–185. [Google Scholar] [CrossRef]
- Montoro Girona, M.; Morin, H.; Lussier, J.-M.; Ruel, J.-C. Post-cutting mortality following experimental silvicultural treatments in unmanaged boreal forest stands. Front. For. Glob. Chang. 2019, 2:4, 1–16. [Google Scholar] [CrossRef]
- Agee, E.M. A revised tornado definition and changes in tornado taxonomy. Weather Forecast 2014, 29, 1256–1258. [Google Scholar] [CrossRef]
- Malamud, B.D.; Turcotte, D.L. Statistics of severe tornadoes and severe tornado outbreaks. Atmos. Chem. Phys. 2012, 12, 8459–8473. [Google Scholar] [CrossRef]
- Zenoble, M.D.; Peterson, C.J. Remotely visible width and discontinuity of 50 tornado damage paths through forested landscapes. Electron. J. Sev. Storms Meteorol. 2017, 12, 1–21. [Google Scholar]
- Hall, F.; Brewer, R.D. A sequence of tornado damage patterns. Mon. Weather Rev. 1959, 87, 207–216. [Google Scholar] [CrossRef][Green Version]
- Budney, L.J. Unique damage patterns caused by a tornado in dense woodlands. Weatherwise 1965, 18, 74–86. [Google Scholar] [CrossRef]
- Fujita, T.T. The Teton-Yellowstone tornado of 21 July 1987. Mon. Weather Rev. 1989, 117, 1913–1940. [Google Scholar] [CrossRef]
- Peterson, C.J. Consistent influence of tree diameter and species on damage in nine eastern North America tornado blowdowns. For. Ecol. Manag. 2007, 250, 96–108. [Google Scholar] [CrossRef]
- Blanchard, D.O. A comparison of wind speed and forest damage associated with tornadoes in northern Arizona. Weather Forecast. 2013, 28, 408–417. [Google Scholar] [CrossRef]
- Peterson, C.J.; Pickett, S.T.A. Treefall and resprouting following catastrophic windthrow in an old-growth hemlock-hardwoods forest. For. Ecol. Manag. 1991, 42, 205–217. [Google Scholar] [CrossRef]
- Peterson, C.J. Damage and recovery of tree species after two different tornadoes in the same old growth forest: A comparison of infrequent wind disturbances. For. Ecol. Manag. 2000, 135, 237–252. [Google Scholar] [CrossRef]
- Peterson, R.E. Johannes Letzman: A pioneer in the study of tornadoes. Weather Forecast. 1992, 7, 166–184. [Google Scholar] [CrossRef]
- Holland, A.P.; Riordan, A.J.; Franklin, E.C. A simple model for simulating tornado damage in forests. J. Appl. Meteorol. Climatol. 2006, 45, 1597–1611. [Google Scholar] [CrossRef]
- Bech, J.; Gayà, M.; Aran, M.; Figuerola, F.; Amaro, J.; Arús, J. Tornado damage analysis of a forest area using site survey observations, radar data and a simple analytical vortex model. Atmos. Res. 2009, 93, 118–130. [Google Scholar] [CrossRef]
- Beck, V.; Dotzek, N. Reconstruction of near-surface tornado wind fields from forest damage. J. Appl. Meteorol. Climatol. 2010, 49, 1517–1537. [Google Scholar] [CrossRef]
- Karstens, C.D.; Gallus, W.A.; Lee, B.D.; Finley, C.A. Analysis of tornado-induced tree fall using aerial photography from the Joplin, Missouri, and Tuscaloosa–Birmingham, Alabama, Tornadoes of 2011. J. Appl. Meteorol. Climatol. 2013, 52, 1049–1068. [Google Scholar] [CrossRef]
- Lombardo, F.T.; Roueche, D.B.; Prevatt, D.O. Comparison of two methods of near surface wind speed estimation in the 22 May, 2011 Joplin, Missouri Tornado. J. Wind Eng. Ind. Aerodyn. 2015, 138, 87–97. [Google Scholar] [CrossRef]
- Rhee, D.M.; Lombardo, F.T. Improved near-surface wind speed characterization using damage patterns. J. Wind Eng. Ind. Aerodyn. 2018, 180, 288–297. [Google Scholar] [CrossRef]
