Abiotic Parameters and Pedogenesis as Controlling Factors for Soil C and N Cycling Along an Elevational Gradient in a Subalpine Larch Forest (NW Italy)
Abstract
1. Introduction
2. Materials and Methods
2.1. Study Area
2.2. Soil and Soil Solution Sampling and Laboratory Analysis
2.3. Ancillary Measurement
2.4. Statistical Analysis
3. Results
3.1. Weather Conditions in the Study Area in 2015 and 2016
3.2. Abiotic Variables in the Study Sites
3.3. Soil Profile Characteristics
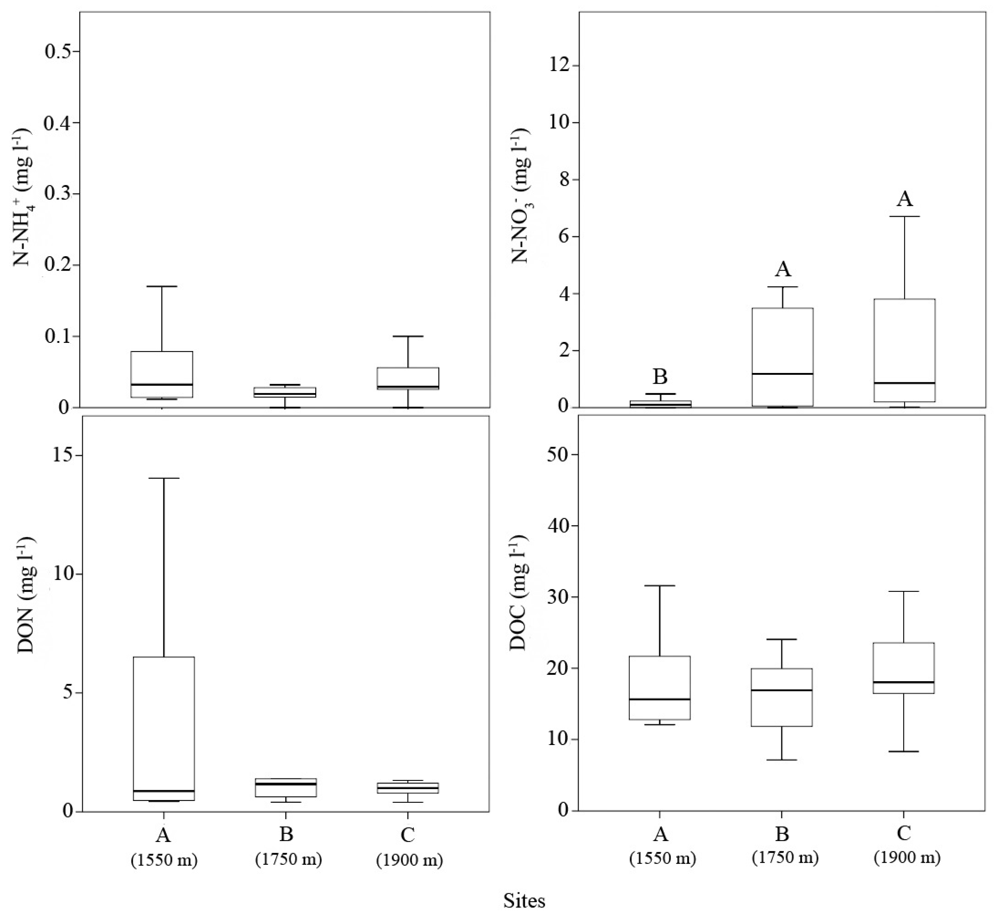
3.4. Soil and Soil Solution C and N Forms along the Elevation Gradient
3.5. Interaction between Soil and Soil Solution Chemistry
3.6. Influence of Abiotic Factors on C and N Forms
4. Discussion
4.1. Pedogenesis along the Elevation Gradient
4.2. C and N Forms along the Elevation Gradient
4.3. Abiotic Drivers of Soil C and N Forms
5. Conclusions
Author Contributions
Funding
Acknowledgments
Conflicts of Interest
References
- Team, C.W.; Pachauri, R.K.; Meyer, L.A. Climate Change 2014: Synthesis Report. Contribution of Working Groups I, II and III to the Fifth Assessment Report of the Intergovernmental Panel on Climate Change; IPCC: Geneva, Switzerland, 2014; p. 151. [Google Scholar]
- Dahlgren, R.A.; Boettinger, J.L.; Huntington, G.L.; Amundson, R.G. Soil development along an elevational transect in the western Sierra Nevada, California. Geoderma 1997, 78, 207–236. [Google Scholar]
- Hayhoe, K.; Wake, C.P.; Huntington, T.G.; Luo, L.; Schwartz, M.D.; Sheffield, J.; Wood, E.; Anderson, B.; Bradbury, J.; DeGaetano, A. Past and future changes in climate and hydrological indicators in the US Northeast. Clim. Dyn. 2007, 28, 381–407. [Google Scholar]
- Campbell, J.L.; Ollinger, S.V.; Flerchinger, G.N.; Wicklein, H.; Hayhoe, K.; Bailey, A.S. Past and projected future changes in snowpack and soil frost at the Hubbard Brook Experimental Forest, New Hampshire, USA. Hydrol. Process. 2010, 24, 2465–2480. [Google Scholar]
- Gil-Sotres, F.; Trasar-Cepeda, C.; Leirós, M.C.; Seoane, S. Different approaches to evaluating soil quality using biochemical properties. Soil Biol. Biochem. 2005, 37, 877–887. [Google Scholar]
- De Feudis, M.; Cardelli, V.; Massaccesi, L.; Lagomarsino, A.; Fornasier, F.; Westphalen, D.; Cocco, S.; Corti, G.; Agnelli, A. Influence of Altitude on Biochemical Properties of European Beech (Fagus sylvatica L.) Forest Soils. Forests 2017, 8, 213. [Google Scholar]
- Magnani, A.; Viglietti, D.; Balestrini, R.; Williams, M.W.; Freppaz, M. Contribution of deeper soil horizons to N and C cycling during the snow-free season in alpine tundra, NW Italy. Catena 2017, 155, 75–85. [Google Scholar]
- Pomeroy, J.W.; Brun, E. Physical properties of snow. In Snow Ecology: An Interdisciplinary Examination of Snow-Covered Ecosystems; Cambridge University Press: Cambridge, UK, 2001; p. 126. [Google Scholar]
