Effects of Experimental Throughfall Exclusion on Soil Respiration in a Continental Coniferous Stand, South Korea
Abstract
1. Introduction
2. Materials and Methods
2.1. Site Description
2.2. Experimental Design
2.3. Soil Physicochemical Properties
2.4. Tree Growth
2.5. Soil Moisture and Soil Temperature
2.6. Soil CO₂ Measurement
2.7. Microbial Activity
2.8. Data Analysis
3. Results
3.1. Effects of Throughfall Exclusion on Soil Physicochemical Properties
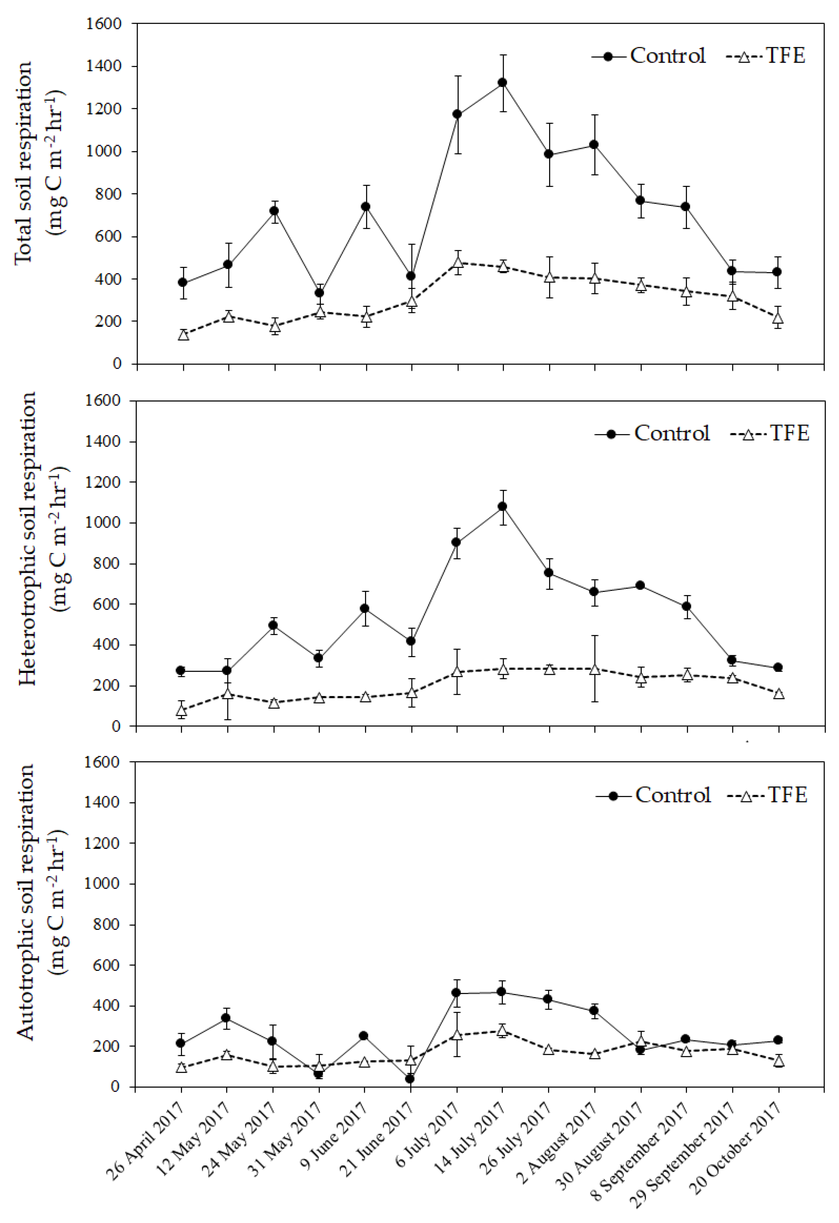
3.2. Seasonal Variation in Soil Moisture, Soil Temperature, and Soil Respiration
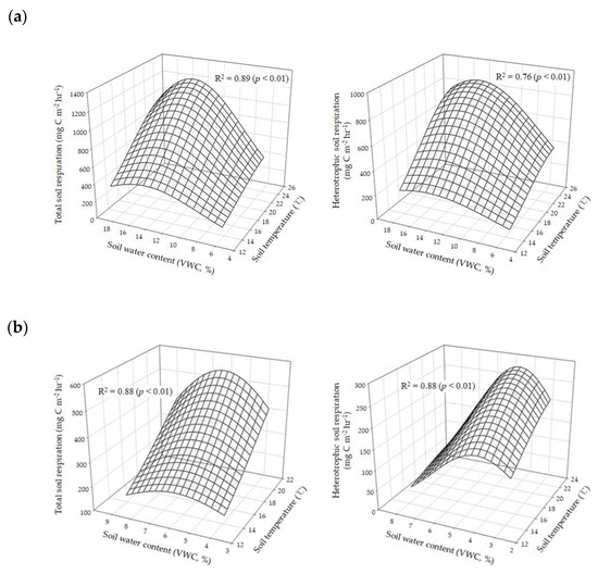
3.3. Effects of Throughfall Exclusion on the Relationship between Soil CO2 Efflux, Soil Temperature, and Soil Moisture
3.4. Effects of Drought on Soil Bacterial Community Diversity
3.5. Experimental Drought Impacts on Sapling Growth
4. Discussion
5. Conclusions
Author Contributions
Funding
Acknowledgments
Conflicts of Interest
References
- IPCC. Climate Change 2014: Synthesis Report; Contribution of Working Groups I, II and III to the Fifth Assessment Report of the Intergovernmental Panel on Climate Change; Core Writing Team, Pachauri, R., Meyer, L., Eds.; IPCC: Geneva, Switzerland, 2014. [Google Scholar]
- Bond-Lamberty, B.; Thomson, A. Temperature-associated increases in the global soil respiration record. Nature 2010, 464, 579–582. [Google Scholar] [CrossRef] [PubMed]
- Lellei-Kovács, E.; Botta-Dukát, Z.; Dato, G.d.; Estiarte, M.; Guidolotti, G.; Kopittke, G.R.; Kovács-Láng, E.; Kröel-Dulay, G.; Larsen, K.S.; Peñuelas, J. Temperature dependence of soil respiration modulated by thresholds in soil water availability across European shrubland ecosystems. Ecosystems 2016, 19, 1–18. [Google Scholar] [CrossRef]
- Eom, J.Y.; Jeong, S.H.; Chun, J.H.; Lee, J.H.; Lee, J.S. Long-term characteristics of soil respiration in a Korean cool-temperate deciduous forest in a monsoon climate. Anim. Cells. Syst. 2018, 22, 100–108. [Google Scholar] [CrossRef]
- Jeong, S.H.; Eom, J.Y.; Park, J.Y.; Lee, J.H.; Lee, J.S. Characteristics of accumulated soil carbon and soil respiration in temperate deciduous forest and alpine pastureland. J. Ecol. Environ. 2018, 42, 3. [Google Scholar] [CrossRef]
- Dixon, R.K.; Solomon, A.M.; Brown, S.; Houghton, R.A.; Trexier, M.C.; Wisniewski, J. Carbon pools and flux of global forest ecosystems. Science 1994, 263, 185–190. [Google Scholar] [CrossRef] [PubMed]
- Jiang, H.; Deng, Q.; Zhou, G.; Hui, D.; Zhang, D.; Liu, S.; Chu, G.; Li, J. Responses of soil respiration and its temperature/moisture sensitivity to precipitation in three subtropical forests in southern China. Biogeosciences 2013, 10, 3963–3982. [Google Scholar] [CrossRef]