- Seidl, R.; Thom, D.; Kautz, M.; Martin-Benito, D.; Peltoniemi, M.; Vacchiano, G.; Wild, J.; Ascoli, D.; Petr, M.; Honkaniemi, J.; et al. Forest disturbances under climate change. Nat. Clim. Chang. 2017, 7, 395–402. [Google Scholar] [CrossRef]
- Vaillancourt, M.-A.; De Grandpré, L.; Gauthier, S.; Kneeshaw, D.; Drapeau, P.; Bergeron, Y. How can natural disturbance be a guide for forest ecosystem management? In Ecosystem Management in the Boreal Forest; Gauthier, S., Vaillancourt, M.-A., Leduc, A., De Grandpré, L., Kneeshaw, D., Morin, H., Drapeau, P., Bergeron, Y., Eds.; Presses de l’Université du Québec: Montreal, QC, Canada, 2009; pp. 39–55. [Google Scholar]
- Moussaoui, L.; Leduc, A.; Girona, M.M.; Bélisle, A.C.; Lafleur, B.; Fenton, N.J.; Bergeron, Y. Success factors for experimental partial harvesting in unmanaged boreal forest: 10-Year stand yield results. Forests 2020, 11, 1199. [Google Scholar] [CrossRef]
- Bender, M.A.; Knutson, T.R.; Tuleya, R.E.; Sirutis, J.J.; Vecchi, G.A.; Garner, S.T.; Held, I.M. Modeled impact of anthropogenic warming on the frequency of intense Atlantic hurricanes. Science 2010, 327, 454–458. [Google Scholar] [CrossRef]
- Johnson, E.; Miyanishi, K. Introduction. In Plant Disturbance Ecology: The Process and the Response; Johnson, E., Miuanishi, K., Eds.; Academic Press: Burlington, MA, USA, 2007; pp. 15–25. [Google Scholar]
- Peterson, C.J.; Ribeiro, G.H.P.M.; Negrón-Juárez, R.; Magnabosco Marra, D.; Chambers, J.Q.; Higuchi, N.; Lima, A.; Cannon, J.B. Critical wind speeds suggest wind could be an important disturbance agent in Amazonian forests. Forestry 2019, 92, 444–459. [Google Scholar] [CrossRef]
- Banik, S.S.; Hong, H.P.; Kopp, G.A. Tornado hazard assessment for southern Ontario. Can. J. Civ. Eng. 2007, 34, 830–842. [Google Scholar] [CrossRef]
- Hale, S.E.; Gardiner, B.; Peace, A.; Nicoll, B.; Taylor, P.; Pizzirani, S. Comparison and validation of three versions of a forest wind risk model. Environ. Model. Softw. 2015, 68, 27–41. [Google Scholar] [CrossRef]
- Peltola, H.; Kellomäki, S.; Väisänen, H.; Ikonen, V.-P. A mechanistic model for assessing the risk of wind and snow damage to single trees and stands of Scots pine, Norway spruce, and birch. Can. J. For. Res. 1999, 29, 647–661. [Google Scholar] [CrossRef]
- Díaz-Yáñez, O.; Mola-Yudego, B.; González-Olabarria, J.R. Modelling damage occurrence by snow and wind in forest ecosystems. Ecol. Model. 2019, 408, 108741. [Google Scholar] [CrossRef]
- Díaz-Yáñez, O.; Mola-Yudego, B.; González-Olabarria, J.R.; Pukkala, T. How does forest composition and structure affect the stability against wind and snow. For. Ecol. Manag. 2017, 401, 215–222. [Google Scholar] [CrossRef]
- Díaz-Yáñez, O.; Arias-Rodil, M.; Mola-Yudego, B.; González-Olabarria, J.R.; Pukkala, T. Simulating the effect of wind and snow damage on the optimal management of Norwegian Spruce forests. Forestry 2019, 92, 406–416. [Google Scholar] [CrossRef]
- Sills, D.; Cheng, V.; McCarthy, P.; Rousseau, B.; Waller, J.; Elliott, L.; Klaassen, J.; Auld, H. Using tornado, lightning and population data to identify tornado prone areas in Canada. In Proceedings of the 26th Conference on Severe Local Storms, Nashville, TN, USA, 5–8 November 2012; American Meteorological Society: Boston, MA, USA, 2012; p. 59. [Google Scholar]
- Cheng, V.Y.S.; Arhonditsis, G.B.; Sills, D.M.L.; Auld, H.; Shephard, M.W.; Gough, W.A.; Klaassen, J. Probability of tornado occurrence across Canada. J. Clim. 2013, 26, 9415–9428. [Google Scholar] [CrossRef]
- Sills, D.; (Western University, London, ON, Canada). Personal communication, 2020.
