An Approach for Modeling and Quantifying Traffic-Induced Processes and Changes in Forest Road Aggregate Particle-Size Distributions
Abstract
1. Introduction
2. Materials and Methods
3. Results and Discussion
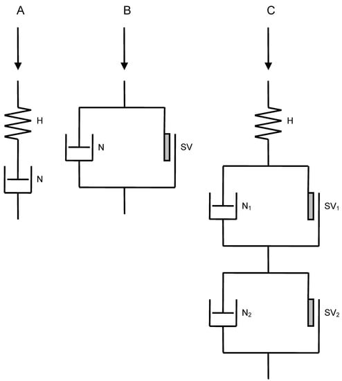
3.1. Modeling the Traffic-Induced Processes
3.1.1. Crushing
3.1.2. Subgrade Mixing
3.1.3. Sweeping
3.2. Comparison of the Model Results with Observed Particle Size Distributions
3.2.1. Comparison Using Initial Models
3.2.2. Modified Models to Fit Observed Particle Size Distributions
3.3. Soil Rheological Models with Traffic-Induced Processes
3.4. Sediment Production from the Traffic-Induced Processes
4. Conclusions
Supplementary Materials
Author Contributions
Funding
Acknowledgments
Conflicts of Interest
References
- Coghlan, G.; Sowa, R. National Forest Road System and Use; US Department of Agriculture, Forest Service, Engineering Staff: Washington, DC, USA, 1998.
- USDA Forest Service Road Management Website. Available online: https://www.fs.fed.us/eng/road_mgt/index.shtml (accessed on 1 July 2019).
- Bolander, P.; Marocco, D.; Kennedy, R. Earth and Aggregate Surfacing Design Guide for Low Volume Roads; Engineering Staff EM-7170-16; US Department of Agriculture, Forest Service: Washington, DC, USA, 1996; p. 24.
- Turner, S.K.; Hutchinson, K. Forest Service Specifications for Construction of Roads and Bridges, revised ed.; Engineering Staff EM-7720-100; US Department of Agriculture, Forest Service: Washington, DC, USA, 1996; pp. 495–513.
- Wikipedia. Construction Aggregate. Available online: https://en.wikipedia.org/wiki/Construction_aggregate (accessed on 1 July 2019).
- Thompson, M.; Sessions, J. Optimal policies for aggregate recycling from decommissioned forest roads. Environ. Manag. 2008, 42, 297–309. [Google Scholar] [CrossRef] [PubMed]
- Swift, L.W. Gravel and grass surfacing reduces soil loss from mountain roads. For. Sci. 1984, 30, 657–670. [Google Scholar]
- Kochenderfer, J.N.; Helvey, J.D. Using gravel to reduce soil losses from minimum-standard forest roads. J. Soil Water Conserv. 1987, 42, 46–50. [Google Scholar]
- Bilby, R.E.; Sullivan, K.; Duncan, S.H. The generation and fate of road-surface sediment in forested watershed in southwestern Washington. For. Sci. 1989, 35, 453–468. [Google Scholar]
- Larcombe, G. Forest Roading Manual; Liro Forestry Solutions: Rotorua, New Zealand, 1999; pp. 168–173, 284. [Google Scholar]
- Rhee, H.; Fridley, J.L.; Page-Dumroese, D.S. Traffic-induced changes and processes in forest road aggregate particle-size distributions. Forests 2018, 9, 181. [Google Scholar] [CrossRef]
- Luce, C.H.; Black, T.A. Effects of traffic and ditch maintenance on forest road sediment production. In Proceedings of the Seventh Federal Interagency Sedimentation Conference, Reno, NV, USA, 25–29 March 2001; Subcommittee on Sedimentation: Washington, DC, USA, 2001; pp. V67–V74. [Google Scholar]
- Ziegler, A.D.; Sutherland, R.A.; Giambelluca, T.W. Interstorm surface preparation and sediment detachment by vehicle traffic on unpaved mountain roads. Earth Surf. Proc. Landf. 2001, 26, 235–250. [Google Scholar] [CrossRef]
