Stump Sprout Characteristics of Three Commercial Tree Species in Suriname
Abstract
1. Introduction
2. Materials and Methods
3. Results
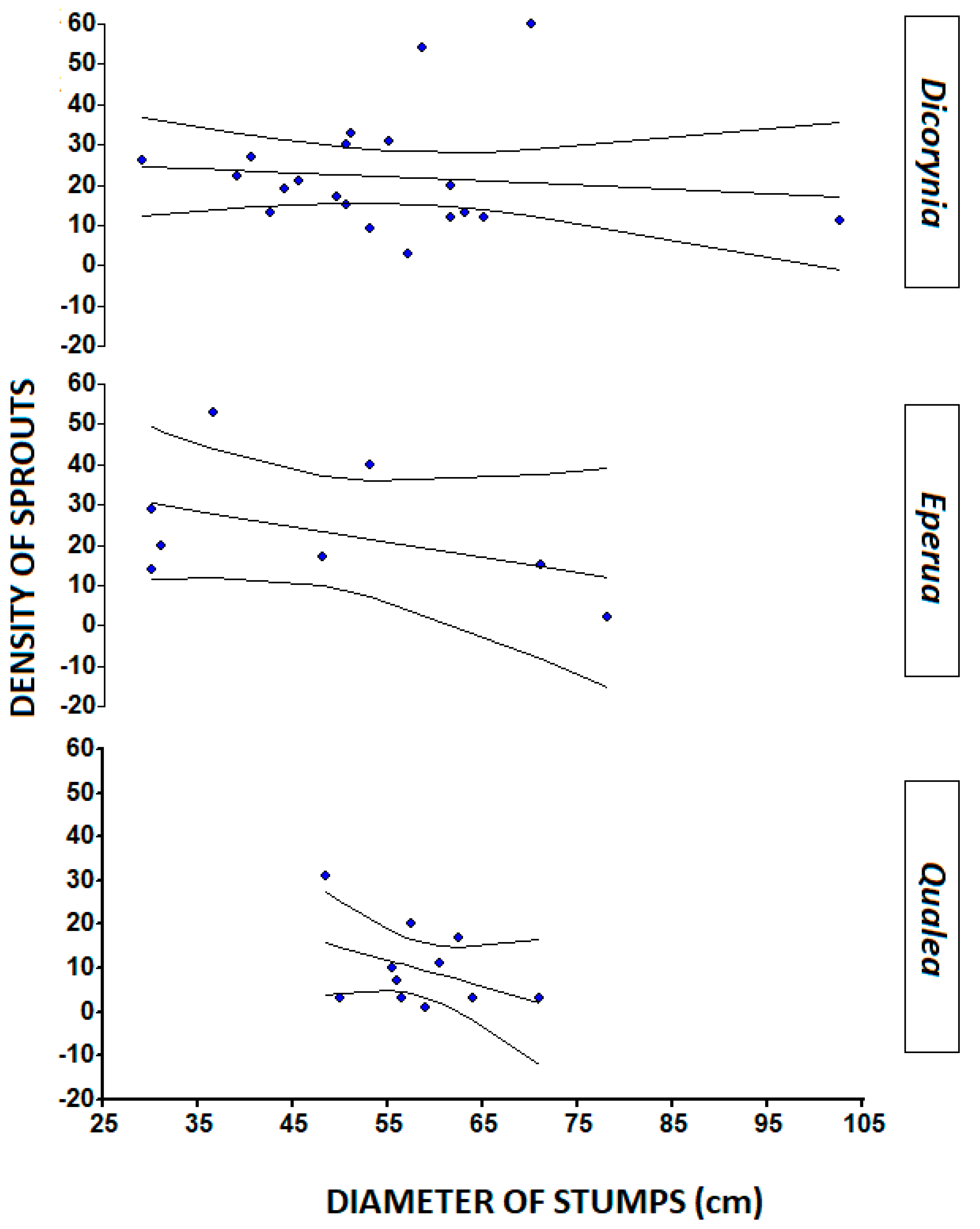
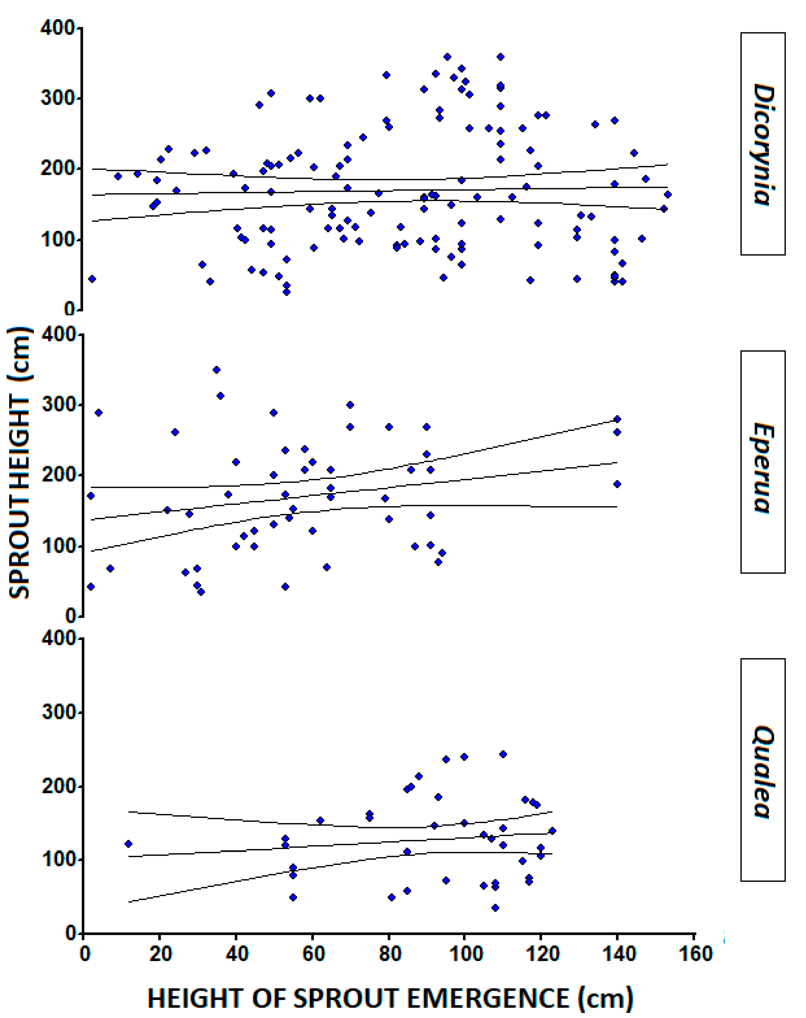
3.1. Stump Characteristics
3.2. Comparisons of Sprouts and Conspecific Saplings
4. Discussion
5. Conclusions
Author Contributions
Funding
Acknowledgments
Conflicts of Interest
References
- Del Tredici, P. Sprouting in temperate trees: A morphological and ecological review. Bot. Rev. 2001, 67, 121–140. [Google Scholar] [CrossRef]
- Putz, F.E.; Brokaw, V.L. Sprouting of broken trees on Barro Colorado Island, Panama. Ecology 1989, 70, 508–512. [Google Scholar] [CrossRef]
- Kamo, K.; Sato, A.; Javing, A.L. Coppice growth of some tropical tree species in Mindanao Island, the Philippines. Jpn. Agric. Res. Q. 1990, 24, 235–241. [Google Scholar]
- Mushove, P.T.; Makoni, J.T. The ecology and management of indigenous forests in Southern Africa. In Silviculture, Ecology and Management, Proceedings of the International Symposium, Victoria Falls, Zimbabwe, 27–29 July 1992; Piearce, G.D., Gumbo, D.J., Shaw, P., Eds.; The Forestry Commission: Harare, Zimbabwe, 1993; pp. 226–230. [Google Scholar]
