An Effect of Urban Forest on Urban Thermal Environment in Seoul, South Korea, Based on Landsat Imagery Analysis
Abstract
1. Introduction
2. Materials and Methods
2.1. Study Area
2.2. Urban Forest Buffer and Land Use Land Cover (LULC)
2.3. Data Collection and Processing
2.3.1. Satellite-Borne Data
2.3.2. Land Surface Temperature (LST) Modeling
2.3.3. Green Patch Analysis
2.4. Statistical Analysis
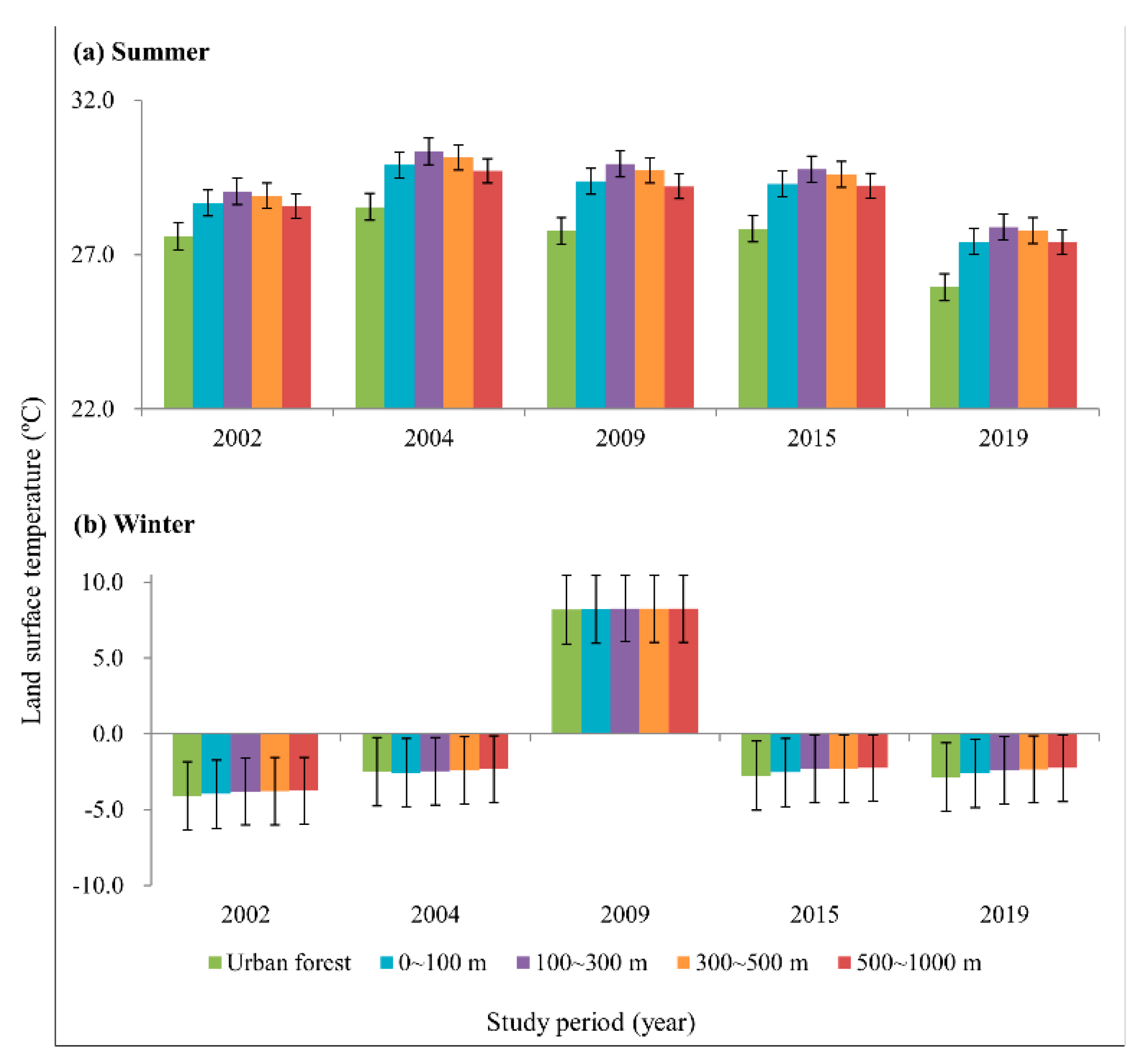
3. Results
4. Discussion
4.1. Cooling Effect of Urban Forest
4.2. Factors for the Cooling Effect
4.3. Verification Case Analysis
5. Conclusions
Author Contributions
Funding
Conflicts of Interest
References
- Oke, T.R. The energetic basis of urban heat island. Q. J. R. Meteorol. Soc. 1982, 108, 1–24. [Google Scholar] [CrossRef]
- Bokaie, M.; Shamsipour, A.; Khatibi, P.; Hosseini, A. Seasonal monitoring of urban heat island using multi-temporal Landsat and MODIS images in Tehran. Int. J. Urban Sci. 2019, 23, 269–285. [Google Scholar] [CrossRef]
- Sahana, M.; Dutta, S.; Sajjad, H. Assessing land transformation and its relation with land surface temperature in Mumbai city, India using geospatial techniques. Int. J. Urban Sci. 2019, 23, 205–225. [Google Scholar] [CrossRef]
- Lee, P.; Jeong, J. Influence of vegetationi cover in Seoul Forest on PM10 concentration in Seoul, South Korea. Asia Life Sci. 2019, 18, 1–11. [Google Scholar]
- Kolokotroni, M.; Zhang, Y.; Watkins, R. The London Heat Island and building cooling design. Sol. Energy 2007, 81, 102–110. [Google Scholar] [CrossRef]
- Frayssinet, L.; Merlier, L.; Kuznik, F.; Hubert, J.; Milliez, M.; Roux, J. Modeling the heating and cooling energy demand of urban buildings at city scale. Renew. Sustain. Energy Rev. 2017, 81. [Google Scholar] [CrossRef]
- Hassid, S.; Santamouris, M.; Papanikolaou, N.; Linardi, A.; Klitsikas, N.; Georgakis, C.; Asimakopoulos, D. Effect of the Athens heat island on air conditioning load. Energy Build. 2000, 32, 131–141. [Google Scholar] [CrossRef]
- Oke, T.R.; Crowther, J.; McNaughton, K.; Monteith, J.; Gardiner, B. The micrometeorology of the urban forest [and discussion]. Philos. Trans. R. Soc. Lond. Ser. B Biol. Sci. 1989, 324, 335–349. [Google Scholar]