- Edwards, A.C.; Scalenghe, R.; Freppaz, M. Changes in the seasonal snow cover of alpine regions and its effect on soil processes: A review. Quat. Int. 2007, 162–163, 172–181. [Google Scholar]
- Schaetzl, R.J.; Isard, S.A. Regional-scale relationships between climate and strength of podzolization in the Great Lakes Region, North America. Catena 1996, 28, 47–69. [Google Scholar]
- Egli, M.; Mirabella, A.; Sartori, G.; Giaccai, D.; Zanelli, R.; Plötze, M. Effect of slope aspect on transformation of clay minerals in Alpine soils. Clay Miner. 2007, 42, 373–398. [Google Scholar]
- Egli, M.; Mirabella, A.; Sartori, G. The role of climate and vegetation in weathering and clay mineral formation in late Quaternary soils of the Swiss and Italian Alps. Geomorphology 2008, 102, 307–324. [Google Scholar]
- Burns, S.F.; Tonkin, P.J. Soil-geomorphic models and the spatial distribution and development of alpine soils. In Space and Time in Geomorphology; Allen and Unwin: London, UK, 1982; pp. 25–43. [Google Scholar]
- Rustad, L.E. The response of terrestrial ecosystems to global climate change: Towards an integrated approach. Sci. Total Environ. 2008, 404, 222–235. [Google Scholar] [PubMed]
- Djukic, I.; Zehetner, F.; Tatzber, M.; Gerzabek, M.H. Soil organic-matter stocks and characteristics along an Alpine elevation gradient. J. Plant Nutr. Soil Sci. 2010, 173, 30–38. [Google Scholar]
- Miralles, I.; Ortega, R.; Sánchez-Marañón, M.; Leirós, M.C.; Trasar-Cepeda, C.; Gil-Sotres, F. Biochemical properties of range and forest soils in Mediterranean mountain environments. Biol. Fertil. Soils 2007, 43, 721–729. [Google Scholar]
- Margesin, R.; Minerbi, S.; Schinner, F. Long-term monitoring of soil microbiological activities in two forest sites in South Tyrol in the Italian Alps. Microbes Environ. 2014, ME14050. [Google Scholar] [CrossRef]
- Xu, Z.; Yu, G.; Zhang, X.; Ge, J.; He, N.; Wang, Q.; Wang, D. The variations in soil microbial communities, enzyme activities and their relationships with soil organic matter decomposition along the northern slope of Changbai Mountain. Appl. Soil Ecol. 2015, 86, 19–29. [Google Scholar]
- Bolat, I.; Öztürk, M. Effects of altitudinal gradients on leaf area index, soil microbial biomass C and microbial activity in a temperate mixed forest ecosystem of Northwestern Turkey. iFor. Biogeosci. For. 2016, 10, 334. [Google Scholar]
- Gobiet, A.; Kotlarski, S.; Beniston, M.; Heinrich, G.; Rajczak, J.; Stoffel, M. 21st century climate change in the European Alps—A review. Sci. Total Environ. 2014, 493, 1138–1151. [Google Scholar]
- Croci Maspoli, M.; Fuhrer, J.; Schär, C.; Appenzeller, C.; Bey, I.; Knutti, R.; Kull, C. Swiss Climate Change Scenarios CH2011; ETH Zurich: Zurich, Switzerland, 2011; p. 88. [Google Scholar]
- Freppaz, M.; Celi, L.; Marchelli, M.; Zanini, E. Snow removal and its influence on temperature and N dynamics in alpine soils (Vallee d’Aoste, northwest Italy). J. Plant Nutr. Soil Sci. 2008, 171, 672–680. [Google Scholar]