- Raich, J.W.; Schlesinger, W.H. The global carbon dioxide flux in soil respiration and its relationship to vegetation and climate. Tellus B 1992, 44, 81–99. [Google Scholar] [CrossRef]
- Hinko-Najera, N.; Fest, B.; Livesley, S.J.; Arndt, S. Reduced throughfall decreases autotrophic respiration: But not heterotrophic respiration in a dry temperate broadleaved evergreen forest. Agric. For. Meteorol. 2015, 200, 66–77. [Google Scholar] [CrossRef]
- ArchMiller, A.A.; Samuelson, L.J. Intra-annual variation of soil respiration across four heterogeneous longleaf pine forests in the southeastern United States. For. Ecol. Manag. 2016, 359, 370–380. [Google Scholar] [CrossRef]
- Noh, N.J.; Kuribayashi, M.; Saitoh, T.M.; Nakaji, T.; Nakamura, M.; Hiura, T.; Muraoka, H. Responses of soil, heterotrophic, and autotrophic respiration to experimental open-field soil warming in a cool-temperate deciduous forest. Ecosystems 2015, 19, 504–520. [Google Scholar] [CrossRef]
- Xu, X.; Shi, Z.; Li, D.; Zhou, X.; Sherry, R.A.; Luo, Y. Plant community structure regulates responses of prairie soil respiration to decadal experimental warming. Glob. Chang. Biol. 2015, 21, 3846–3853. [Google Scholar] [CrossRef] [PubMed]
- Borken, W.; Savage, K.; Davidson, E.A.; Trumbore, S.E. Effects of experimental drought on soil respiration and radiocarbon efflux from a temperate forest soil. Glob. Chang. Biol. 2006, 12, 177–193. [Google Scholar] [CrossRef]
- Sotta, E.D.; Veldkamp, E.; Schwendenmann, L.; Guimarães, B.R.; Paixão, R.K.; Ruivo, M.D.L.P.; Lola da Costa, A.C.; Meir, P. Effects of an induced drought on soil carbon dioxide (CO2) efflux and soil CO2 production in an Eastern Amazonian rainforest, Brazil. Glob. Chang. Biol. 2007, 13, 2218–2229. [Google Scholar] [CrossRef]
- Cleveland, C.C.; Wieder, W.R.; Reed, S.C.; Townsend, A.R. Experimental drought in a tropical rain forest increases soil carbon dioxide losses to the atmosphere. Ecology 2010, 91, 2313–2323. [Google Scholar] [CrossRef] [PubMed]
- van Straaten, O.; Veldkamp, E.; Corre, M.D. Simulated drought reduces soil CO2 efflux and production in a tropical forest in Sulawesi, Indonesia. Ecosphere 2011, 2, 1–22. [Google Scholar] [CrossRef]
- Doughty, C.E.; Metcalfe, D.B.; Girardin, C.A.; Amezquita, F.F.; Cabrera, D.G.; Huasco, W.H.; Silva-Espejo, J.E.; Araujo-Murakami, A.; da Costa, M.C.; Rocha, W.; et al. Drought impact on forest carbon dynamics and fluxes in Amazonia. Nature 2015, 519, 78–82. [Google Scholar] [CrossRef]
- Suseela, V.; Dukes, J.S. The responses of soil and rhizosphere respiration to simulated climatic changes vary by season. Ecology 2013, 94, 403–413. [Google Scholar] [CrossRef]