- Weng, Q.; Lu, D.; Schubring, J. Estimation of land surface temperature-vegetation abundance relationship for urban heat island studies. Remote Sens. Environ. 2004, 89, 467–483. [Google Scholar] [CrossRef]
- Stathopoulou, M.; Cartalis, C. Daytime urban heat islands from Landsat ETM+ and Corine land cover data. Sol. Energy 2007, 81, 358–368. [Google Scholar] [CrossRef]
- Cao, X.; Onishi, A.; Chen, J.; Imura, H. Quantifying the cool island intensity of urban parks using ASTER and IKONOS data. Landsc. Urban Plan. 2010, 96, 224–231. [Google Scholar] [CrossRef]
- Li, X.; Zhou, W.; Ouyang, Z. Relationship between land surface temperature and spatial pattern of greenspace: What are the effects of spatial resolution? Landsc. Urban Plan. 2013, 114, 1–8. [Google Scholar] [CrossRef]
- Oke, T.R. Initial Guidance to Obtain Representative Meteorological Observations at Urban Sites; IOM Report No.81, WMO/TD. No. 1250; World Meteorological Organization: Geneva, Switzerland, 2006. [Google Scholar]
- Barsi, J.; Schott, J.; Hook, S.; Raqueno, N.; Markham, B.; Radocinski, R. Landsat-8 Thermal Infrared Sensor (TIRS) vicarious radiometric calibration. Remote Sens. 2014, 6, 11607–11626. [Google Scholar] [CrossRef]
- Xu, H.; Chen, B. Remote sensing of the urban heat island and its changes in Xiamen City of SE China. J. Environ. Sci. 2004, 16, 276–281. [Google Scholar]
- Raissouni, N.; Sobrino, J. Toward remote sensing methods for land cover dynamic monitoring: Application to Morocco. Int. J. Remote Sens. 2000, 21, 353–366. [Google Scholar] [CrossRef]
- Wang, F.; Qin, Z.; Song, C.; Tu, L.; Karnieli, A.; Zhao, S. An improved mono-window algorithm for land surface temperature retrieval from Landsat 8 thermal infrared sensor data. Remote Sens. 2015, 7, 4268–4289. [Google Scholar] [CrossRef]
- Sobrino, J.; Jimenez-Munoz, J.; Paolini, L. Land surface temperature retrieval from LANDSAT TM 5. Remote Sens. Environ. 2004, 90, 434–440. [Google Scholar] [CrossRef]
- Qin, Z.; Karnieli, A.; Berliner, P. A mono-window algorithm for retrieving land surface temperature from Landsat TM data and its application to the Israel-Egypt border region. Int. J. Remote Sens. 2010, 22, 3719–3746. [Google Scholar] [CrossRef]