- Gensini, V.A.; Brooks, H.E. Spatial trends in United States tornado frequency. Clim. Atmos. Sci. 2018, 1, 38. [Google Scholar] [CrossRef]
- Gardiner, B.; Hale, S.; Wellpott, A.; Nicoll, B. The development of a wind risk model for irregular stands. In Proceedings of the 2nd International Conference on Wind Effects on Trees, Albert-Ludwigs-University of Freiburg, Freiburg, Germany, 13–16 October 2009; Mayer, H., Ed.; Meteorological Insitute: Freiburg, Germany, 2009; pp. 127–133. [Google Scholar]
- Peltola, H.; Dupont, S.; Ikonen, V.-P.; Väisänen, H.; Venäläinen, A.; Kellomäki, S. Integrated use of two dimensional airflow model Aquilon and mechanistic model HWIND for risk assessment of tree stands to wind damage. In Proceedings of the 2nd International Conference on Wind Effects on Trees, Albert-Ludwigs-University of Freiburg, Freiburg, Germany, 13–16 October 2009; Mayer, H., Ed.; Meteorological Insitute: Freiburg, Germany, 2009; pp. 189–194. [Google Scholar]
- Peltola, H.; Kellomäki, S.; Hassinen, A.; Granander, M. Mechanical stability of Scots Pine, Norway spruce and birch: Analysis of tree pulling experiments in Finland. For. Ecol. Manag. 2000, 135, 143–153. [Google Scholar] [CrossRef]
- Gillmeier, S.; Sterling, M.; Hemida, H.; Baker, C.J. A reflection on analytical tornado-like vortex flow field models. J. Wind Eng. Ind. Aerodyn. 2018, 174, 10–27. [Google Scholar] [CrossRef]
- Bluestein, H.B. Mobile Doppler radar observations of tornadoes. In Proceedings of the 4th European Conference on Severe Storms, Trieste, Italy, 10–14 September 2007. [Google Scholar]
- Kosiba, K.; Wurman, J. The three-dimensional axisymmetric wind field structure of the Spencer, South Dakota, 1998 tornado. J. Atmos. Sci. 2010, 67, 3074–3083. [Google Scholar] [CrossRef]
- Wurman, J.; Alexander, C.R. The 30 May 1998 Spencer, South Dakota, Storm. Part II: Comparison of observed damage and radar-derived winds in the tornadoes. Mon. Weather Rev. 2005, 133, 97–119. [Google Scholar] [CrossRef]
- Villalobos, F.A.; Byrne, B.W.; Houlsby, G.T. An experimental study of the drained capacity of suction caisson foundations under monotonic loading for offshore applications. Soils Found. 2009, 49, 477–488. [Google Scholar] [CrossRef]
- Meyerhof, G.G. The ultimate bearing capacity of foundations. Geotechnique 1951, 2, 301–332. [Google Scholar] [CrossRef]
- De Beer, E.E. Experimental determination of the shape factors and the bearing capacity factors of sand. Geotechnique 1970, 20, 387–411. [Google Scholar] [CrossRef]
- Hansen, J.B. A Revised and Extended Formula for Bearing Capacity; Danish Geotechnical Institute: Copenhagen, Danmark, 1970; Volume 28, pp. 5–11. ISBN 8774510282/978-8774510284. [Google Scholar]
- Vesic, A.S. Analysis of ultimate loads of shallow foundations. J. Soil Mech. Found. Div. 1973, 99, 45–73. [Google Scholar] [CrossRef]
- Wu, T.H.; Beal, B.E.; Lan, C. In situ shear test of soil-root systems. J. Geotech. Eng. 1988, 114, 1376–1394. [Google Scholar] [CrossRef]
- Wu, T.H. Root reinforcement of soil: Review of analytical models, test results, and applications to design. Can. Geotech. J. 2013, 50, 259–274. [Google Scholar] [CrossRef]