- Boutin, R.; Robitaille, G. Increased soil nitrate losses under mature sugar maple trees affected by experimentally induced deep frost. Can. J. For. Res. 1995, 25, 588–602. [Google Scholar]
- Tierney, G.L.; Fahey, T.J.; Groffman, P.M.; Hardy, J.P.; Fitzhugh, R.D.; Driscoll, C.T. Soil freezing alters fine root dynamics in a northern hardwood forest. Biogeochemistry 2001, 56, 175–190. [Google Scholar]
- Groffman, P.M.; Hardy, J.P.; Driscoll, C.T.; Fahey, T.J. Snow depth, soil freezing, and fluxes of carbon dioxide, nitrous oxide and methane in a northern hardwood forest. Glob. Chang. Biol. 2006, 12, 1748–1760. [Google Scholar]
- Kvaernø, S.H.; Øygarden, L. The influence of freeze–thaw cycles and soil moisture on aggregate stability of three soils in Norway. Catena 2006, 67, 175–182. [Google Scholar]
- Herrmann, A.; Witter, E. Sources of C and N contributing to the flush in mineralization upon freeze-thaw cycles in soils. Soil Biol. Biochem. 2002, 34, 1495–1505. [Google Scholar]
- Dörsch, P.; Palojärvi, A.; Mommertz, S. Overwinter greenhouse gas fluxes in two contrasting agricultural habitats. Nutr. Cycl. Agroecosyst. 2004, 70, 117–133. [Google Scholar]
- Lipson, D.A.; Schmidt, S.K.; Monson, R.K. Carbon availability and temperature control the post-snowmelt decline in alpine soil microbial biomass. Soil Biol. Biochem. 2000, 32, 441–448. [Google Scholar]
- Grogan, P.; Michelsen, A.; Ambus, P.; Jonasson, S. Freeze-thaw regime effects on carbon and nitrogen dynamics in sub-arctic heath tundra mesocosms. Soil Biol. Biochem. 2004, 36, 641–654. [Google Scholar]
- Mitchell, M.J.; Driscoll, C.T.; Kahl, J.S.; Likens, G.E.; Murdoch, P.S.; Pardo, L.H. Climatic control of nitrate loss from forested watersheds in the northeast United States. Environ. Sci. Technol. 1996, 30, 2609–2612. [Google Scholar]
- Viglietti, D.; Freppaz, M.; Filippa, G.; Zanini, E. Soil C and N response to changes in winter precipitation in a subalpine forest ecosystem, NW Italy: Forest soil C and N response to changes of winter precipitation. Hydrol. Process. 2014, 28, 5309–5321. [Google Scholar]
- Jonas, T.; Rixen, C.; Sturm, M.; Stoeckli, V. How alpine plant growth is linked to snow cover and climate variability. J. Geophys. Res. Biogeosci. 2008, 113. [Google Scholar] [CrossRef]
- Peng, S.; Piao, S.; Ciais, P.; Fang, J.; Wang, X. Change in winter snow depth and its impacts on vegetation in China. Glob. Chang. Biol. 2010, 16, 3004–3013. [Google Scholar]
- Zhang, X.-C.; Liu, W.-Z. Simulating potential response of hydrology, soil erosion, and crop productivity to climate change in Changwu tableland region on the Loess Plateau of China. Agric. For. Meteorol. 2005, 131, 127–142. [Google Scholar]
- Mercalli, L.; Berro, D.C. Atlante Climatico Della Valle d’Aosta; SMS: Torino, Italy, 2003; Volume 2. [Google Scholar]