- Cristóbal Rosselló, J.; Jimenez-Munoz, J.; Prakash, A.; Mattar, C.; Skoković, D.; Sobrino, J. An improved single-channel method to retrieve land surface temperature from the Landsat-8 thermal band. Remote Sens. 2018, 10, 431. [Google Scholar] [CrossRef]
- The Economist. Asian Green City Index: Assessing the Environmental Performance of Asia’s Major Cities. 2011. Available online: https://eiuperspectives.economist.com/economic-development/asian-green-city-index/ (accessed on 3 February 2020).
- Seoul Metropolitan Government. Seoul Population Census Data. 2019. Available online: https://data.seoul.go.kr/dataList/419/S/2/datasetView.do#/ (accessed on 3 February 2020).
- Seoul Metropolitan Government. Topography of Seoul: Locations of Mountains and Rivers. 2005. Available online: https://parks.seoul.go.kr/ecoinfo/ecology/index.do/ (accessed on 3 February 2020).
- Wybe, K. The nature of urban Seoul: Potential vegetation derived from the soil map. Int. J. Urban Sci. 2013, 17, 95–108. [Google Scholar] [CrossRef]
- Qiu, L.; Liu, F.; Zhang, X.; Gao, T. The reducing effect of green spaces with different vegetation structure on atmospheric particulate matter concentration in BaoJi city, China. Atmosphere 2018, 9, 332. [Google Scholar] [CrossRef]
- Korean Ministry of the Interior and Safety. Street Address Background Map. 2020. Available online: http://www.juso.go.kr/addrlink/addressBuildDevNew.do?menu=layer/ (accessed on 31 January 2020).
- Seoul Metropolitan Government. 2015 Urban Ecological Condition Survey Map. 2015. Available online: http://urban.seoul.go.kr/4DUPIS/sub7/sub7_7_4.jsp/ (accessed on 31 January 2020).
- Choi, J.; Lee, S.; Ji, S.; Jeong, J.; Lee, P.S. Landscape analysis to assess the impact of development projects on forests. Sustainability 2016, 8, 1012. [Google Scholar] [CrossRef]
- United States Geological Survey (USGS). EarthExplorer. 2019. Available online: https://earthexplorer.usgs.gov/ (accessed on 5 August 2019).
- Avdan, U.; Jovanovska Kaplan, G. Algorithm for automated mapping of land surface temperature using LANDSAT 8 satellite data. J. Sens. 2016, 1480307. [Google Scholar] [CrossRef]
- United States Geological Survey (USGS). Landsat 8 Data Users Handbook Version 4.0. 2019. Available online: https://www.usgs.gov/land-resources/nli/landsat/landsat-8-data-users-handbook/ (accessed on 31 January 2020).