- Zhang, X.; Zhang, Y.; Sha, L.; Wu, C.; Tan, Z.; Song, Q.; Liu, Y.; Dong, L. Effects of continuous drought stress on soil respiration in a tropical rainforest in southwest China. Plant Soil 2015, 394, 343–353. [Google Scholar] [CrossRef]
- Hanson, P.J.; Edwards, N.T.; Garten, C.T.; Andrews, J.A. Separating root and soil microbial contributions to soil respiration: A review of methods and observations. Biogeochemistry 2000, 48, 115–146. [Google Scholar] [CrossRef]
- Janssens, I.A.; Crookshanks, M.; Taylor, G.; Ceulemans, R. Elevated atmospheric CO2 increases fine root production, respiration, rhizosphere respiration and soil CO2 efflux in Scots pine seedlings. Glob. Chang. Biol. 1998, 4, 871–878. [Google Scholar] [CrossRef]
- Bardgett, R.D.; Freeman, C.; Ostle, N.J. Microbial contributions to climate change through carbon cycle feedbacks. ISME J. 2008, 2, 805–814. [Google Scholar] [CrossRef] [PubMed]
- Wang, Y.; Hao, Y.; Cui, X.Y.; Zhao, H.; Xu, C.; Zhou, X.; Xu, Z. Responses of soil respiration and its components to drought stress. J. Soils Sediments 2014, 14, 99–109. [Google Scholar] [CrossRef]
- Huang, S.; Ye, G.; Lin, J.; Chen, K.; Xu, X.; Ruan, H.; Tan, F.; Chen Han, Y.H. Autotrophic and heterotrophic soil respiration responds asymmetrically to drought in a subtropical forest in the Southeast China. Soil Biol. Biochem. 2018, 123, 242–249. [Google Scholar] [CrossRef]
- Jing, Y.; Wang, Y.; Liu, S.; Zhang, X.; Wang, Q.; Liu, K.; Yin, Y.; Deng, J. Interactive effects of soil warming, throughfall reduction, and root exclusion on soil microbial community and residues in warm-temperate oak forests. Appl. Soil Ecol. 2019, 142, 52–58. [Google Scholar] [CrossRef]
- Wan, S.; Norby, R.J.; Ledford, J.; Weltzin, J.F. Responses of soil respiration to elevated CO2, air warming, and changing soil water availability in a model old-field grassland. Glob. Chang. Biol. 2007, 13, 2411–2424. [Google Scholar] [CrossRef]
- Selsted, M.B.; van der Linden, L.; Ibrom, A.; Michelsen, A.; Larsen, K.S.; Pedersen, J.K.; Mikkelsen, T.N.; Pilegaard, K.; Beier, C.; Ambus, P. Soil respiration is stimulated by elevated CO2 and reduced by summer drought: Three years of measurements in a multifactor ecosystem manipulation experiment in a temperate heathland (CLIMAITE). Glob. Chang. Biol. 2012, 18, 1216–1230. [Google Scholar] [CrossRef]
- Brüggemann, N.; Gessler, A.; Kayler, Z.E.; Keel, S.; Badeck, F.W.; Barthel, M.; Boeckx, P.; Buchmann, N.; Brugnoli, E.; Esperschütz, J.; et al. Carbon allocation and carbon isotope fluxes in the plant–soil–atmosphere continuum: A review. Biogeosciences 2011, 8, 3457–3489. [Google Scholar] [CrossRef]
- Hopkins, F.; Gonzales-Meler, M.A.; Flower, C.E.; Lynch, D.J.; Czimczik, C.; Tang, J.; Subke, J.A. Ecosystem-level controls on root-rhizosphere respiration. New Phytol. 2013, 199, 339–351. [Google Scholar] [CrossRef]