- Sheridan, G.J.; Noske, P.J.; Whipp, R.K.; Wijesinghe, N. The effect of truck traffic and road water content on sediment delivery from unpaved forest roads. Hydrol. Process. 2006, 20, 1683–1699. [Google Scholar] [CrossRef]
- Reid, L.M.; Dunne, T. Sediment production from forest road surfaces. Water Resour. Res. 1984, 20, 1753–1761. [Google Scholar] [CrossRef]
- Ramos-Scharrón, C.E.; MacDonald, L.H. Measurement and prediction of sediment production from unpaved roads, St John, US Virgin Islands. Earth Surf. Proc. Landf. 2005, 30, 1283–1304. [Google Scholar] [CrossRef]
- Toman, E.M.; Skaugset, A.E. Reducing sediment production from forest roads during wet-weather hauling. Transp. Res. Rec. 2011, 2203, 13–19. [Google Scholar] [CrossRef]
- Foltz, R.B. Environmental impacts of forest roads: An overview of the state of the knowledge. In Proceedings of the Second International Forest Engineering Conference, Växjö, Sweden, 12–15 May 2003; Wide, M.I., Baryd, B., Eds.; Skogforsk: Uppsala, Sweden, 2003; pp. 121–128. [Google Scholar]
- Foltz, R.B.; Evans, G.L.; Truebe, M. Relationship of forest road aggregate test properties to sediment production. In Proceedings of the Conference on Watershed Management and Operation Management 2000, Fort Collins, CO, USA, 20–24 June 2000; Flug, M., Donald, F., Watkins, D.W., Eds.; American Society of Civil Engineers (ASCE): Reston, VA, USA, 2000. [Google Scholar]
- Foltz, R.B.; Truebe, M. Effect of aggregate quality on sediment production from a forest road. In Proceedings of the Sixth International Conference on Low-Volume Roads, Minneapolis, MN, USA, 25–29 June 1995; National Academy Press: Washington, DC, USA, 1995; pp. 49–57. [Google Scholar]
- Foltz, R.B.; Truebe, M. Locally available aggregate and sediment production. Transp. Res. Rec. 2003, 1819, 185–193. [Google Scholar] [CrossRef]
- Foltz, R.B.; Burroughs, E.R. A test of normal tire pressure and reduced tire pressure on forest roads: Sedimentation effects. In Forestry and Environment Engineering Solutions, Proceedings of 1991 Conference, New Orleans, LA, USA, 5–6 June 1991; Stokes, B.J., Rawlins, C.L., Eds.; American Society of Agricultural Engineers (ASAE) Publication: St. Joseph, MI, USA, 1991; pp. 103–112. [Google Scholar]
- Foltz, R.B.; Elliot, W.J. Effect of lowered tire pressures on road erosion. Transp. Res. Rec. 1997, 1589, 19–25. [Google Scholar] [CrossRef]
- Parsakhoo, A.; Lotfalian, M.; Kavian, A.; Hosseini, S.A. Assessment of soil erodibility and aggregate stability for different parts of a forest road. J. For. Res. 2014, 25, 193–200. [Google Scholar] [CrossRef]
- Giuliani, F.; Autelitano, F.; Degiovanni, E.; Montepara, A. DEM modelling analysis of tree root growth in street pavements. Int. J. Pavement Eng. 2017, 18, 1–10. [Google Scholar] [CrossRef]
- Foltz, R.B.; Rhee, H.; Yanosek, K.A. Infiltration, erosion, and vegetation recovery following road obliteration. Trans. ASABE 2007, 50, 1937–1943. [Google Scholar] [CrossRef][Green Version]
- LINDO Systems Inc. What’s Best! LINDO Systems Inc.: Chicago, IL, USA, 2014; Available online: http://www.lindo.com (accessed on 11 March 2014).
