A Foliar Endophyte of White Spruce Reduces Survival of the Eastern Spruce Budworm and Tree Defoliation
Abstract
1. Introduction
2. Materials and Methods
2.1. Study Site, Tree Selection, and Experimental Design
2.2. Statistical Analysis
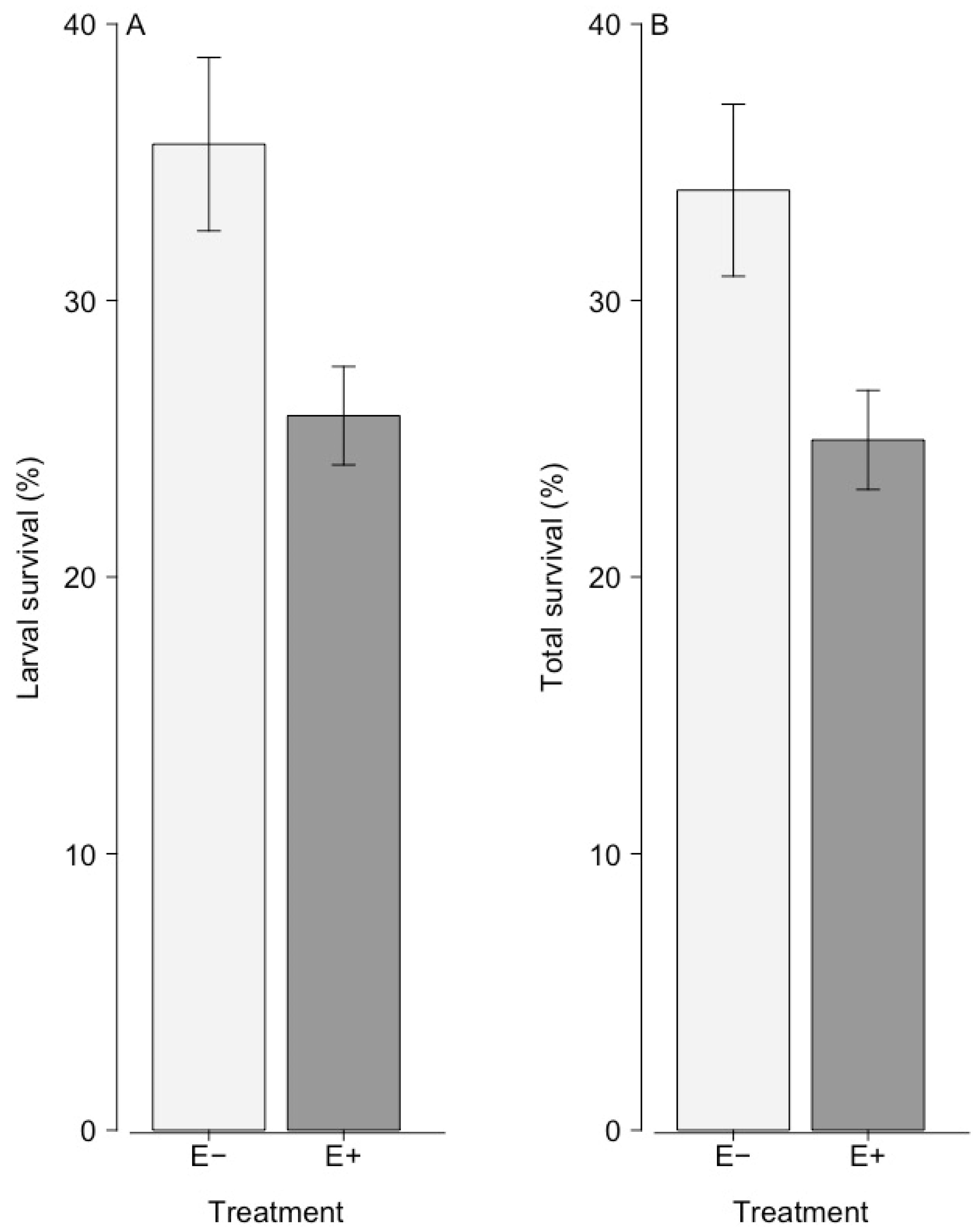
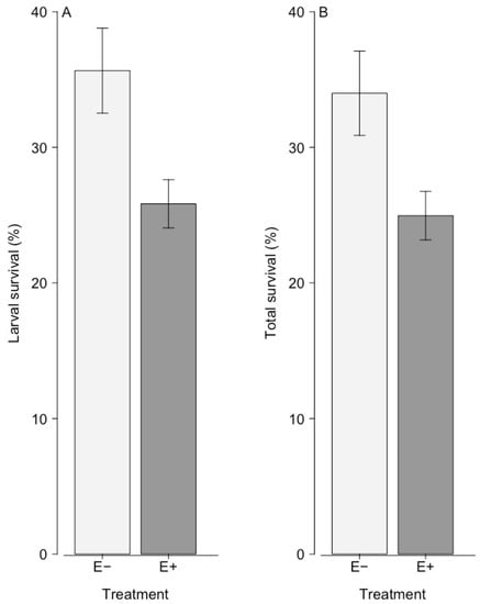
3. Results and Discussion
4. Conclusions
Author Contributions
Funding
Acknowledgments
Conflicts of Interest
References
- Clay, K. Fungal endophytes of grasses: A defensive mutualism between plants and fungi. Ecology 1988, 69, 10–16. [Google Scholar] [CrossRef]
- Rodriguez, R.J.; White, J.F., Jr.; Arnold, A.E.; Redman, R.S. Fungal endophytes: Diversity and functional roles. New Phytol. 2009, 182, 314–330. [Google Scholar] [CrossRef] [PubMed]
- Carroll, G.C. Fungal endophytes in stems and leaves: From latent pathogen to mutualistic symbiont. Ecology 1988, 69, 2–9. [Google Scholar] [CrossRef]
- Carroll, G.C.; Carroll, F.E. Studies on the incidence of coniferous needles endophytes in the Pacific Northwest. Can. J. Bot. 1978, 56, 3034–3043. [Google Scholar] [CrossRef]
- Miller, J.D. Foliar endophytes of spruce species found in the Acadian forest: Basis and potential for improving the tolerance of the forest to spruce budworm. In Endophytes of Forest Trees: Biol. Applications; Forestry Series; Pirttilä, A.M., Frank, A.C., Eds.; Springer: Berlin, Germany, 2011; pp. 237–249. [Google Scholar]
- Sherwood, M.P.; Stone, J.K.; Carroll, G.C. Rhabdocline parkeri, a ubiquitous foliar endophyte of Douglas-fir. Can. J. Bot. 1986, 64, 1849–1855. [Google Scholar] [CrossRef]
- Tanney, J.B.; McMullin, D.R.; Miller, J.D. Toxigenic foliar endophytes from the Acadian Forest. In Endophytes of Forest Trees; Forestry Sciences 86; Pirttilä, A.M., Frank, A.C., Eds.; Springer International Publishing AG: Berlin, Germany, 2018; pp. 343–381. [Google Scholar] [CrossRef]
- Johnson, J.A.; Whitney, N.J. Cytotoxicity and insecticidal activity of endophytic fungi from black spruce (Picea mariana) needles. Can. J. Microbiol. 1994, 40, 24–27. [Google Scholar] [CrossRef]
- Miller, J.D.; MacKenzie, S.; Foto, M.; Adams, G.W.; Findlay, J.A. Needles of white spruce inoculated with rugulosin-producing endophytes contain rugulosin reducing spruce budworm growth rate. Mycol. Res. 2002, 106, 471–479. [Google Scholar] [CrossRef]
- Miller, J.D.; Sumarah, M.W.; Adams, G.W. Effect of a rugulosin-producing endophyte in Picea glauca on Choristoneura fumiferana. J. Chem. Ecol. 2008, 34, 362–368. [Google Scholar] [CrossRef] [PubMed]