- Yahdjian, L.; Sala, O.E. A rainout shelter design for intercepting different amounts of rainfall. Oecologia 2002, 133, 95–101. [Google Scholar] [CrossRef]
- Muhr, J.; Borken, W. Delayed recovery of soil respiration after wetting of dry soil further reduces C losses from a Norway spruce forest soil. J. Geophys. Res. 2009, 114, 1088. [Google Scholar] [CrossRef]
- Kopittke, G.R.; Tietema, A.; van Loon, E.E.; Asscheman, D. Fourteen annually repeated droughts suppressed autotrophic soil respiration and resulted in an ecosystem change. Ecosystems 2014, 17, 242–257. [Google Scholar] [CrossRef]
- Schlesinger, W.H. Carbon balance in terrestrial detritus. Annu. Rev. Ecol. Syst. 1977, 8, 51–81. [Google Scholar] [CrossRef]
- Singh, J.S.; Gupta, S.R. Plant decomposition and soil respiration in terrestrial ecosystems. Bot. Rev. 1977, 43, 449–528. [Google Scholar] [CrossRef]
- Raich, J.W.; Tufekcioglu, A. Vegetation and soil respiration: Correlations and controls. Biogeochemistry 2000, 48, 71–90. [Google Scholar] [CrossRef]
- Grace, J.; Berninger, F.; Nagy, L. Impacts of Climate Change on the Tree Line. Ann. Bot. 2002, 90, 537–544. [Google Scholar] [CrossRef]
- Kang, S.; Doh, S.; Lee, D.; Lee, D.; Jin, V.L.; Kimball, J.S. Topographic and climatic controls on soil respiration in six temperate mixed-hardwood forest slopes, Korea. Glob. Chang. Biol. 2003, 9, 1427–1437. [Google Scholar] [CrossRef]
- Lee, E.H.; Lim, J.H.; Lee, J.S. A Review on Soil Respiration Measurement and Its Application in Korea. Korean J. Agric. For. Meteorol. 2010, 12, 262–276, (In Korean with English abstract). [Google Scholar]
- Lee, M.S.; Nakane, K.; Nakatsubo, T.; Koizumi, H. Seasonal changes in the contribution of root respiration to total soil respiration in a cool-temperate deciduous forest. Plant Soil 2003, 255, 311–318. [Google Scholar] [CrossRef]
- Petritan, A.M.; Von Lüpke, B.; Petritan, I.C. Effects of shade on growth and mortality of maple (Acer pseudoplatanus), ash (Fraxinus excelsior) and beech (Fagus sylvatica) saplings. Forestry 2007, 80, 397–412. [Google Scholar] [CrossRef]
- Rochette, P.; Ellert, B.; Gregorich, E.G.; Desjardins, R.L.; Pattey, E.; Lessard, R.; Johnson, B.G. Description of a dynamic closed chamber for measuring soil respiration and its comparison with other techniques. Can. J. Soil Sci. 1997, 77, 195–203. [Google Scholar] [CrossRef]
- Shannon, C.E.; Weaver, W. The Mathematical Theory of Communication. Bell Syst. Tech. J. 1949, 27, 379–423. [Google Scholar] [CrossRef]
- Pielou, E.C. The measurement of diversity in different types of biological collections. J. Theor. Biol. 1966, 13, 131–144. [Google Scholar] [CrossRef]
