A Mathematical Solution for Calculating the Springback of Laminated Beech Stacks Molded within the Elastic Range
Abstract
1. Introduction
2. Materials and Methods
3. Results
3.1. Characterization of the Material Properties of Beech
3.2. Radius Impact to Springback
3.3. Elasticity Value
3.4. Number of Laminations and Springback
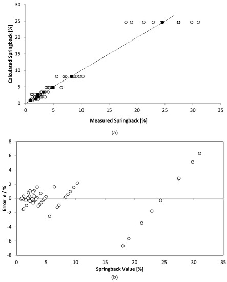
3.5. Mathematical Solution
R2 ≈ 0.94
4. Discussion
5. Conclusions
- Radii are not important if the springback is given in percent;
- There is a linear correlation between the springback value and elasticity value;
- Elasticity value and springback are exponentially linked by the number of laminations;
- The springback is independent of the thickness of the laminations;
- For an increase in the number of laminations, the springback value decreases;
- The proposed polynomial functions are statistically proven and can be used to calculate the springback.
Author Contributions
Funding
Acknowledgments
Conflicts of Interest
References
- Chatti, S.; Hermes, M.; Weinrich, A.; Ben-Khalifa, N.; Tekkaya, A.E. New Incremental Methods for Springback Compensation by Stress Superposition. Int. J. Mater. Form. 2009, 2 (Suppl. S1), 817–820. [Google Scholar] [CrossRef]
- Xie, Y.-M.; Huang, R.-Y.; Tang, W.; Pan, B.-B.; Zhang, F. An Experimental and Numerical Investigation on the Twist Springback of Transformation Induced Plasticity 780 Steel Based on Different Hardening Models. Int. J. Precis. Eng. Manuf. 2018, 19, 513–520. [Google Scholar] [CrossRef]
- Jiang, H.-J.; Dai, H.-L. A novel model to predict U-bending springback and time-dependent springback for a HSLA steel plate. Int. J. Adv. Manuf. Technol. 2015, 8, 1055–1066. [Google Scholar] [CrossRef]
- Kappel, E.; Stefaniak, D.; Fernlund, F. Predicting process-induced distortions in composite manufacturing—A pheno-numerical simulation strategy. Compos. Struct. 2015, 120, 98–106. [Google Scholar] [CrossRef]
- Mezeix, L.; Seman, A.; Nasir, M.N.M.; Aminanda, Y.; Rivai, A.; Castanié, B.; Olivier, P.; Ali, K.M. Spring-back simulation of unidirectional carbon/epoxy flat laminate composite manufactured through autoclave process. Compos. Struct. 2015, 124, 196–205. [Google Scholar] [CrossRef]
- Johnston, A.; Vazir, R.; Poursartip, A. A Plane Strain Model for Process-Induced Deformation of Laminated Composite Structures. J. Compos. Mater. 2001, 35. [Google Scholar] [CrossRef]
- Zahlan, N.; O’Neill, J.M. Design and fabrication of composite components; The spring-forward phenomenon. Composites 1989, 20, 77–81. [Google Scholar] [CrossRef]
- Eggertsen, P.-A.; Mattiasson, K. Material Modelling for Accurate Springback Prediction. Int. J. Mater. Form. 2009, 2 (Suppl. S1), 793–796. [Google Scholar] [CrossRef]
- Chanda, A.; Bhattacharyya, D. Formability of wood veneers: A parametric approach for understanding some manufacturing issues. Holzforschung 2018, 72, 881–887. [Google Scholar] [CrossRef]
- Chanda, A.; Dutta, S.; Bhattacharyya, D. Shape conformance via spring-back control during thermo-forming of veneer plywood into a channel section. Mater. Manuf. Process. 2020, 35, 859–868. [Google Scholar] [CrossRef]
- Herold, N.; Pfriem, A. Shape Retention of Furfurylated and Moulded Wood Veneer. BioResources 2014, 9 (Suppl. S1), 545–553. [Google Scholar] [CrossRef][Green Version]
- Mund, A.; Munier, L.F.; Franke, T.; Herold, N.; Pfriem, A. Investigating the shape stability of moulded phenol-formaldehyde modified Beech veneers by means of digital image correlation. In Proceedings of the 21st International Nondestructive Testing and Evaluation of Wood Symposium, Forest Research Institute Baden-Württemberg (FVA) in Freiburg, Baden-Württemberg, Germany, 24–27 September 2019; General Technical Report FPL-GTR-272; Wang, X., Sauter, U.H., Ross, R.J., Eds.; U.S. Department of Agriculture, Forest Service: Madison, WI, USA, 2019. [Google Scholar]
- Grönquist, P.; Wood, D.; Hassani, M.M.; Wittel, F.K.; Menges, A.; Rüggeberg, M. Analysis of hygroscopic self-shaping wood at large scale for curved mass timber structures. Sci. Adv. 2019, 5. [Google Scholar] [CrossRef] [PubMed]
- Roberts, P. Wood Bending Using Laminations. The Woodworking Association of Pretoria Newsletter “Tambotie” 2018, Volume 11. Available online: http://ptawoodworkers.com/tambotie/tambotie-2018/ (accessed on 1 July 2020).