- Sumarah, M.W.; Adams, G.W.; Berghout, J.; Slack, G.J.; Wilson, A.M.; Miller, J.D. Spread persistence of a rugulosin-producing endophyte in Picea glauca seedlings. Mycol. Res. 2008, 112, 731–736. [Google Scholar] [CrossRef] [PubMed]
- Sumarah, M.W.; Puniani, E.; Sørensen, D.; Blackwell, B.A.; Miller, J.D. Secondary metabolites from anti-insect extracts of endophytic fungi isolated from Picea rubens. Phytochemistry 2010, 71, 760–765. [Google Scholar] [CrossRef] [PubMed]
- Quiring, D.T.; Flaherty, L.; Adams, G.; McCartney, A.; Miller, J.D.; Edwards, S. An endophytic fungus interacts with crown level and larval density to reduce the survival of eastern spruce budworm, Choristoneura fumiferana (Lepidoptera: Tortricidae), on white spruce (Picea glauca). Can. J. For. Res. 2019, 49, 221–227. [Google Scholar] [CrossRef]
- Quiring, D.; Flaherty, L.; Adams, G.; McCartney, A.; Miller, J.D.; Edwards, S. Influence of a foliar endophyte and budburst phenology on survival of wild and laboratory-reared eastern budworm, Choristoneura fumiferana on white spruce (Picea glauca). Forests 2019, 10, 503. [Google Scholar] [CrossRef]
- Pureswaran, D.S.; Johns, R.; Heard, S.B.; Quiring, D.T. Paradigms in eastern spruce budworm (Lepidoptera: Tortricidae) population ecology: A century of debate. Environ. Entomol. 2016, 45, 1333–1342. [Google Scholar] [CrossRef] [PubMed]
- Royama, T. Population dynamics of the spruce budworm Choristoneura Fumiferana. Ecol. Monogr. 1984, 54, 429–462. [Google Scholar] [CrossRef]
- Ostaff, D.P.; MacLean, D.A. Patterns of balsam fir mortality caused by an uncontrolled spruce budworm outbreak. Can. J. For. Res. 1989, 19, 1087–1095. [Google Scholar]
- MacLean, D.A. Impacts of insect outbreaks on tree mortality, productivity, and stand development. Can. Entomologist 2016, 148, S138–S159. [Google Scholar] [CrossRef]
- MacLean, D.A. Effects of spruce budworm outbreaks on forest growth and yield. In Recent Advances in Spruce Budworms Research; Sanders, C.J., Stark, R.W., Mullins, E.J., Murphy, J., Eds.; Canadian Forest Service: Ottawa, ON, Canada, 1985; pp. 148–175. [Google Scholar]
- Sumarah, M.W.; Miller, J.D.; Adams, G.W. Measurement of a rugulosin-producing endophyte in white spruce seedlings. Mycologia 2005, 97, 770–776. [Google Scholar] [CrossRef] [PubMed]
- Moreau, G.; Quiring, D.; Eveleigh, E.; Bauce, E. Advantages of a mixed diet: Feeding on several foliar age classes increases the performance of a specialist insect herbivore. Oecologia 2003, 135, 391–399. [Google Scholar] [CrossRef] [PubMed]