- National Institute of Forest Science. Evaluation Report of Forest Health Vitality; National Institute of Forest Science: Seoul, Korea, 2016; p. 77. (In Korean) [Google Scholar]
- Williams, C.H. Soil acidification under clover pasture. Aust. J. Exp. Agric. 1980, 64, 561–567. [Google Scholar] [CrossRef]
- Helyar, K.R.; Porter, W.M. Soil acidification, its measurement and the processes involved. In Soil Acidity and Plant Growth; Robson, A.D., Ed.; Academic Press Australia: Sydney, Australia, 1989; pp. 61–101. [Google Scholar]
- Shaw, P.A.; Bryant, R.G. Playas, pans and salt lakes. In Arid Zone Geomorphology: Process, Form and Change in Drylands; Thomas, D.S.G., Ed.; John Wiley & Sons, Ltd.: Chichester, UK, 2011; pp. 373–401. [Google Scholar]
- Bolan, N.S.; Hedley, M.J.; White, R.E. Processes of soil acidification during nitrogen cycling with emphasis on legume based pastures. Plant Soil 1991, 134, 53–63. [Google Scholar] [CrossRef]
- Tang, C.; Yu, Q. Impact of chemical composition of legume residues and initial soil pH on pH change of a soil after residue incorporation. Plant Soil 1999, 215, 29–38. [Google Scholar] [CrossRef]
- Chapin, F.S., III. The mineral nutrition of wild plants. Annu. Rev. Ecol. Syst. 1980, 11, 233–260. [Google Scholar] [CrossRef]
- Aerts, R.; Chapin, F.S., III. The mineral nutrition of wild plants revisited: A re-evaluation of processes and patterns. Adv. Ecol. Res. 1999, 30, 1–67. [Google Scholar]
- Elser, J.J.; Bracken, M.E.S.; Cleland, E.E.; Gruner, D.S.; Harpole, W.S.; Hillebrand, H.; Ngai, J.T.; Seabloom, E.W.; Shurin, J.B.; Smith, J.E. Global analysis of nitrogen and phosphorus limitation of primary producers in freshwater, marine and terrestrial ecosystems. Ecol. Lett. 2007, 10, 1135–1142. [Google Scholar] [CrossRef]
- Reich, P.B.; Oleksyn, J. Global patterns of plant leaf N and P in relation to temperature and latitude. Proc. Natl. Acad. Sci. USA 2004, 101, 11001–11006. [Google Scholar] [CrossRef]
- Davidson, E.A.; Belk, E.; Boon, R.D. Soil water content and temperature as independent or confounded factors controlling soil respiration in a temperature mixed hardwood forest. Glob. Chang. Biol. 1998, 4, 217–227. [Google Scholar] [CrossRef]
- Sheik, C.S.; Beasley, W.H.; Elshahed, M.S.; Zhou, X.; Luo, Y.; Krumholz, L.R. Effect of warming and drought on grassland microbial communities. ISME J. 2011, 5, 1692–1700. [Google Scholar] [CrossRef] [PubMed]
- Lavine, M.B.; Foster, R.J.; Goodine, G. Seasonal and annual changes in soil respiration in relation to soil temperature, water potential and trenching. Tree Physiol. 2004, 24, 415–424. [Google Scholar] [CrossRef] [PubMed]
- Li, Y.Q.; Xu, M.; Zou, X.M.; Xia, Y. Soil CO2 efflux and fungal and bacterial biomass in a plantation and a secondary forest in wet tropics in Puerto Rico. Plant Soil 2005, 268, 151–160. [Google Scholar] [CrossRef]