- Clayden, B. Predicting the Spring. In Furniture & Cabinetmaking; GMC Publications LTD: Lewes, UK; Volume 8, pp. 37–39. Available online: https://www.gmcsubscriptions.com/product/furniture-and-cabinetmaking/ (accessed on 1 July 2020).
- Springback Calculation for Laminated Work. Available online: http://www.richardjonesfurniture.com/PDFs/LaminateSpringback.pdf (accessed on 6 May 2020).
- Saelem, S.; Chantranuwathana, S.; Panichanun, K.; Prempreeda, P.; Wichienprakarn, P.; Kruo-ongarjnukool, P. Experimental Verification of Leaf Spring Model by Using a Leaf Spring Test Rig. In Proceedings of the 2009 23rd Conference of the Mechanical Engineering Network of Thailand, Chiang Mai, Thailand, 4–7 November 2009. [Google Scholar]
- Makowski, S. Parameterstudie zum Springback Effekt an in Form Verklebten Holzlagewerstoffen. Bachelor’s Thesis, University for Sustainable Development Eberswalde, Eberswalde, Germany, 28 June 2019. [Google Scholar]
- Heller Holzbiegewerk GmbH. Personal Communication; Heller Holzbiegewerk GmbH: Losau, Germany, 2020. [Google Scholar]
- R Core Team. R: A Language and Environment for Statistical Computing; R Foundation for Statistical Computing: Vienna, Austria, 2019. [Google Scholar]
- Niemz, P.; Sonderegger, W. Physik des Holzes und der Holzwerkstoffe, 1st ed.; Carl Hanser Verlag München: München, Germany, 2017. [Google Scholar]
- Gross, S. Berechnung und Gestaltung von Metallfedern (engl. Calculating and Designing of Metal. Springs), 3rd ed.; Ing, K., Ed.; Kollmann: Karlsruhe, Germany, 1960. [Google Scholar]





| Sample No | Thickness of Lamination [mm] | Radius [mm] | Number of Laminations | Elasticity Value of Stack [N/mm2] | Springback [%] |
|---|---|---|---|---|---|
| 1 | 1 | 250 | 2 | 3372.5 | 22.9 |
| 2 | 1 | 250 | 3 | 1212.2 | 8.2 |
| 3 | 1 | 250 | 4 | 629 | 4.6 |
| 4 | 1 | 250 | 5 | 472.9 | 3.5 |
| 5 | 1 | 250 | 6 | 296.8 | 2.5 |
| 6 1 | 1 | 250 | 8 | 238.5 | 3 |
| 7 1 | 1 | 250 | 12 | 103.4 | 2.3 |
| 8 1 | 1 | 250 | 16 | 62 | 1.2 |
| 9 | 2 | 250 | 2 | 3352.8 | 24.4 |
| 10 | 2 | 250 | 3 | 1503.1 | 9.1 |
| 11 1 | 2 | 250 | 4 | 784.5 | 6.4 |
| 12 | 2 | 250 | 5 | 474 | 2.9 |
| 13 1 | 2 | 250 | 6 | 328.6 | 2.5 |
| 14 1 | 2 | 250 | 8 | 188.5 | 1.9 |
| 15 1 | 4 | 250 | 2 | 3062.7 | 18 |
| 16 1 | 4 | 250 | 3 | 1600 | 7.2 |
| 17 1 | 4 | 250 | 4 | 899.1 | 5 |
| 18 | 1 | 300 | 2 | 3617.2 | 31 |
| 19 | 1 | 300 | 3 | 1220.5 | 8.7 |
| 20 | 1 | 300 | 4 | 612.1 | 3.9 |
| 21 | 1 | 300 | 5 | 506.9 | 2.8 |
| 22 | 1 | 300 | 6 | 313.1 | 1.7 |
| 23 1 | 1 | 300 | 8 | 306.7 | 2.8 |
| 24 1 | 1 | 300 | 12 | 143 | 2 |
| 25 1 | 1 | 300 | 16 | 65.7 | 0.8 |
| 26 | 2 | 300 | 2 | 3285.4 | 27.4 |
| 27 | 2 | 300 | 3 | 1466.6 | 10.3 |
| 28 1 | 2 | 300 | 4 | 770.8 | 4.8 |
| 29 | 2 | 300 | 5 | 504 | 3.2 |