- FAO. World Reference Base for Soil Resources 2014: International Soil Classification System for Naming Soils and Creating Legends for Soil Maps; FAO: Rome, Italy, 2014; ISBN 978-9-25-108369-7. [Google Scholar]
- FAO. Guidelines for Soil Description, 4th ed.; Food and Agriculture Organization of the United Nations: Rome, Italy, 2006; ISBN 978-9-25-105521-2. [Google Scholar]
- Van Reeuwijk, L.P. Procedures for Soil Analysis, 6th ed.; Technical paper/International Soil Reference an Information Centre; International Soil Reference and Information Centre: Wageningen, The Netherlands, 2002; ISBN 978-9-06-672044-2. [Google Scholar]
- Nelson, N.S. An acid-persulfate digestion procedure for determination of phosphorus in sediments. Commun. Soil Sci. Plant Anal. 1987, 18, 359–369. [Google Scholar]
- Murphy, J.; Riley, J.P. A modified single solution method for the determination of phosphate in natural waters. Anal. Chim. Acta 1962, 27, 31–36. [Google Scholar]
- Brooks, P.D.; Williams, M.W.; Schmidt, S.K. Microbial activity under alpine snowpacks: Implications for immobilization of atmospheric N inputs. Biogeochemistry 1996, 32, 93–113. [Google Scholar]
- Brookes, P.C.; Landman, A.; Pruden, G.; Jenkinson, D.S. Chloroform fumigation and the release of soil nitrogen: A rapid direct extraction method to measure microbial biomass nitrogen in soil. Soil Biol. Biochem. 1985, 17, 837–842. [Google Scholar]
- Crooke, W.M.; Simpson, W.E. Determination of ammonium in Kjeldahl digests of crops by an automated procedure. J. Sci. Food Agric. 1971, 22, 9–10. [Google Scholar]
- Mulvaney, R.L. Nitrogen—Inorganic Forms. Methods Soil Analysis Part 3—Chemical Methods; SSSA: Madison, WI, USA, 1996; pp. 1123–1184. [Google Scholar]
- Cucu, M.A.; Said-Pullicino, D.; Maurino, V.; Bonifacio, E.; Romani, M.; Celi, L. Influence of redox conditions and rice straw incorporation on nitrogen availability in fertilized paddy soils. Biol. Fertil. Soils 2014, 50, 755–764. [Google Scholar]
- Barry, R.G.; Chorley, R.J. Atmosphere, Weather and Climate; Methuen & Co., Ltd.: London, UK, 1987; pp. 274–328. [Google Scholar]
- Danby, R.K.; Hik, D.S. Responses of white spruce (Picea glauca) to experimental warming at a subarctic alpine treeline. Glob. Chang. Biol. 2007, 13, 437–451. [Google Scholar]
- Phillips, A.J.; Newlands, N.K. Spatial and temporal variability of soil freeze-thaw cycling across Southern Alberta, Canada. Agric. Sci. 2011, 2, 392. [Google Scholar]
- Nielsen, C.B.; Groffman, P.M.; Hamburg, S.P.; Driscoll, C.T.; Fahey, T.J.; Hardy, J.P. Freezing effects on carbon and nitrogen cycling in northern hardwood forest soils. Soil Sci. Soc. Am. J. 2001, 65, 1723–1730. [Google Scholar]
- Hervé, M. Diverse Basic Statistical and Graphical Functions (RVAide Memoire). R Package. Available online: https://CRAN.R-project.org/package=RVAideMemoire (accessed on 10 June 2019).