- Wang, W.J.; Zu, Y.G.; Wang, H.M.; Hirano, T.; Takagi, K.; Sasa, K.; Koike, T. Effect of collar insertion on soil respiration in a larch forest measured with a LI-6400 soil CO2 flux system. J. For. Res. 2005, 10, 57–60. [Google Scholar] [CrossRef]
- Fisher, R.A.; Williams, M.; Lola da Costa, A.; Malhi, Y.; Costa, R.F.; Almeida, S.; Meir, P. The response of an Eastern Amazonian rain forest to drought stress: Results and modelling analyses from a through-fall exclusion experiment. Glob. Chang. Biol. 2007, 13, 2361–2378. [Google Scholar] [CrossRef]
- Salamanca, E.F.; Kaneko, N.; Katagiri, S. Rainfall manipulation effects on litter decomposition and the microbial biomass of the forest floor. Appl. Soil. Ecol. 2003, 22, 271–281. [Google Scholar] [CrossRef]
- Goulden, M.L.; Munger, J.M.; Fan, S.M.; Daube, B.C.; Wofsy, S.C. Exchange of carbon dioxide by a deciduous forest: Response to interannual climate variability. Science 1996, 271, 1576–1578. [Google Scholar] [CrossRef]
- Cook, F.J.; Orchard, V.A. Relationships between soil respiration and soil moisture. Soil Biol. Biochem. 2008, 40, 1013–1018. [Google Scholar] [CrossRef]
- Miao, Y.; Hongyan, H.; Yue, D.; Qian, Z.; Lin, J.; Dafeng, H.; Shiqiang, W. Nonlinear responses of soil respiration to precipitation changes in a semiarid temperate steppe. Sci. Rep. 2017, 7, 45782. [Google Scholar] [CrossRef]
- Lee, Y.Y.; Mun, H.T. A study on the soil respiration in a Quercus acutissima forest. J. Ecol. Field. Biol. 2001, 24, 141–147. [Google Scholar]
- Yuste, J.C.; Janssens, I.A.; Carrara, A.; Meiresonne, L.; Ceulemans, R. Interactive effects of temperature and precipitation on soil respiration in a temperate maritime pine forest. Tree Physiol. 2003, 23, 1263–1270. [Google Scholar] [CrossRef] [PubMed]
- Suseela, V.; Conant, R.T.; Wallenstein, M.D.; Dukes, J.S. Effects of soil moisture on the temperature sensitivity of heterotrophic respiration vary seasonally in an old-field climate change experiment. Glob. Chang. Biol. 2012, 18, 336–348. [Google Scholar] [CrossRef]
- Jia, B.; Zhou, G.; Wang, Y.; Wang, F.; Wang, X. Effects of temperature and soil water-content on soil respiration of grazed and ungrazed Leymus chinensis steppes, Inner Mongolia. J. Arid. Environ. 2006, 67, 60–76. [Google Scholar] [CrossRef]









| Plots with No Trench | Plots with Trench | |||
|---|---|---|---|---|
| Control (CC; n = 14) | TFE * (TC; n = 14) | Control (CT; n = 14) | TFE * (TT; n = 14) | |
| Soil water content (%) | 13.9 ± 1.0 | 5.6 ± 0.3 | 13.9 ± 0.8 | 5.0 ± 0.3 | 
| Soil temperature (°C) | 17.9 ± 1.0 | 17.4 ± 0.8 | 17.9 ± 1.0 | 17.5 ± 0.7 | 