- Zhuang, J. Numerical investigation of caisson foundations in sand under combined monotonic loadings for offshore wind turbines. Ph.D. Thesis, École centrale de Nantes, Nantes, France, 2019. [Google Scholar]
- Cheng, N.; Cassidy, M.J. Combined loading capacity of spudcan footings on loose sand. Int. J. Phys. Model. Geotech. 2016, 16, 31–44. [Google Scholar] [CrossRef]
- Bienen, B.; Byrne, B.W.; Houlsby, G.T.; Cassidy, M.J. Investigating six-degree-of-freedom loading of shallow foundations on sand. Geotechnique 2006, 56, 367–379. [Google Scholar] [CrossRef]
- Houlsby, G.T.; Cassidy, M.J. A plasticity model for the behavior of footings on sand under combined loading. Geotechnique 2002, 52, 117–129. [Google Scholar] [CrossRef]
- Byrne, B.W.; Houlsby, G.T. Observations of footing behavior on loose carbonate sands. Geotechnique 2001, 51, 463–466. [Google Scholar] [CrossRef]
- Mansour, M.A.; Newson, T.; Peterson, C. A mechanistic model for windthrow of trees based on a shallow foundation approximation. Forests 2021. Manuscript in Preparation. [Google Scholar]
- Morgan, J.; Cannell, M.G.R. Shape of tree stems: A re-examination of the uniform stress hypothesis. Tree Physiol. 1994, 14, 49–62. [Google Scholar] [CrossRef]
- Petty, J.A.; Swain, C. Factors influencing stem breakage of conifers in high winds. Forestry 1985, 58, 75–84. [Google Scholar] [CrossRef]
- Grazulis, T.P. The Tornado Nature’s Ultimate Windstorm; University of Oklahoma Press: Oklahoma, OK, USA, 2001; ISBN 0806135387. [Google Scholar]
- Sills, D.M.L.; Kopp, G.A.; Elliott, L.; Jaffe, A.; Sutherland, E.; Miller, C.; Kunkel, J.; Hong, E.; Stevenson, S.; Wang, W. The Northern Tornadoes Project—Uncovering Canada’s true tornado climatology. Bull. Am. Meteorol. Soc. 2020, 1–54. [Google Scholar] [CrossRef]
- ESRI. ArcGIS Desktop: Release 10; ESRI: Redlands, AB, Canada, 2011. [Google Scholar]
- Nicoll, B.C.; Gardiner, B.A.; Rayner, B.; Peace, A.J. Anchorage of coniferous trees in relation to species, soil type and rooting depth. Can. J. For. Res. 2006, 36, 1871–1883. [Google Scholar] [CrossRef]
- Peterson, C.J.; Claassen, V. An evaluation of the stability of Quercus lobata and Populus fremontii on river levees assessed using static winching tests. Forestry 2013, 86, 201–209. [Google Scholar] [CrossRef]
- Vollsinger, S.; Mitchell, S.J.; Byrne, K.E.; Novak, M.D.; Rudnicki, M. Wind tunnel measurements of crown streamlining and drag relationships for several hardwood species. Can. J. For. Res. 2005, 35, 1238–1249. [Google Scholar] [CrossRef]
- Rich, R.L.; Frelich, L.E.; Reich, P.B. Wind-throw mortality in the southern boreal forest: Effects of species, diameter and stand age. J. Ecol. 2007, 95, 1261–1273. [Google Scholar] [CrossRef]
- Bowles, J.E. Foundation Analysis and Design, 5th ed.; The McGraw-Hill Companies: New York, NY, USA, 1996. [Google Scholar]
- Kaniraj, S.R. Design Aids in Soil Mechanics and Foundation Engineering; Tata, McGraw-Hill: New Delhi, India, 1988. [Google Scholar]
- NAVFAC. Soil Mechanics Design Manual 7.01; Naval Facilities Engineering Command: Alexandria, VA, USA, 1986. [Google Scholar]
- Forest Products Laboratory. Wood Handbook—Wood as an Engineering Material; General Technical Report FPL-GTR-113; Department of Agriculture Forest Service, Forest Products Laboratory: Madison, WI, USA, 1999.