- Fox, J.; Weisberg, S. Multivariate Linear Models in R. An appendix to An R Companion to Applied Regression; Sage Publications: Los Angeles/Thousand Oaks, CA, USA, 2011. [Google Scholar]
- Hothorn, T.; Bretz, F.; Westfall, P. Simultaneous inference in general parametric models. Biom. J. 2008, 50, 346–363. [Google Scholar] [PubMed]
- Breiman, L. Random forests. Mach. Learn. 2001, 45, 5–32. [Google Scholar]
- Liaw, A.; Wiener, M. Classification and regression by randomForest. R News 2002, 2, 18–22. [Google Scholar]
- Hastie, T.J.; Tibshirani, R.J. Monographs on statistics and applied probability. Gen. Addit. Models 1990, 43, 205–208. [Google Scholar]
- Austin, M.P.; Meyers, J.A. Current approaches to modelling the environmental niche of eucalypts: Implication for management of forest biodiversity. For. Ecol. Manag. 1996, 85, 95–106. [Google Scholar]
- Whittaker, R.H.; Buol, S.W.; Niering, W.A.; Havens, Y.H. A soil and vegetation pattern in the Santa Catalina Mountains, Arizona. Soil Sci. 1968, 105, 440–450. [Google Scholar]
- Mahaney, W.C. Late Quaternary stratigraphy and soils in the Wind River Mountains, western Wyoming. Quat. Soils 1978, 223–264. [Google Scholar]
- Laffan, M.D.; Daly, B.K.; Whitton, J.S. Soil patterns in weathering, clay translocation and podzolisation on hilly and steep land at port underwood, Marlborough Sounds, New Zealand: Classification and relation to landform and altitude. Catena 1989, 16, 251–268. [Google Scholar]
- Bockheim, J.G.; Munroe, J.S.; Douglass, D.; Koerner, D. Soil development along an elevational gradient in the southeastern Uinta Mountains, Utah, USA. Catena 2000, 39, 169–185. [Google Scholar]
- Van Breemen, N.; Lundström, U.S.; Jongmans, A.G. Do plants drive podzolization via rock-eating mycorrhizal fungi? Geoderma 2000, 94, 163–171. [Google Scholar]
- Van Schöll, L.; Kuyper, T.W.; Smits, M.M.; Landeweert, R.; Hoffland, E.; van Breemen, N. Rock-eating mycorrhizas: Their role in plant nutrition and biogeochemical cycles. Plant Soil 2008, 303, 35–47. [Google Scholar]
- Schaetzl, R.J.; Anderson, S. Soils: Genesis and Geomorphology; Cambridge University Press: Cambridge, UK, 2005; p. 833. [Google Scholar]
- Balestrini, R.; Di Martino, N.; Van Miegroet, H. Nitrogen cycling and mass balance for a forested catchment in the Italian Alps. Assessment of nitrogen status. Biogeochemistry 2006, 78, 97–123. [Google Scholar]
- Margesin, R.; Jud, M.; Tscherko, D.; Schinner, F. Microbial communities and activities in alpine and subalpine soils. FEMS Microbiol. Ecol. 2009, 67, 208–218. [Google Scholar] [PubMed]
- Cardelli, V.; De Feudis, M.; Fornasier, F.; Massaccesi, L.; Cocco, S.; Agnelli, A.; Weindorf, D.C.; Corti, G. Changes of topsoil under Fagus sylvatica along a small latitudinal-altitudinal gradient. Geoderma 2019, 344, 164–178. [Google Scholar]
- Siles, J.A.; Margesin, R. Abundance and diversity of bacterial, archaeal, and fungal communities along an altitudinal gradient in alpine forest soils: What are the driving factors? Microb. Ecol. 2016, 72, 207–220. [Google Scholar] [PubMed]
- Rapp, M.; Leornardi, S. Litter decomposition during one year in a holm oak (Quercus ilex) stand. Pedobiologia 1988, 32, 177–185. [Google Scholar]