| Soil Physical/ Chemical Characteristics | Treatment/Sampling Day | |||||
|---|---|---|---|---|---|---|
| Control Plot (n = 3) | TFE Plot (n = 3) | |||||
| 11 August 2016 | 8 September 2017 | 11 August 2016 | 8 September 2017 | |||
| Sand (%) | 45.2 ± 4.7 | 45.6 ± 4.2 | 42.4 ± 1.5 | 42.2 ± 3.1 | ||
| Silt (%) | 42.3 ± 4 | 42.3 ± 3.2 | 44.2 ± 1.4 | 44.6 ± 3.0 | ||
| Clay (%) | 12.5 ± 0.7 | 12.1 ± 1.1 | 13.4 ± 0.1 | 13.2 ± 0.3 | ||
| Soil texture | L or SL | L or SL | L | SiL or L | ||
| pH | 5.2 ± 0.1 | 5 ± 0.1 | 5.2 ± 0.0 | 4.9 ± 0.0 | ||
| Organic matter (mg/kg) | 6.21 ± 1.48 | 6.36 ± 0.80 | 6.88 ± 0.62 | 6.87 ± 0.5 | ||
| N (mg/kg) | 0.23 ± 0.04 | 0.70 ± 0.36 | 0.25 ± 0.02 | 0.38 ± 0.03 | ||
| P (mg/kg) | 22.3 ± 3.5 | 15.6 ± 3.9 | 11.7 ± 1.5 | 11.6 ± 1.0 | ||
| CEC (cmol/kg) | 14.5 ± 1.9 | 13.8 ± 1.0 | 14.7 ± 0.2 | 14.2 ± 0.6 | ||
| Exchangeable cation (cmol/kg) | K+ | 0.23 ± 0.03 | 0.11 ± 0.01 | 0.2 ± 0.01 | 0.14 ± 0.00 | |
| Na+ | 0.04 ± 0.00 | 0.05 ± 0.00 | 0.04 ± 0.00 | 0.06 ± 0.00 | ||
| Ca2+ | 0.93 ± 0.25 | 1.29 ± 0.10 | 1.16 ± 0.25 | 1.56 ± 0.19 | ||
| Mg2+ | 0.12 ± 0.05 | 0.22 ± 0.01 | 0.14 ± 0.06 | 0.21 ± 0.04 | ||
| Year | Month | Precipitation (mm) | Air Temperature (°C) | Control | Throughfall Exclusion | ||||||
|---|---|---|---|---|---|---|---|---|---|---|---|
| Soil Depth (cm) | |||||||||||
| 10 | 30 | 10 | 30 | 10 | 30 | 10 | 30 | ||||
| Soil Temperature (°C) | Soil Moisture (%) | Soil Temperature (°C) | Soil Moisture (%) | ||||||||
| 2016 | July ** | 151.3 | 21.6 ± 0.6 | 20.9 ± 0.5 | 20.3 ± 0.2 | 22.3 ± 1.3 | 25.0 ± 0.9 | 21.6 ± 0.4 | 20.5 ± 0.3 | 18 ± 1.1 | 22.8 ± 0.8 | 
| August | 51.7 | 23.2 ± 0.9 | 23.5 ± 0.6 | 22.5 ± 0.3 | 28.3 ± 0.6 | 24.0 ± 0.5 | 23.7 ± 0.5 | 22.4 ± 0.3 | 9.2 ± 0.4 | 18.0 ± 0.3 | |
| September | 128.1 | 18.6 ± 0.4 | 19.7 ± 0.3 | 19.5 ± 0.2 | 32 ± 0.6 | 24.8 ± 0.5 | 20.3 ± 0.2 | 19.7 ± 0.2 | 6.6 ± 0.1 | 15.0 ± 0.2 | |
| October | 86.6 | 12.8 ± 0.7 | 15.0 ± 0.4 | 15.8 ± 0.3 | 32.8 ± 0.4 | 24.7 ± 0.2 | 16.1 ± 0.4 | 16.5 ± 0.3 | 5.2 ± 0.1 | 13.5 ± 0.1 | |
| November | 18.8 | 4.7 ± 1.1 | 8.9 ± 0.3 | 10.7 ± 0.2 | 33.1 ± 0.2 | 24.1 ± 0.1 | 10.7 ± 0.2 | 11.8 ± 0.2 | 2.6 ± 0.3 | 12.9 ± 0.1 | |
| 2017 | March | 15.9 | 2.3 ± 0.8 | 3.8 ± 0.6 | 3.8 ± 0.4 | 29.8 ± 0.5 | 21.4 ± 0.3 | 5.6 ± 0.6 | 5.2 ± 0.4 | 4.9 ± 0.1 | 14.8 ± 0.2 | 
| April | 54.8 | 11.6 ± 0.4 | 11.1 ± 0.2 | 9.6 ± 0.2 | 32.3 ± 0.4 | 23.5 ± 0.3 | 11.9 ± 0.2 | 10.1 ± 0.2 | 6.1 ± 0.1 | 15.6 ± 0.2 | |
| May | 32.3 | 15.2 ± 0.5 | 17.4 ± 0.9 | 13.5 ± 0.2 | 16.3 ± 2.0 | 18.6 ± 0.3 | 14.4 ± 0.2 | 13.1 ± 0.2 | 5.5 ± 0.1 | 15.1 ± 0.2 | |
| June | 32.5 | 19.5 ± 0.7 | 18.5 ± 0.4 | 16.3 ± 0.3 | 11.8 ± 1.0 | 13.7 ± 0.5 | 17.6 ± 0.3 | 15.8 ± 0.3 | 3.2 ± 0.0 | 13.0 ± 0.1 | |