- Sobrino, J.; Jimenez-Munoz, J.; Sòria Barres, G.; Romaguera, M.; Guanter, L.; Moreno, J.; Plaza, A.; Martinez, P. Land surface emissivity retrieval from different VNIR and TIR sensors. Geosci. Remote Sens. 2008, 46, 316–327. [Google Scholar] [CrossRef]
- Sobrino, J.; Caselles, V.; Becker, F. Significance of the remotely sensed thermal infrared measurements obtained over a citrus orchard. ISPRS J. Photogramm. Remote Sens. 1990, 44, 343–354. [Google Scholar] [CrossRef]
- Artis, D.A.; Carnahan, W.H. Survey of emissivity variability in thermography of urban areas. Remote Sens. Environ. 1982, 12, 313–329. [Google Scholar] [CrossRef]
- Weier, J.; Herring, D. Measuring Vegetation (NDVI & EVI); NASA Earth Observatory: Washington, DC, USA, 2000. Available online: https://earthobservatory.nasa.gov/features/MeasuringVegetation/ (accessed on 31 January 2020).
- Vermote, E.; Justice, C.; Claverie, M.; Franch, B. Preliminary analysis of the performance of the Landsat 8/OLI land surface reflectance product. Remote Sens. Environ. 2016, 185, 46–56. [Google Scholar] [CrossRef]
- Song, C.; Woodcock, C.; Seto, K.; Lenney, M.; Macomber, S. Classification and change detection using Landsat TM data: When and how to correct atmospheric effects? Remote Sens. Environ. 2000, 75, 230–244. [Google Scholar] [CrossRef]
- Vaz Monteiro, M.; Doick, K.; Handley, P.; Peace, A. The impact of greenspace size on the extent of local nocturnal air temperature cooling in London. Urban For. Urban Green. 2016, 16, 160–169. [Google Scholar] [CrossRef]
- Gunawardena, K.; Wells, M.; Kershaw, T. Utilising green and bluespace to mitigate urban heat island intensity. Sci. Total Environ. 2017, 584. [Google Scholar] [CrossRef]
- Zhang, Y.; Murray, A.; Turner, B.L., II. Optimizing green space locations to reduce daytime and nighttime urban heat island effects in Phoenix, Arizona. Landsc. Urban Plan. 2017, 165, 162–171. [Google Scholar] [CrossRef]
- Deng, Y.; Wang, S.; Bai, X.; Tian, Y.; Wu, L.; Xiao, J.; Chen, F.; Qian, Q. Relationship among land surface temperature and LUCC, NDVI in typical karst area. Sci. Rep. 2018, 8, 641. [Google Scholar] [CrossRef]
- Guha, S.; Govil, H.; Dey, A.; Gill, N. Analytical study of land surface temperature with NDVI and NDBI using Landsat 8 OLI and TIRS data in Florence and Naples city, Italy. Eur. J. Remote Sens. 2018, 51, 667–678. [Google Scholar] [CrossRef]
- Bokaie, M.; Kheirkhah Zarkesh, M.; Daneshkar Arasteh, P.; Hosseini, A. Assessment of urban heat island based on the relationship between land surface temperature and land use/land cover in Tehran. Sustain. Cities Soc. 2016, 23. [Google Scholar] [CrossRef]
- Hamada, S.; Ohta, T. Seasonal variations in the cooling effect of urban green areas on surrounding urban areas. Urban For. Urban Green. 2010, 9, 15–24. [Google Scholar] [CrossRef]
- Hamada, S.; Tanaka, T.; Ohta, T. Impacts of land use and topography on the cooling effect of green areas on surrounding urban areas. Urban For. Urban Green. 2013, 12, 426–434. [Google Scholar] [CrossRef]
- Skoulika, F.; Santamouris, M.; Kolokotsa, D.; Boemi, N. On the thermal characteristics and the mitigation potential of a medium size urban park in Athens, Greece. Landsc. Urban Plan. 2014, 123, 73–86. [Google Scholar] [CrossRef]