- Berger, T.W.; Duboc, O.; Djukic, I.; Tatzber, M.; Gerzabek, M.H.; Zehetner, F. Decomposition of beech (Fagus sylvatica) and pine (Pinus nigra) litter along an Alpine elevation gradient: Decay and nutrient release. Geoderma 2015, 251, 92–104. [Google Scholar] [PubMed]
- Ugolini, F.C.; Dahlgreen, R. The mechanism of podzolization as revealed by soil solution studies. In Proceedings of the Podzols et Podzolisation: Table Ronde Internationale, Poitiers, France, 10–11 April 1986; INRA: Paris, France, 1987. [Google Scholar]
- Egli, M.; Sartori, G.; Mirabella, A.; Favilli, F.; Giaccai, D.; Delbos, E. Effect of north and south exposure on organic matter in high Alpine soils. Geoderma 2009, 149, 124–136. [Google Scholar]
- Lundström, U.S.; van Breemen, N.; Bain, D. The podzolization process. A review. Geoderma 2000, 94, 91–107. [Google Scholar]
- Certini, G.; Ugolini, F.C.; Corti, G.; Agnelli, A. Early stages of podzolization under Corsican pine (Pinus nigra Arn. ssp. laricio). Geoderma 1998, 83, 103–125. [Google Scholar]
- Creed, I.F.; Band, L.E.; Foster, N.W.; Morrison, I.K.; Nicolson, J.A.; Semkin, R.S.; Jeffries, D.S. Regulation of Nitrate-N Release from Temperate Forests: A Test of the N Flushing Hypothesis. Water Resour. Res. 1996, 32, 3337–3354. [Google Scholar]
- Kalbitz, K.; Solinger, S.; Park, J.-H.; Michalzik, B.; Matzner, E. Controls on the dynamics of dissolved organic matter in soils: A review. Soil Sci. 2000, 165, 277–304. [Google Scholar]
- Groffman, P.M.; Hardy, J.P.; Fashu-Kanu, S.; Driscoll, C.T.; Cleavitt, N.L.; Fahey, T.J.; Fisk, M.C. Snow depth, soil freezing and nitrogen cycling in a northern hardwood forest landscape. Biogeochemistry 2011, 102, 223–238. [Google Scholar]
- Gougoulias, C.; Clark, J.M.; Shaw, L.J. The role of soil microbes in the global carbon cycle: Tracking the below-ground microbial processing of plant-derived carbon for manipulating carbon dynamics in agricultural systems. J. Sci. Food Agric. 2014, 94, 2362–2371. [Google Scholar] [PubMed]
- Larsen, K.S.; Jonasson, S.; Michelsen, A. Repeated freeze–thaw cycles and their effects on biological processes in two arctic ecosystem types. Appl. Soil Ecol. 2002, 21, 187–195. [Google Scholar]
- Lipson, D.A.; Schmidt, S.K.; Monson, R.K. Links between microbial population dynamics and nitrogen availability in an alpine ecosystem. Ecology 1999, 80, 1623–1631. [Google Scholar]
- Balestrini, R.; Delconte, C.A.; Buffagni, A.; Fumagalli, A.; Freppaz, M.; Buzzetti, I.; Calvo, E. Dynamic of nitrogen and dissolved organic carbon in an alpine forested catchment: Atmospheric deposition and soil solution trends. Nat. Conserv. 2019, 34, 41. [Google Scholar]
- Brooks, P.D.; Williams, M.W. Snowpack controls on nitrogen cycling and export in seasonally snow-covered catchments. Hydrol. Process. 1999, 13, 14. [Google Scholar]
- Freppaz, M.; Williams, B.L.; Edwards, A.C.; Scalenghe, R.; Zanini, E. Simulating soil freeze/thaw cycles typical of winter alpine conditions: Implications for N and P availability. Appl. Soil Ecol. 2007, 35, 247–255. [Google Scholar]