- R Core Team. R: A Language and Environment for Statistical Computing; R Foundation for Statistical Computing: Vienna, Austria, 2016; Available online: https://www.R-project.org/ (accessed on 5 January 2020).
- Warton, D.I.; Hui, F.K.C. The arcsine is asinine: The analysis of proportions in ecology. Ecology 2011, 92, 3–10. [Google Scholar] [CrossRef] [PubMed]
- Government of Canada. Daily Data Report for June 2016 (St. Leonard, New Brunswick). Available online: http://climate.weather.gc.ca/climate_data/daily_data_e.html?timeframe=2&Year=2016&Month=6&Day=1&hlyRange=1995-05-16%7C2017-02-05&dlyRange=2001-08-16%7C2017-02-05&mlyRange=2005-12-01%7C2007-07-01&StationID=26823&Prov=NB&urlExtension=_e.html&searchType=stnProx&optLimit=specDate&StartYear=1840&EndYear=2019&selRowPerPage=25&Line=0&txtRadius=25&optProxType=custom&selCity=&selPark= (accessed on 24 July 2019).
- MacLean, D.A.; Amirault, P.; Amos, L.B.; Carleton, D.; Hennigar, C.; Johns, R.; Regnière, J. Protection Strategy against spruce budworm. Forests 2019, 10, 448. [Google Scholar] [CrossRef]
- Johns, R.C.; Bowden, J.J.; Carleton, D.R.; Cooke, B.J.; Edwards, S.; Emilson, E.J.S.; James, R.M.A.; Kneeshaw, D.; MacLean, D.A.; Martel, V.; et al. A conceptual framework for the spruce budworm early intervention strategy: Can outbreaks be stopped? Forests 2019, 10, 910. [Google Scholar] [CrossRef]


© 2020 by the authors. Licensee MDPI, Basel, Switzerland. This article is an open access article distributed under the terms and conditions of the Creative Commons Attribution (CC BY) license (http://creativecommons.org/licenses/by/4.0/).
Share and Cite
Quiring, D.; Adams, G.; McCartney, A.; Edwards, S.; Miller, J.D. A Foliar Endophyte of White Spruce Reduces Survival of the Eastern Spruce Budworm and Tree Defoliation. Forests 2020, 11, 659. https://doi.org/10.3390/f11060659
Quiring D, Adams G, McCartney A, Edwards S, Miller JD. A Foliar Endophyte of White Spruce Reduces Survival of the Eastern Spruce Budworm and Tree Defoliation. Forests. 2020; 11(6):659. https://doi.org/10.3390/f11060659
Chicago/Turabian StyleQuiring, Dan, Greg Adams, Andrew McCartney, Sara Edwards, and J. David Miller. 2020. "A Foliar Endophyte of White Spruce Reduces Survival of the Eastern Spruce Budworm and Tree Defoliation" Forests 11, no. 6: 659. https://doi.org/10.3390/f11060659
APA StyleQuiring, D., Adams, G., McCartney, A., Edwards, S., & Miller, J. D. (2020). A Foliar Endophyte of White Spruce Reduces Survival of the Eastern Spruce Budworm and Tree Defoliation. Forests, 11(6), 659. https://doi.org/10.3390/f11060659