| 30 1 | 2 | 300 | 6 | 405.4 | 2.5 |
| 31 1 | 2 | 300 | 8 | 196.6 | 2 |
| 32 1 | 4 | 300 | 2 | 3372.9 | 21.2 |
| 33 1 | 4 | 300 | 3 | 1638.6 | 5.6 |
| 34 1 | 4 | 300 | 4 | 771 | 4.2 |
| 35 | 1 | 350 | 2 | 3273.7 | 27.5 |
| 36 | 1 | 350 | 3 | 1169.1 | 6.9 |
| 37 | 1 | 350 | 4 | 684.2 | 3.7 |
| 38 | 1 | 350 | 5 | 525.8 | 4.1 |
| 39 | 1 | 350 | 6 | 298.4 | 2.6 |
| 40 1 | 1 | 350 | 8 | 229.7 | 3.5 |
| 41 1 | 1 | 350 | 12 | 101.7 | 1.1 |
| 42 1 | 1 | 350 | 16 | 57.8 | 0.9 |
| 43 | 2 | 350 | 2 | 3336.9 | 29.8 |
| 44 | 2 | 350 | 3 | 1424.1 | 9.7 |
| 45 1 | 2 | 350 | 4 | 762 | 6.4 |
| 46 | 2 | 350 | 5 | 457.4 | 3.3 |
| 47 1 | 2 | 350 | 6 | 320.7 | 3 |
| 48 1 | 2 | 350 | 8 | 184.8 | 2.2 |
| 49 1 | 4 | 350 | 2 | 2997.6 | 19 |
| 50 1 | 4 | 350 | 3 | 1633.8 | 8.3 |
| 51 1 | 4 | 350 | 4 | 827.3 | 5 |
| 52 | 4 | 350 | 6 | 366.4 | 2.3 |
| 53 | 4 | 350 | 6 | 392 | 1.1 |
| 54 | 4 | 350 | 6 | 375.4 | 1.2 |
| 55 | 4 | 350 | 8 | 207.1 | 1.7 |
| 56 | 4 | 350 | 8 | 199.2 | 1.9 |
| 57 | 4 | 350 | 8 | 213.2 | 1.6 |
| Sample No | Number of Laminations n | Mean Value of Springback [%] | Degree of Freedom | Standard Deviation | Coefficient of Variance |
|---|---|---|---|---|---|
| 1 | 2 | 24.5777778 | 9 | 4.6590712 | 0.1895644 |
| 2 | 3 | 8.2222222 | 9 | 1.4652455 | 0.1782055 |
| 3 | 4 | 4.8888889 | 9 | 0.9713965 | 0.1986947 |
| 4 | 5 | 3.3000000 | 6 | 0.4690416 | 0.1421338 |
| 5 | 6 | 2.1555556 | 9 | 0.6635343 | 0.3078252 |
| 6 | 8 | 2.2888889 | 9 | 0.6565905 | 0.2868599 |
| 7 | 12 | 1.8000000 | 3 | 0.6244998 | 0.3469443 |
| 8 | 16 | 0.9666667 | 3 | 0.2081666 | 0.2153448 |
© 2020 by the authors. Licensee MDPI, Basel, Switzerland. This article is an open access article distributed under the terms and conditions of the Creative Commons Attribution (CC BY) license (http://creativecommons.org/licenses/by/4.0/).
Share and Cite
Sanne, M.; Ahn-Ercan, G.; Pfriem, A. A Mathematical Solution for Calculating the Springback of Laminated Beech Stacks Molded within the Elastic Range. Forests 2020, 11, 725. https://doi.org/10.3390/f11070725
Sanne M, Ahn-Ercan G, Pfriem A. A Mathematical Solution for Calculating the Springback of Laminated Beech Stacks Molded within the Elastic Range. Forests. 2020; 11(7):725. https://doi.org/10.3390/f11070725
Chicago/Turabian StyleSanne, Moritz, Gudrun Ahn-Ercan, and Alexander Pfriem. 2020. "A Mathematical Solution for Calculating the Springback of Laminated Beech Stacks Molded within the Elastic Range" Forests 11, no. 7: 725. https://doi.org/10.3390/f11070725
APA StyleSanne, M., Ahn-Ercan, G., & Pfriem, A. (2020). A Mathematical Solution for Calculating the Springback of Laminated Beech Stacks Molded within the Elastic Range. Forests, 11(7), 725. https://doi.org/10.3390/f11070725