- Filippa, G.; Freppaz, M.; Williams, M.W.; Zanini, E. Major element chemistry in inner alpine snowpacks (Aosta Valley Region, NW Italy). Cold Reg. Sci. Technol. 2010, 64, 158–166. [Google Scholar]
- Sahrawat, K.L. Factors Affecting Nitrification in Soils. Commun. Soil Sci. Plant Anal. 2008, 39, 1436–1446. [Google Scholar]
- Campbell, J.L.; Reinmann, A.B.; Templer, P.H. Soil freezing effects on sources of nitrogen and carbon leached during snowmelt. Soil Sci. Soc. Am. J. 2014, 78, 297–308. [Google Scholar]
- Hood, E.; Battin, T.J.; Fellman, J.; O’neel, S.; Spencer, R.G. Storage and release of organic carbon from glacier and ice sheet. Nat. Geosci. 2015, 8, 91. [Google Scholar]
- Schindlbacher, A.; Jandl, R.; Schindlbacher, S. Natural variations in snow cover do not affect the annual soil CO2 efflux from a mid-elevation temperate forest. Glob. Chang. Biol. 2014, 20, 622–632. [Google Scholar] [PubMed]
- Haei, M.; Öquist, M.G.; Ilstedt, U.; Laudon, H. The influence of soil frost on the quality of dissolved organic carbon in a boreal forest soil: Combining field and laboratory experiments. Biogeochemistry 2012, 107, 95–106. [Google Scholar]







| Year | Season | Maximum Snow Depth | Cumulative Snowfalls | Liquid Precipitation | Tair |
|---|---|---|---|---|---|
| 2015 | Autumn (SON) | 84 | 98 | 59 | 4.7 |
| Winter (DJF) | 177 | 223 | 0 | −2.1 | |
| Spring (MAM) | 188 | 110 | 36 | 3.8 | |
| Summer (JJA) | 0 | 0 | 411 | 13.3 | |
| 2016 | Autumn (SON) | 34 | 48 | 92 | 5.2 |
| Winter (DJF) | 117 | 169 | 0 | −0.3 | |
| Spring (MAM) | 118 | 129 | 42 | 1.7 | |
| Summer (JJA) | 0 | 0 | 192 | 12.3 |
| Snow-Covered Season | Snow-Free Season | ||||
|---|---|---|---|---|---|
| Site | Year | a MST (°C) | b MVWC (%) | a MST (°C) | b MVWC (%) |
| A | 2015 | 1.6 | 33 | 10.2 | 31.8 |
| 2016 | 2.5 | 35.1 | 10.7 | 31.9 | |
| B | 2015 | 0.6 | 46 | 10.4 | 39 |
| 2016 | 2.1 | 41.3 | 11.1 | 39.5 | |
| C | 2015 | 0.4 | 18.6 | 9.7 | 23.5 |
| 2016 | 1.8 | 33.1 | 10.3 | 28.7 | |
| Site | Year | SCD (days) | FTCs (number) | ISF (°C) | DSF (days) | Date of SF (days) |
|---|---|---|---|---|---|---|
| A | 2015 | 131 | 0 | - | - | - |
| 2016 | 99 | 2 | −0.1 | 10 | January 21, 2016–January 29, 2016; April 5, 2016 | |
| B | 2015 | 151 | 1 | −0.5 | 42 | December 27, 2014–February 8, 2015 |
| 2016 | 125 | 3 | −0.7 | 61 | January 15, 2016–March 4, 2016; March 27, 2016; March 30, 2016–April 11, 2016 | |
| C | 2015 | 166 | 1 | −0.8 | 64 | December 26, 2014–February 27, 2015 |
| 2016 | 127 | 2 | −0.8 | 91 | January 5, 2016–January 10, 2016; January 14, 2016–April 11, 2016 |
| Soil (WRBa) | Altitude (m a.s.l.) | Slope and aspect | Horizons | Depth | pH | CEC (Meq 100g−1) | BS (%) | Fed (g/kg) | Feo (g/kg) | Fed-Feo | Feo/Fed | Alo (g/kg) | 0.5*Feo + Alo (%) | TOC (%) | TN (%) | C/N | Polsen (mg/kg) | Ptot (mg/kg) |
|---|---|---|---|---|---|---|---|---|---|---|---|---|---|---|---|---|---|---|
| Skeletic Dystric Cambisol (Humic) | 1550 | 20° West | A | 0–5 | 3.7 | 19.55 | 13.55 | 20.47 | 9.27 | 11.21 | 0.45 | 1.70 | 0.63 | 5.58 | 0.28 | 20 | 18.01 | 608.98 |
| AB | 5–17 | 3.8 | 20.12 | 5.69 | 25.41 | 5.34 | 20.07 | 0.21 | 2.81 | 0.55 | 3.83 | 0.22 | 17 | 14.99 | 544.74 | |||
| Bw1 | 17–35 | 4.1 | 16.59 | 4.33 | 26.85 | 7.15 | 19.71 | 0.27 | 2.92 | 0.65 | 2.55 | 0.13 | 20 | 7.85 | 571.46 | |||