- Marshall, T.P. The enhanced Fujita (EF) scale. In Proceedings of the 22nd Conference on Severe Local Storms, Hyannis, MA, USA, 4–8 October 2004. American Meteorological Society. [Google Scholar]
- Rhee, D.M.; Lombardo, F.T.; Kadowaki, J. Semi-automated tree-fall pattern identification using image processing technique: Application to Alonsa, MB tornado. J. Wind Eng. Ind. Aerodyn. 2020. [Google Scholar] [CrossRef]
- Gardiner, B.A.; Stacey, G.R.; Belcher, R.E.; Wood, C.J. Field and wind tunnel assessments of the implications of respacing and thinning for tree stability. Forestry 1997, 70, 233–252. [Google Scholar] [CrossRef]
- Kerzenmacher, T.; Gardiner, B. A mathematical model to decribe the dynamic response of a spruce tree to the wind. Trees 1998, 12, 385–394. [Google Scholar] [CrossRef]
- Peltola, H.; Kellomäki, S.; Väisänen, H. Model computations of the impact of climatic change on the windthrow risk of trees. Clim. Chang. 1999, 41, 17–36. [Google Scholar] [CrossRef]
- Zhu, J.; Matsuzaki, T.; Sakioka, K. Wind speeds within a single crown of Japanese black pine (Pinus thunbergii Parl.). For. Ecol. Manag. 2000, 135, 19–31. [Google Scholar] [CrossRef]
- Neustein, S.A. Windthrow on the margins of various sizes of felling area. In Report on Forest Research for the Year Ended March 1964; Forestry Commission, HMSO: London, UK, 1965; pp. 166–171. [Google Scholar]
- Gardiner, B.; Peltola, H.; Kellomäki, S. Comparison of two models for predicting the critical wind speeds required to damage coniferous trees. Ecol. Model. 2000, 129, 1–23. [Google Scholar] [CrossRef]
- Gardiner, B.; Blennow, K.; Carnus, J.-M.; Fleischer, P.; Ingemarson, F.; Landmann, G.; Lindner, M.; Marzano, M.; Nocoll, B.; Orazio, C.; et al. Destructive Storms in European Forests: Past and Forthcoming Impacts; Final Report to European Commission DG Environment; European Forest Institute: Joensuu, Finland, 2010. [Google Scholar]
- Mitchell, S. A diagnostic framework for windthrow risk estimation. For. Chron. 1998, 74, 100–105. [Google Scholar] [CrossRef]
- Miller, K.F. Windthrow Hazard Classification; Forestry Commission Leaflet 85; HMSO: London, UK, 1985.
- Haan, F.L.; Balaramudu, V.K.; Sarkar, P.P. Tornado-Induced Wind Loads on a Low-Rise Building. J. Struct. Eng. 2010, 136, 106–116. [Google Scholar] [CrossRef]
- Miller, M.D.; Wong, J.C. Guidelines for Electrical Transmission Line Structural Loading, 3rd ed.; American Society of Civil Engineers: Washington, DC, USA, 2010. [Google Scholar]
- Wittingham, H.E. Extreme Wind Gusts in Australia. In Commonwealth Australian Bureau of Meteorology; Bulletin: Sydney, Australia, 1964; Volume 46. [Google Scholar]
- Canadian Commission on Buildings and Fire Codes, National Research Council of Canada. User’s Guide—NBC 2010: Structural Commentaries (Part 4); National Research Council of Canada (NRC): Ottawa, ON, Canada, 2010.