- Mostacedo, B.; Putz, F.E.; Fredericksen, T.S.; Villca, A.; Palacios, T. Contributions of root and stump sprouts to natural regeneration of a logged tropical dry forest in Bolivia. For. Ecol. Manag. 2009, 258, 978–985. [Google Scholar] [CrossRef]
- Rackham, O. Ancient woodlands: Modern threats. New Phytol. 2008, 180, 71–86. [Google Scholar] [CrossRef]
- Cañellas, I.; Del Rio, M.; Roig, S.; Montero, G. Growth response to thinning in Quercus pyrenaica Willd. coppice stands in Spanish central mountain. Ann. For. Sci. 2004, 61, 243–250. [Google Scholar] [CrossRef]
- Kennard, D.K.; Gould, K.; Putz, F.E.; Fredericksen, T.S.; Morale, F. Effect of disturbance intensity on regeneration mechanisms in a tropical dry forest. For. Ecol. Manag. 2002, 162, 197–208. [Google Scholar] [CrossRef]
- Higgins, S.I.; Flores, O.; Schurr, F.M. Costs of persistence and the spread of competing seeders and sprouters. J. Ecol. 2008, 96, 679–686. [Google Scholar] [CrossRef]
- Dietze, M.; Clark, J.S. Rethinking gap dynamics: The impact of damaged trees and sprouts. Ecol. Monogr. 2008, 78, 331–347. [Google Scholar] [CrossRef]
- Mcdonald, M.A.; Mclaren, K.P.; Newton, A.C. What Are the Mechanisms of Regeneration Post-Disturbance in Tropical Dry Forest? CEE Review 07-013 (SR37). Environmental Evidence. 2010. Available online: www.environmentalevidence.org/SR37.html (accessed on 10 August 2020).