- Weibull, W. A statistical theory of the strength of materials. Proc. R. Swed. Inst. Eng. Res. 1939, 151, 1–45. [Google Scholar]
- Lundborg, N. The strength-size relation of granite. Int. J. Rock Mech. Min. Sci. 1967, 4, 269–272. [Google Scholar] [CrossRef]
- Tang, C.A.; Tham, L.G.; Lee, P.K.K.; Tsui, Y.; Liu, H. Numerical studies of the influence of microstructure on rock failure in uniaxial compression—Part II: Constraint, slenderness and size effect. Int. J. Rock Mech. Min. Sci. 2000, 37, 571–583. [Google Scholar] [CrossRef]
- Schönert, K. The influence of particle bed configurations and confinements on particle breakage. Int. J. Miner. Process. 1996, 44–45, 1–16. [Google Scholar] [CrossRef]
- Tomas, J.; Schreier, M.; Gröger, T.; Ehlers, S. Impact crushing of concrete for liberation and recycling. Powder Technol. 1999, 105, 39–51. [Google Scholar] [CrossRef]
- Unland, G.; Szczelina, P. Coarse crushing of brittle rocks by compression. Int. J. Miner. Process. 2004, 74, S209–S217. [Google Scholar] [CrossRef]
- Lundborg, N. Strength of rock-like materials. Int. J. Rock Mech. Min. Sci. 1968, 5, 427–454. [Google Scholar] [CrossRef]
- Šuklje, L. Rheological Aspects of Soil Mechanics; Wiley-Interscience: London, UK, 1969; pp. 24–41. ISBN 0471835501. [Google Scholar]
- Vyalov, S.S. Rheological Fundamentals of Soil Mechanics; Elsevier: New York, USA, 1986; pp. 221–229. ISBN 0444422234. [Google Scholar]
- Giummarra, G.; McRobert, J.; Robinson, P. Unsealed Roads Manual: Guidelines to Good Practice, revised ed.; ARRB Transport Research Ltd.: Vermont South, VIC, Australia, 2000. [Google Scholar]
- Skorseth, K.; Selim, A.A. Gravel Roads: Maintenance and Design Manual; South Dakota Transportation Assistance Program (SD LTAP); US Department of Transportation, Federal Highway Administration: Washington, DC, USA, 2000; pp. 30–32. Available online: https://www.epa.gov/sites/production/files/2015-10/documents/2003_07_24_nps_gravelroads_gravelroads.pdf (accessed on 1 July 2019).
- Costantini, A.; Loch, R.J.; Connolly, R.D.; Garthe, R. Sediment generation from forest roads: Bed and eroded size distributions, and runoff management strategies. Aust. J. Soil Res. 1999, 37, 947–964. [Google Scholar] [CrossRef]
- Croke, J.; Mockler, S.; Hairsine, P.; Fogarty, P. Relative contributions of runoff and sediment from sources within a road prism and implications for total sediment delivery. Earth Surf. Proc. Landf. 2006, 31, 457–468. [Google Scholar] [CrossRef]
- Sheridan, G.J.; Noske, P.J. A quantitative study of sediment delivery and stream pollution from different forest road types. Hydrol. Process. 2007, 21, 387–398. [Google Scholar] [CrossRef]
- Bilby, R.E. Contributions of road surface sediment to a western Washington stream. For. Sci. 1985, 31, 827–838. [Google Scholar]





| Item | Crushing | Subgrade Mixing | Sweeping | ||
|---|---|---|---|---|---|
| Sweeping-Out | Sweeping-In | ||||
| Control volume | Breakdown of material | Yes | No | No | No |
| Material-in | No | Small-size particles | No | Large-size particles | |
| Material-out | No | No | Large-size particles | No | |
| Changes in PSD curve 1 | Shift direction | Right-up | Right-up | Right-up | Left-down |
| Major change in particle size | Medium-size | Medium- and small-size | Large- and medium-sizes | Medium-size | |
| Process occurring location | Vertical layer | Surface first, then downward | Bottom first, then upward | Only surface | Only surface |
| Horizontal location | Tire track | Tire track | Tire track | Shoulder | |
© 2019 by the authors. Licensee MDPI, Basel, Switzerland. This article is an open access article distributed under the terms and conditions of the Creative Commons Attribution (CC BY) license (http://creativecommons.org/licenses/by/4.0/).
Share and Cite
Rhee, H.; Fridley, J.; Chung, W.; Page-Dumroese, D. An Approach for Modeling and Quantifying Traffic-Induced Processes and Changes in Forest Road Aggregate Particle-Size Distributions. Forests 2019, 10, 769. https://doi.org/10.3390/f10090769
Rhee H, Fridley J, Chung W, Page-Dumroese D. An Approach for Modeling and Quantifying Traffic-Induced Processes and Changes in Forest Road Aggregate Particle-Size Distributions. Forests. 2019; 10(9):769. https://doi.org/10.3390/f10090769
Chicago/Turabian StyleRhee, Hakjun, James Fridley, Woodam Chung, and Deborah Page-Dumroese. 2019. "An Approach for Modeling and Quantifying Traffic-Induced Processes and Changes in Forest Road Aggregate Particle-Size Distributions" Forests 10, no. 9: 769. https://doi.org/10.3390/f10090769
APA StyleRhee, H., Fridley, J., Chung, W., & Page-Dumroese, D. (2019). An Approach for Modeling and Quantifying Traffic-Induced Processes and Changes in Forest Road Aggregate Particle-Size Distributions. Forests, 10(9), 769. https://doi.org/10.3390/f10090769