- Elsner, J.B.; Jagger, T.H.; Widen, H.M.; Chavas, D.R. Daily tornado frequency distributions in the United States. Environ. Res. Lett. 2014, 9, 024018. [Google Scholar] [CrossRef][Green Version]
- Elsner, J.B.; Fricker, T.; Schroder, Z. Increasingly powerful tornadoes in the United States. Geophys. Res. Lett. 2018, 46, 392–398. [Google Scholar] [CrossRef]
- Diffenbaugh, N.S.; Scherer, M.; Trapp, R.J. Robust increases in severe thunderstorm environments in response to greenhouse forcing. Proc. Natl. Acad. Sci. USA 2013, 110, 16361–16366. [Google Scholar] [CrossRef] [PubMed]
- Peterson, C.J.; Cannon, J.B.; Godfrey, C.M. First steps toward defining the wind disturbance regime in central hardwoods forests. In Natural Disturbances and Historic Range of Variation—Part of the Managing Forest Ecosystems Book Series; Greenberg, C.H., Collins, B.S., Eds.; Springer: New York, NY, USA, 2015; Volume 32, pp. 89–122. [Google Scholar]
- Frelich, L.E. Forest Dynamics and Disturbance Regimes: Studies from Temperate Evergreen-Deciduous Forests; Cambridge University Press: New York, NY, USA, 2002. [Google Scholar]
- Canham, C.D.; Papaik, M.J.; Latty, E.F. Interspecific variation in susceptibility to windthrow as a function of tree size and storm severity for northern temperate tree species. Can. J. For. Res. 2001, 31, 1–10. [Google Scholar] [CrossRef]
- Fan, F.; Pang, W. Stochastic track model for tornado risk assessment in the U.S. Front. Built Environ. 2019, 5:37, 1–18. [Google Scholar] [CrossRef]
- Peterson, E.B.; Peterson, N.M. Ecology, Management, and Use of Aspen and Balsam Poplar in the Prairie Provinces; Special Report 1; Forestry Canada, Northwest Region, Northern Forestry Center: Edmonton, AB, Canada, 1992.
- Kamimura, K.; Kitagawa, K.; Saito, S.; Mizunaga, H. Root anchorage of hinoki (Chamaecyparis obtuse (Sieb. Et Zucc.) Endl.) under the combined loading of wind and rapidly supplied water on soil: Analyses based on tree-pulling experiments. Eur. J. For. Res. 2012, 131, 219–227. [Google Scholar] [CrossRef]
- Talkkari, A.; Peltola, H.; Kellomäki, S.; Strandman, H. Integration of component models from tree, stand and regional levels to assess the risk of wind damage at forest margins. For. Ecol. Manag. 2000, 135, 303–313. [Google Scholar] [CrossRef]
- Godfrey, C.M.; Peterson, C.J. Estimating enhanced Fujita scale levels based on forest damage severity. Weather Forecast. 2017, 32, 243–252. [Google Scholar] [CrossRef]
- Coutts, M.P. Components of tree stability in Sitka spruce on peaty gley soil. Forestry 1986, 59, 173–197. [Google Scholar] [CrossRef]
- Schenkman, A.D.; Xue, M.; Hu, M. Tornadogenesis in a high-resolution simulation of the 8 May 2003 Oklahoma City supercell. J. Atmos. Sci. 2014, 71, 130–154. [Google Scholar] [CrossRef]
- Rudnicki, M.; Silins, U.; Lieffers, V.J.; Josi, G. Measure of simultaneous tree sways and estimation of crown interactions among a group of trees. Trees 2001, 15, 83–90. [Google Scholar] [CrossRef]
- Webb, V.A.; Rudnicki, M.; Muppa, S.K. Analysis of tree sway and crown collisions for managed Pinus resinosa in southern Maine. For. Ecol. Manag. 2013, 302, 193–199. [Google Scholar] [CrossRef]











Publisher’s Note: MDPI stays neutral with regard to jurisdictional claims in published maps and institutional affiliations. |
© 2020 by the authors. Licensee MDPI, Basel, Switzerland. This article is an open access article distributed under the terms and conditions of the Creative Commons Attribution (CC BY) license (http://creativecommons.org/licenses/by/4.0/).
Share and Cite
Mansour, M.A.; Rhee, D.M.; Newson, T.; Peterson, C.; Lombardo, F.T. Estimating Wind Damage in Forested Areas Due to Tornadoes. Forests 2021, 12, 17. https://doi.org/10.3390/f12010017
Mansour MA, Rhee DM, Newson T, Peterson C, Lombardo FT. Estimating Wind Damage in Forested Areas Due to Tornadoes. Forests. 2021; 12(1):17. https://doi.org/10.3390/f12010017
Chicago/Turabian StyleMansour, Mohamed A., Daniel M. Rhee, Timothy Newson, Chris Peterson, and Franklin T. Lombardo. 2021. "Estimating Wind Damage in Forested Areas Due to Tornadoes" Forests 12, no. 1: 17. https://doi.org/10.3390/f12010017
APA StyleMansour, M. A., Rhee, D. M., Newson, T., Peterson, C., & Lombardo, F. T. (2021). Estimating Wind Damage in Forested Areas Due to Tornadoes. Forests, 12(1), 17. https://doi.org/10.3390/f12010017