- Vickers, L.A.; Fox, T.R.; Loftis, D.L.; Boucugnani, D.A. Predicting forest regeneration in the Central Appalachians using the REGEN expert system. J. Sustain. For. 2011, 30, 790–822. [Google Scholar] [CrossRef]
- Clarke, P.J.; Lawes, M.J.; Midgley, J.J.; Lamont, B.B.; Ojeda, F.; Burrows, G.E.; Enright, N.J.; Knox, K.J.E. Resprouting as a key functional trait: How buds, protection and resources drive persistence after fire. New Phytol. 2013, 197, 19–35. [Google Scholar] [CrossRef]
- Lust, N.; Mohammady, M. Regeneration of coppice. Sylva Gandav. 1973, 39, 1–29. [Google Scholar] [CrossRef]
- Ewel, K.C. Pondcypress Swamps. In Southern Forested Wetlands: Ecology and Management; Lewis Publishers: Boca Raton, FL, USA, 1998; pp. 405–420. [Google Scholar]
- Randall, C.K.; Duryea, M.L.; Vince, S.W.; English, R.J. Factors influencing stump sprouting by pondcypress (Taxodium distichum var. nutans (Ait.) Sweet). New For. 2005, 29, 245–260. [Google Scholar] [CrossRef]
- Britez, D.D.; Romero, C.; Putz, F.E. Coppicing of two native but invasive oak species in Florida. For. Ecol. Manag. 2020, 477, 118487. [Google Scholar] [CrossRef]
- Mwavu, E.N.; Witkowski, E.T.F. Sprouting of woody species following cutting and tree-fall in a lowland semi-deciduous tropical rainforest, North-Western Uganda. For. Ecol. Manag. 2008, 255, 982–992. [Google Scholar] [CrossRef]
- Baraloto, C.; Goldberg, D.E. Microhabitat associations and seedling bank dynamics in a neotropical forest. Oecologia 2004, 141, 701–712. [Google Scholar] [CrossRef]
- Norden, N.; Chave, J.; Belbenoit, P.; Riéra, B.; Caubère, A.; Châtelet, P.; Forget, P.-M.; Viers, J.; Thébaud, C. Interspecific variation in seedling responses to seed limitation and habitat conditions for 14 Neotropical woody species. J. Ecol. 2009, 97, 186–197. [Google Scholar] [CrossRef]
- Villadas, P.J.; Fernández-López, M.; Ramírez-Saad, H.; Toro, N. Rhizosphere-bacterial community in Eperua falcata (Caesalpiniaceae) a putative nitrogen-fixing tree from French Guiana rainforest. Microb. Ecol. 2007, 53, 317–327. [Google Scholar] [CrossRef]
- Holbrook, N.M.; Putz, F.E. The influence of neighbors on tree form: Effects of lateral shade and prevention of sway on the allometry of Liquidambar styraciflua (sweet gum). Am. J. Bot. 1989, 76, 1740–1749. [Google Scholar] [CrossRef]
- Jagernath, R.; Landburg, J.S.; Paal, A.P.; Sewdien, A.V.; Wortel, V.; Putz, F.E. Likelihoods of stump sprouting by felled trees in a selectively logged forest in Suriname. J. Trop. For. Sci. 2020. in review. [Google Scholar]
- Bellingham, P.; Sparrow, A. Resprouting as a life history strategy in woody plant communities. Oikos 2000, 89, 409–416. [Google Scholar] [CrossRef]
- Weiner, J.; Thomas, S.C. Competition and allometry in three species of annual plants. Ecology 1992, 73, 648–656. [Google Scholar] [CrossRef]
- Mensah, S.; Kakaï, R.G.; Seifert, T. Patterns of biomass allocation between foliage and woody structure: The effects of tree size and specific functional traits. Ann. For. Res. 2016, 59, 49–60. [Google Scholar] [CrossRef]






| Species | N | Mean Stump Diameter (cm) | S.D. | Range (cm) | Mean # Sprouts Per Stump | SD | Range (#) |