| July | 520 | 24 ± 0.3 | 22.7 ± 0.2 | 22.0 ± 0.1 | 31.8 ± 1.2 | 25.8 ± 0.2 | 21.5 ± 0.1 | 19.9 ± 0.1 | 6.4 ± 0.1 | 17.6 ± 0.1 | |
| August | 346.4 | 28.1 ± 1.1 | 22.4 ± 0.4 | 22.2 ± 0.2 | 22.3 ± 0.5 | 25.3 ± 0.3 | 22.2 ± 0.4 | 21.0 ± 0.2 | 10.7 ± 0.4 | 19.2 ± 0.4 | |
| September | 39.8 | 24.3 ± 2.1 | 19.0 ± 0.5 | 19.2 ± 0.3 | 18.3 ± 0.7 | 22.7 ± 0.4 | 19.3 ± 0.4 | 18.7 ± 0.3 | 11.1 ± 0.3 | 20.3 ± 0.5 | |
| October | 34.4 | 14.4 ± 0.7 | 15.4 ± 0.2 | 16.1 ± 0.2 | 15.2 ± 0.1 | 21.2 ± 0.1 | 16.2 ± 0.2 | 16.0 ± 0.2 | 9.2 ± 0.1 | 16.7 ± 0.1 | |
| Total | 1512.6 | ||||||||||
| Mean | 16.6 ± 0.6 | 16.7 ± 0.4 | 16.1 ± 0.4 | 26.2 ± 0.6 a,* | 22.8 ± 0.2 a,b,* | 16.9 ± 0.4 | 16.1 ± 0.3 | 7 ± 0.2 c,* | 16 ± 0.2 d,* | ||
| RS (Avg. ± S.E.) | Equation (5) | Equation (6) | |||||||
|---|---|---|---|---|---|---|---|---|---|
| Plot | R2 | p | AICC | R2 | p | AICC | Q10 | ||
| Control | SR | 707.61 ± 82.05 | 0.89 | <0.01 | 5.5 | 0.61 | <0.001 | 180.8 | 2.48 | 
| HR | 543.86 ± 64.57 | 0.76 | <0.01 | 8.1 | 0.66 | <0.001 | 173.0 | 2.51 | |
| AR | 263.39 ± 34.47 | 0.31 | <0.001 | 164.5 | 2.20 | ||||
| TFE | SR | 307.69 ± 27.47 | 0.88 | <0.01 | −21 | 0.82 | <0.001 | 148.3 | 2.86 | 
| HR | 201.43 ± 17.89 | 0.88 | <0.01 | −21.9 | 0.74 | <0.001 | 136.5 | 2.69 | |
| AR | 165.84 ± 14.66 | 0.43 | <0.001 | 148.0 | 2.14 | ||||
| Year | Plot | H’ | e | ACE | Chao1 | ACE (%) * | Chao1 (%) * | 
|---|---|---|---|---|---|---|---|
| 2016 | Control | 6.57 | 0.75 | 130,024 | 3945 | ||
| TFE | 6.77 | 0.77 | 131,987 | 6214 | +1.51 | +57.52 | |
| 2017 | Control | 6.59 | 0.75 | 121,975 | 3647 | ||
| TFE | 6.81 | 0.77 | 117,396 | 5743 | −3.75 | +57.47 | 
© 2020 by the authors. Licensee MDPI, Basel, Switzerland. This article is an open access article distributed under the terms and conditions of the Creative Commons Attribution (CC BY) license (http://creativecommons.org/licenses/by/4.0/).
Share and Cite
Kim, I.; Chae, H.M.; Choi, B. Effects of Experimental Throughfall Exclusion on Soil Respiration in a Continental Coniferous Stand, South Korea. Forests 2020, 11, 972. https://doi.org/10.3390/f11090972
Kim I, Chae HM, Choi B. Effects of Experimental Throughfall Exclusion on Soil Respiration in a Continental Coniferous Stand, South Korea. Forests. 2020; 11(9):972. https://doi.org/10.3390/f11090972
Chicago/Turabian StyleKim, Ikhyun, Hee Mun Chae, and Byoungkoo Choi. 2020. "Effects of Experimental Throughfall Exclusion on Soil Respiration in a Continental Coniferous Stand, South Korea" Forests 11, no. 9: 972. https://doi.org/10.3390/f11090972
APA StyleKim, I., Chae, H. M., & Choi, B. (2020). Effects of Experimental Throughfall Exclusion on Soil Respiration in a Continental Coniferous Stand, South Korea. Forests, 11(9), 972. https://doi.org/10.3390/f11090972
 
        
 
       