- United States Geological Survey (USGS). Landsat—Earth Observation Satellites (Ver. 1.2, April 2020): U.S. Geological Survey Fact Sheet 2015–3081; United States Geological Survey (USGS): Reston, VA, USA, 2016; 4p. [CrossRef]
- Carmona, P.; Tran, D.; Pla, F.; Myint, S.; Caetano, M.; Kieu, H. Characterizing the relationship between land use land cover change and land surface temperature. ISPRS J. Photogramm. Remote Sens. 2017, 124, 119–132. [Google Scholar] [CrossRef]
- Chaudhuri, G.; Mishra, N. Spatio-temporal dynamics of land cover and land surface temperature in Ganges-Brahmaputra delta: A comparative analysis between India and Bangladesh. Appl. Geogr. 2016, 68. [Google Scholar] [CrossRef]
- Jafari, R.; Hasheminasab, S. Assessing the effects of dam building on land degradation in central Iran with Landsat LST and LULC time series. Environ. Monit. Assess. 2017, 189, 74. [Google Scholar] [CrossRef]
- Saha, P.; Bandopadhyay, S.; Kumar, C.; Mitra, C. Multi-approach synergic investigation between land surface temperature and land-use land-cover. J. Earth Syst. Sci. 2020, 129, 74. [Google Scholar] [CrossRef]
- Jonsson, P. Vegetation as an urban climate control in the subtropical city of Gaborone, Botswana. Int. J. Climatol. 2004, 24, 1307–1322. [Google Scholar] [CrossRef]
- Murphy, D.; Hall, M.; Hall, C.; Heisler, G.; Stehman, S.; Anselmi-Molina, C. The relation between land cover and the urban heat island in northeastern Puerto Rico. Int. J. Climatol. 2011, 31, 1222–1239. [Google Scholar] [CrossRef]
- Ali, S.; Patnaik, S. Assessment of the impact of urban tree canopy on microclimate in Bhopal: A devised low-cost traverse methodology. Urban Clim. 2019, 27, 430–445. [Google Scholar] [CrossRef]
- Chave, J.; Davies, S.; Phillips, O.; Lewis, S.; Sist, P.; Schepaschenko, D.; Armston, J.; Baker, T.; Coomes, D.; Disney, M.; et al. Ground data are essential for biomass remote sensing missions. Surv. Geophys. 2019, 40, 1–18. [Google Scholar] [CrossRef]
- Sabol, D.; Gillespie, A.; Abbott, E.; Yamada, G. Field validation of the ASTER Temperature–Emissivity Separation algorithm. Remote Sens. Environ. 2009, 113, 2328–2344. [Google Scholar] [CrossRef]
- White, W.; Alsina, M.; Nieto, H.; McKee, L.; Kustas, W. Determining a robust indirect measurement of leaf area index in California vineyards for validating remote sensing-based retrievals. Irrig. Sci. 2018. [Google Scholar] [CrossRef]










| Code | Name | Area (ha) | Code | Name | Area (ha) |
|---|---|---|---|---|---|
| UF 01 | Mullae neighborhood park | 2.5 | UF 18 | Gaepo park | 9.8 |
| UF 02 | Cheonho park | 2.7 | UF 19 | Gyeonghuigung palace | 9.8 |
| UF 03 | Garak neighborhood park | 2.8 | UF 20 | Sinsa neighborhood park | 11.0 |
| UF 04 | Paris park | 3.0 | UF 21 | Seodaemun independence park | 11.3 |
| UF 05 | Dosan park | 3.0 | UF 22 | Naksan park | 15.4 |
| UF 06 | Hak-dong park | 3.0 | UF 23 | Hyochang park | 16.1 |
| UF 07 | Sanggye neighborhood park | 3.0 | UF 24 | Yangjae citizen’s forest | 18.3 |
| UF 08 | Yangjae neighborhood park | 3.3 | UF 25 | Ogeum park | 21.9 |
| UF 09 | Yangcheon park | 3.4 | UF 26 | Yeouido park | 22.6 |