|---|---|---|---|---|---|---|---|
| Dicorynia guianensis Amsh. | 19 | 61.79 b | 16.14 | 29–102.5 | 23.73 a | 14.46 | 3–60 |
| Eperua falcata Aubl. | 5 | 48.60 c | 18.56 | 31–75.5 | 23.75 a | 16.26 | 2–53 |
| Qualea rosea Aubl. | 10 | 71.55 a | 17.83 | 51.50–110 | 4.17 b | 3.49 | 1–11 |
| Species | Sprouts (s.d., N) | Saplings (s.d., N) | t | p |
|---|---|---|---|---|
| Height:Diameter | ||||
| Dicorynia | 139.8 (41.48, 18) | 126.6 (18.15, 10) | 1.2 | 0.26 |
| Eperua | 132.3 (54.71, 5) | 109.3 (27.26, 3) | 0.8 | 0.46 |
| Qualea | 116.9 (40.09, 9) | 123.2 (26.85, 21) | 0.4 | 0.67 |
| % Mass in Leaves | % Mass in Leaves | |||
| Dicorynia | 48.9 (12.34, 18) | 33.7 (13.91, 10) | 2.9 | 0.01 |
| Eperua | 43.4 (8.546, 5) | 16.3 (7.81, 3) | 4.6 | <0.01 |
| Qualea | 47.8 (8.836, 9) | 41.2 (12.63, 21) | 1.6 | 0.11 |
| % H2O in Leaves | % H2O in Leaves | |||
| Dicorynia | 64.4 (4.35, 13) | 59.07 (5.82, 6) | 2.0 | 0.08 |
| Eperua | 52.756 (3.36, 5) | 57.121 (7.24, 3) | 1.0 | 0.41 |
| Qualea | 67.397 (8.79, 5) | 67.281 (2.14, 5) | 0.1 | 0.98 |
| Leaf Area (cm2) | Leaf Area (cm2) | |||
| Dicorynia | 224.2 (73.30, 50) | 168.8 (20.39, 10) | 4.5 | <0.0001 |
| Eperua | 101.7 (45.27, 20) | 64.0 (20.73, 20) | 3.1 | <0.005 |
| Qualea | 65.1 (17.49, 25) | 70.2 (8.88, 14) | 1.2 | 0.23 |
| LMA (g m−2) | LMA (g m−2) | |||
| Dicorynia | 58.9 (11.49,50 ) | 57.7 ( 14.99, 10) | 0.3 | 0.08 |
| Eperua | 49.9 (21.09, 19) | 51.1 (30.94, 9) | 0.1 | 0.91 |
| Qualea | 73.5 (38.63, 25) | 77.4 (21.13, 14) | 0.4 | 0.68 |
| Wood Density (g cm−3) | Wood Density (g cm−3) | |||
| Dicorynia | 0.42 (0.06, 39) | 0.51 (0.08, 18) | 4.5 | <0.001 |
| Eperua | 0.50 (0.04, 15) | 0.59 (0.03, 9) | 6.3 | <0.01 |
| Qualea | 0.41 (0.10, 15) | 0.50 (0.07, 15) | 2.8 | 0.41 |
Publisher’s Note: MDPI stays neutral with regard to jurisdictional claims in published maps and institutional affiliations. |
© 2020 by the authors. Licensee MDPI, Basel, Switzerland. This article is an open access article distributed under the terms and conditions of the Creative Commons Attribution (CC BY) license (http://creativecommons.org/licenses/by/4.0/).
Share and Cite
Ramdial, D.; Sewdien, A.; Rasdan, J.; Critchlow, S.; Tjong-A-Hung, N.; Ospina, A.; Wortel, V.; Putz, F.E. Stump Sprout Characteristics of Three Commercial Tree Species in Suriname. Forests 2020, 11, 1130. https://doi.org/10.3390/f11111130
Ramdial D, Sewdien A, Rasdan J, Critchlow S, Tjong-A-Hung N, Ospina A, Wortel V, Putz FE. Stump Sprout Characteristics of Three Commercial Tree Species in Suriname. Forests. 2020; 11(11):1130. https://doi.org/10.3390/f11111130
Chicago/Turabian StyleRamdial, Donna, Artie Sewdien, Jerry Rasdan, Shermaine Critchlow, Noraisah Tjong-A-Hung, Alejandra Ospina, Verginia Wortel, and Francis E Putz. 2020. "Stump Sprout Characteristics of Three Commercial Tree Species in Suriname" Forests 11, no. 11: 1130. https://doi.org/10.3390/f11111130
APA StyleRamdial, D., Sewdien, A., Rasdan, J., Critchlow, S., Tjong-A-Hung, N., Ospina, A., Wortel, V., & Putz, F. E. (2020). Stump Sprout Characteristics of Three Commercial Tree Species in Suriname. Forests, 11(11), 1130. https://doi.org/10.3390/f11111130