| Bw2 | 35–60 | 5 | 7.58 | 4.00 | 22.48 | 7.07 | 15.42 | 0.31 | 3.35 | 0.69 | 1.07 | 0.06 | 18 | 4.20 | 508.85 | |||
| Skeletic Dystric Cambisol (Humic) | 1750 | 20° West | A | 0–15 | 4.6 | 13.06 | 3.92 | 23.15 | 8.45 | 14.70 | 0.36 | 2.34 | 0.66 | 2.94 | 0.17 | 17 | 6.96 | 547.79 |
| Bw | 15–30 | 4.6 | 16.25 | 5.89 | 28.44 | 10.51 | 17.93 | 0.37 | 2.59 | 0.78 | 1.9 | 0.12 | 16 | 5.03 | 621.74 | |||
| BC | 30–50 | 4.5 | 13.07 | 3.08 | 33.24 | 9.45 | 23.79 | 0.28 | 2.88 | 0.76 | 1.51 | 0.1 | 15 | 4.27 | 668.55 | |||
| Skeletic Albic Podzol | 1900 | 20° West | A | 0–5 | 4.1 | 20.89 | 18 | 5.88 | 1.56 | 4.33 | 0.26 | 1.41 | 0.22 | 6.59 | 0.37 | 18 | 19.58 | 507.92 |
| AE | 5–15 | 4 | 15.73 | 7.43 | 7.36 | 2.40 | 4.97 | 0.33 | 1.54 | 0.27 | 2.07 | 0.14 | 15 | 10.28 | 253.96 | |||
| BE | 15–25 | 4.2 | 17.16 | 3.49 | 14.76 | 8.48 | 6.29 | 0.57 | 2.77 | 0.70 | 1.98 | 0.13 | 15 | 10.50 | 328.09 | |||
| Bs | 25–38 | 4.7 | 19.3 | 1.7 | 27.05 | 21.05 | 6.01 | 0.78 | 7.29 | 1.78 | 2.69 | 0.14 | 19 | 4.81 | 499.90 |
| SCD (days) | FTCs (number) | ISF (°C) | DSF (days) | MST (°C) | VWC (%) | |
|---|---|---|---|---|---|---|
| N-NO3− (mg kg−1) | 1(−/+) | - | 4(+) | - | 3(-) | 2(-) |
| N-NH4+ (mg kg−1) | - | - | 3(-) | 1(+) | 4(-) | 2(-) |
| DON (mg kg−1) | 2(−) | 4(+) | - | 1(+) | 3(+/−) | - |
| DOC (mg kg−1) | 5(+/−) | - | 4(−/+) | 1(+) | 3(-) | 2(-) |
| Nmicr (mg kg−1) | - | 5(-) | 4(−/+) | 3(+) | 2(+/−) | 1(-) |
| Cmicr (mg kg−1) | 4 (-) | 5(+) | 6(-) | 1(+) | 2(+/−) | 3(+/−) |
| N-NO3− (mg L−1) | 2(+) | - | - | 3(+/−) | - | 1(-) |
| N-NH4+ (mg L−1) | - | - | - | - | 1(-) | - |
| DON (mg L1) | - | 2(-) | 1(+) | 3(-) | - | - |
| DOC (mg L−1) | 1(+) | - | - | - | - | - |
© 2019 by the authors. Licensee MDPI, Basel, Switzerland. This article is an open access article distributed under the terms and conditions of the Creative Commons Attribution (CC BY) license (http://creativecommons.org/licenses/by/4.0/).
Share and Cite
Pintaldi, E.; Viglietti, D.; D’Amico, M.E.; Magnani, A.; Freppaz, M. Abiotic Parameters and Pedogenesis as Controlling Factors for Soil C and N Cycling Along an Elevational Gradient in a Subalpine Larch Forest (NW Italy). Forests 2019, 10, 614. https://doi.org/10.3390/f10080614
Pintaldi E, Viglietti D, D’Amico ME, Magnani A, Freppaz M. Abiotic Parameters and Pedogenesis as Controlling Factors for Soil C and N Cycling Along an Elevational Gradient in a Subalpine Larch Forest (NW Italy). Forests. 2019; 10(8):614. https://doi.org/10.3390/f10080614
Chicago/Turabian StylePintaldi, Emanuele, Davide Viglietti, Michele Eugenio D’Amico, Andrea Magnani, and Michele Freppaz. 2019. "Abiotic Parameters and Pedogenesis as Controlling Factors for Soil C and N Cycling Along an Elevational Gradient in a Subalpine Larch Forest (NW Italy)" Forests 10, no. 8: 614. https://doi.org/10.3390/f10080614
APA StylePintaldi, E., Viglietti, D., D’Amico, M. E., Magnani, A., & Freppaz, M. (2019). Abiotic Parameters and Pedogenesis as Controlling Factors for Soil C and N Cycling Along an Elevational Gradient in a Subalpine Larch Forest (NW Italy). Forests, 10(8), 614. https://doi.org/10.3390/f10080614