| UF 10 | Sayuksin park | 4.9 | UF 27 | Seojeongneung | 24.1 |
| UF 11 | Cheongdam Park | 5.9 | UF 28 | Boramae park | 41.5 |
| UF 12 | Deoksugung Palace | 6.1 | UF 29 | Changdeokgung park | 46.8 |
| UF 13 | Yeongdeungpo Park | 6.2 | UF 30 | Seoul children’s grand park | 60.8 |
| UF 14 | Dongmyeong neighborhood park | 6.5 | UF 31 | Myeongil park | 64.4 |
| UF 15 | Asia neighborhood park | 6.6 | UF 32 | North Seoul dream forest | 66.5 |
| UF 16 | Gogu dongsan | 8.0 | UF 33 | Gil-dong eco park | 70.8 |
| UF 17 | Hongneung neighborhood park | 9.6 | UF SF | Seoul Forest | 54.8 |
| No. | Date (yyyymmdd) | Season | File no. | Sensor |
|---|---|---|---|---|
| 1 | 20020630 | Summer | LT05_L1TP_116034_20020630_20161207_01_T1 | Landsat 5 TM |
| 2 | 20030108 | Winter | LT05_L1TP_116034_20030108_20161206_01_T1 | Landsat 5 TM |
| 3 | 20040603 | Summer | LT05_L1TP_116034_20040603_20161201_01_T1 | Landsat 5 TM |
| 4 | 20050113 | Winter | LT05_L1TP_116034_20050113_20161127_01_T1 | Landsat 5 TM |
| 5 | 20090601 | Summer | LT05_L1TP_116034_20090601_20161025_01_T1 | Landsat 5 TM |
| 6 | 20091124 | Winter | LT05_L1TP_116034_20091124_20161022_01_T1 | Landsat 5 TM |
| 7 | 20150704 | Summer | LC08_L1TP_116034_20150704_20170407_01_T1 | Landsat 8 OLI/TIRS |
| 8 | 20151227 | Winter | LC08_L1TP_116034_20151227_20170331_01_T1 | Landsat 8 OLI/TIRS |
| 9 | 20190613 | Summer | LC08_L1TP_116034_20190613_20190619_01_T1 | Landsat 8 OLI/TIRS |
| 10 | 20191206 | Winter | LC08_L1TP_116034_20191206_20191217_01_T1 | Landsat 8 OLI/TIRS |
| Dependent Variable | Independent Variable | |||
|---|---|---|---|---|
| Temp a | UF b | Green c | NDVI d | |
| 100 Temp e | 0.86 * | −0.31 * | −0.34 * | −0.52 * |
| 300 Temp f | 0.74 * | −0.23 * | −0.26 * | −0.41 * |
| Dependent Variable | Independent Variable | ||||||||||
|---|---|---|---|---|---|---|---|---|---|---|---|
| UF b | Green c | NDVI d | 100G e | 100R f | 100C g | 100T h | 300G i | 300R j | 300C k | 300T l | |
| Temp a | −0.44 ** | −0.47 ** | −0.78 ** | −0.39 ** | −0.30 ** | 0.14 | −0.22 ** | −0.41 ** | −0.18 * | 0.03 | −0.18 * |
※ Descriptions for land use and land cover (LULC) | |||||||||||
| |||||||||||
© 2020 by the authors. Licensee MDPI, Basel, Switzerland. This article is an open access article distributed under the terms and conditions of the Creative Commons Attribution (CC BY) license (http://creativecommons.org/licenses/by/4.0/).
Share and Cite
Lee, P.S.-H.; Park, J. An Effect of Urban Forest on Urban Thermal Environment in Seoul, South Korea, Based on Landsat Imagery Analysis. Forests 2020, 11, 630. https://doi.org/10.3390/f11060630
Lee PS-H, Park J. An Effect of Urban Forest on Urban Thermal Environment in Seoul, South Korea, Based on Landsat Imagery Analysis. Forests. 2020; 11(6):630. https://doi.org/10.3390/f11060630
Chicago/Turabian StyleLee, Peter Sang-Hoon, and Jincheol Park. 2020. "An Effect of Urban Forest on Urban Thermal Environment in Seoul, South Korea, Based on Landsat Imagery Analysis" Forests 11, no. 6: 630. https://doi.org/10.3390/f11060630
APA StyleLee, P. S.-H., & Park, J. (2020). An Effect of Urban Forest on Urban Thermal Environment in Seoul, South Korea, Based on Landsat Imagery Analysis. Forests, 11(6), 630. https://doi.org/10.3390/f11060630

