Production and Regression Models for Biomass and Carbon Captured in Gmelina arborea Roxb. Trees in Short Rotation Coppice Plantations in Costa Rica
Abstract
1. Introduction
2. Methodology
2.1. Conditions and Sampling of the Plantation
2.2. Determination of Biomass Productivity
2.3. Calculation of Captured Carbon
2.4. Regression Models for Biomass Production and CC
2.5. Statistical Analysis
3. Results
3.1. Morphological Development (Diameter and Height)
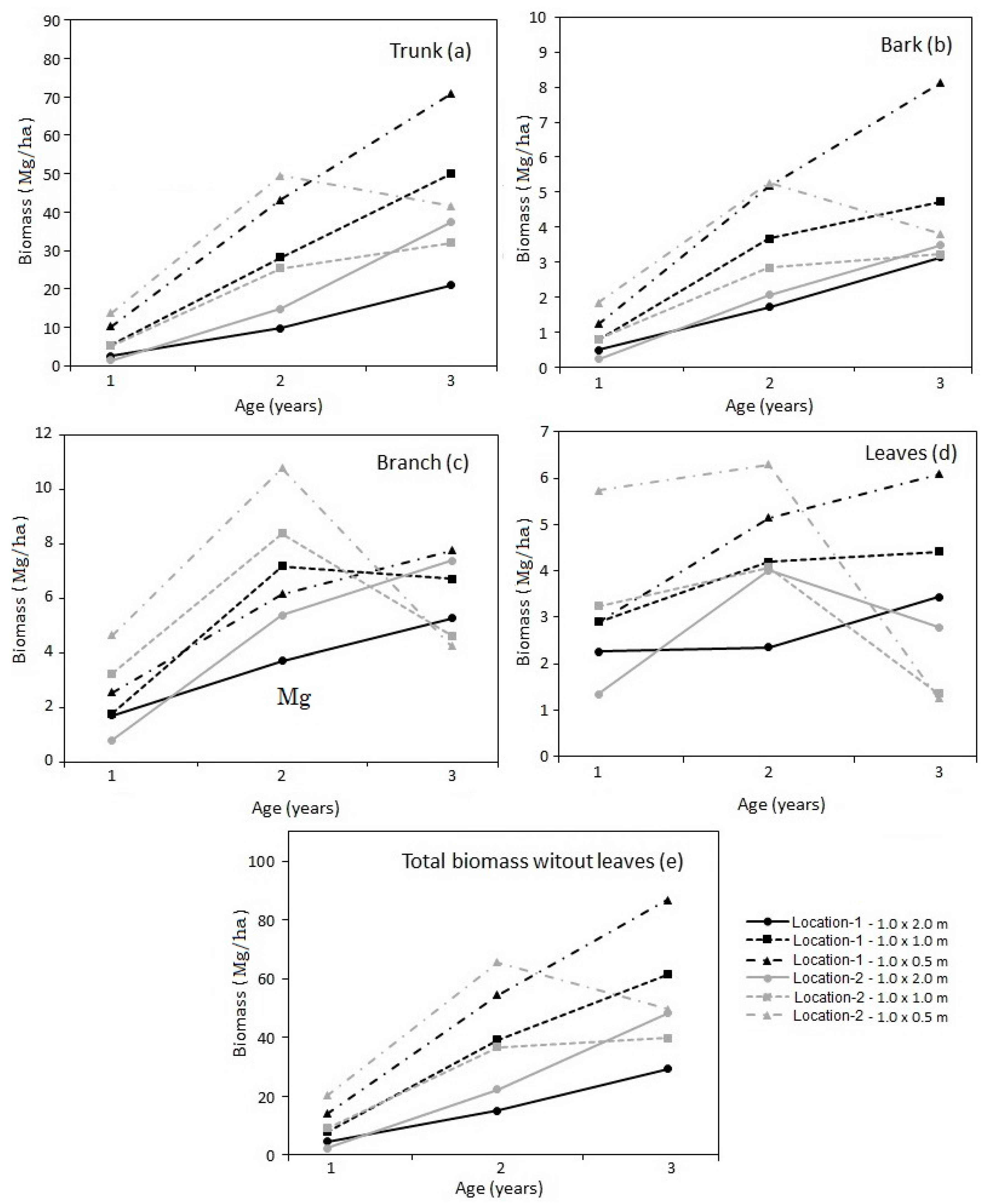
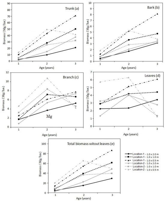
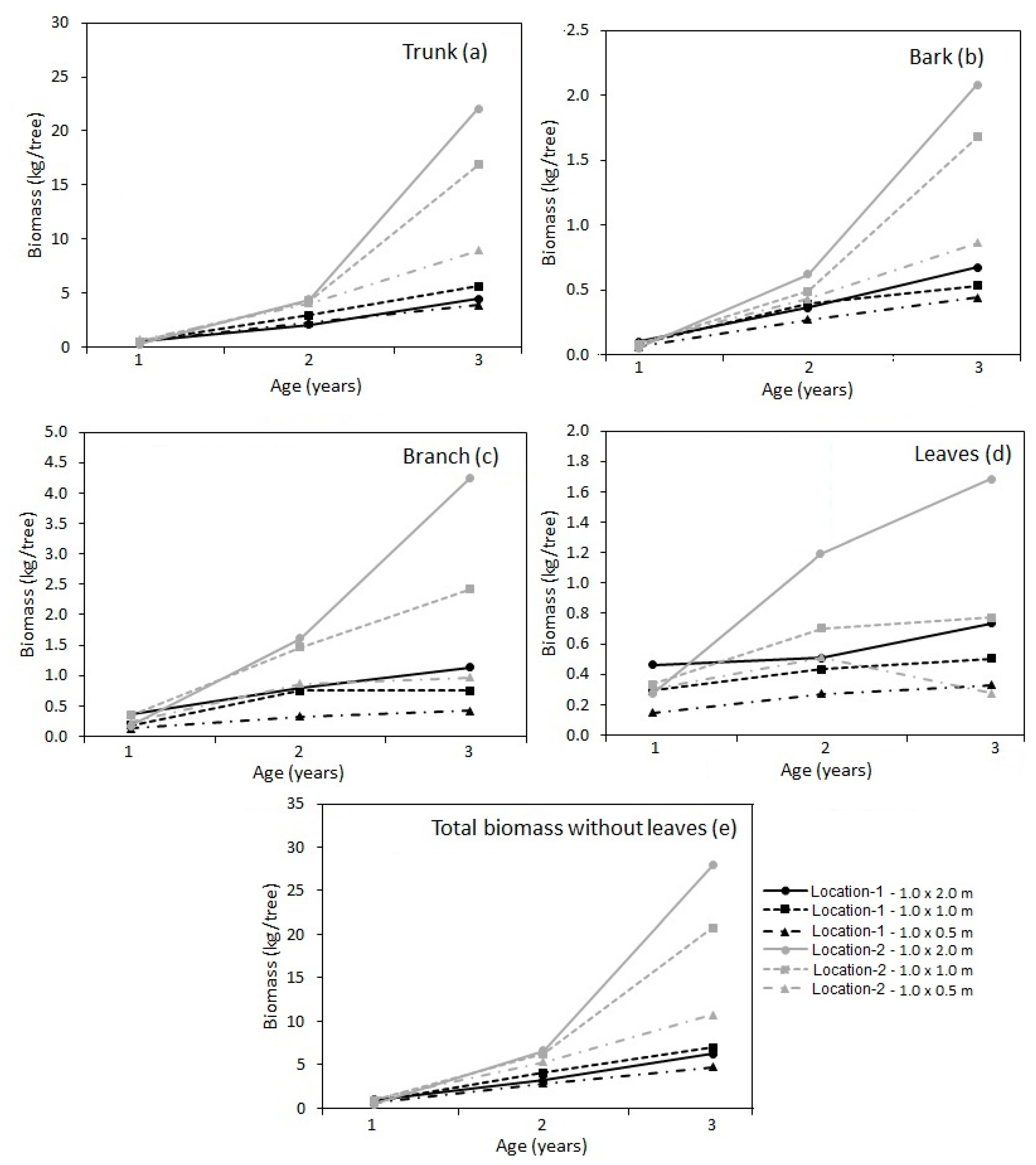
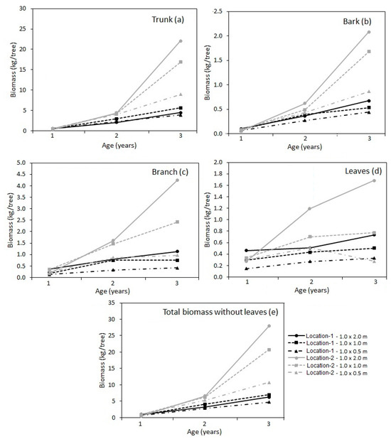
3.2. Biomass Production
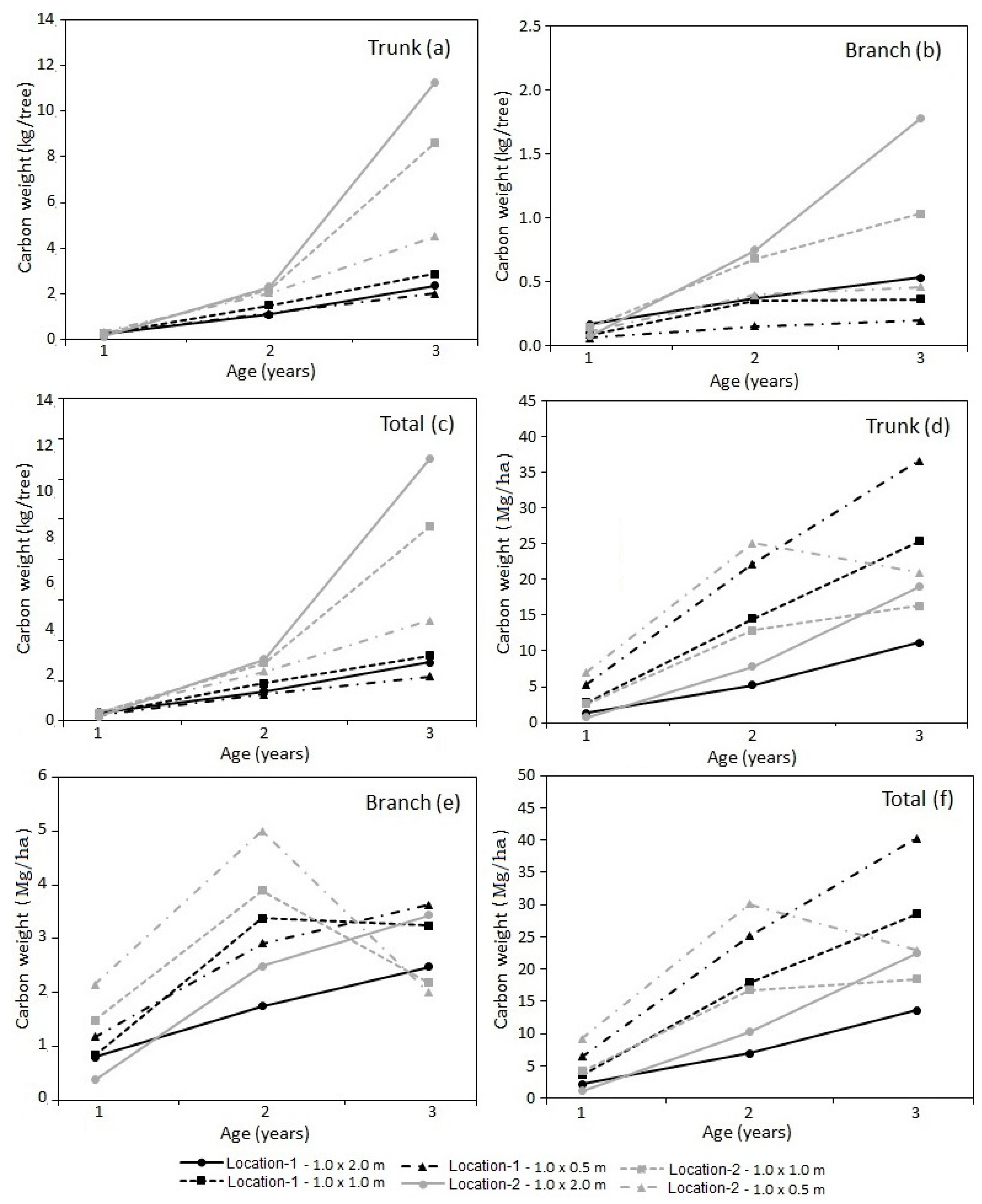
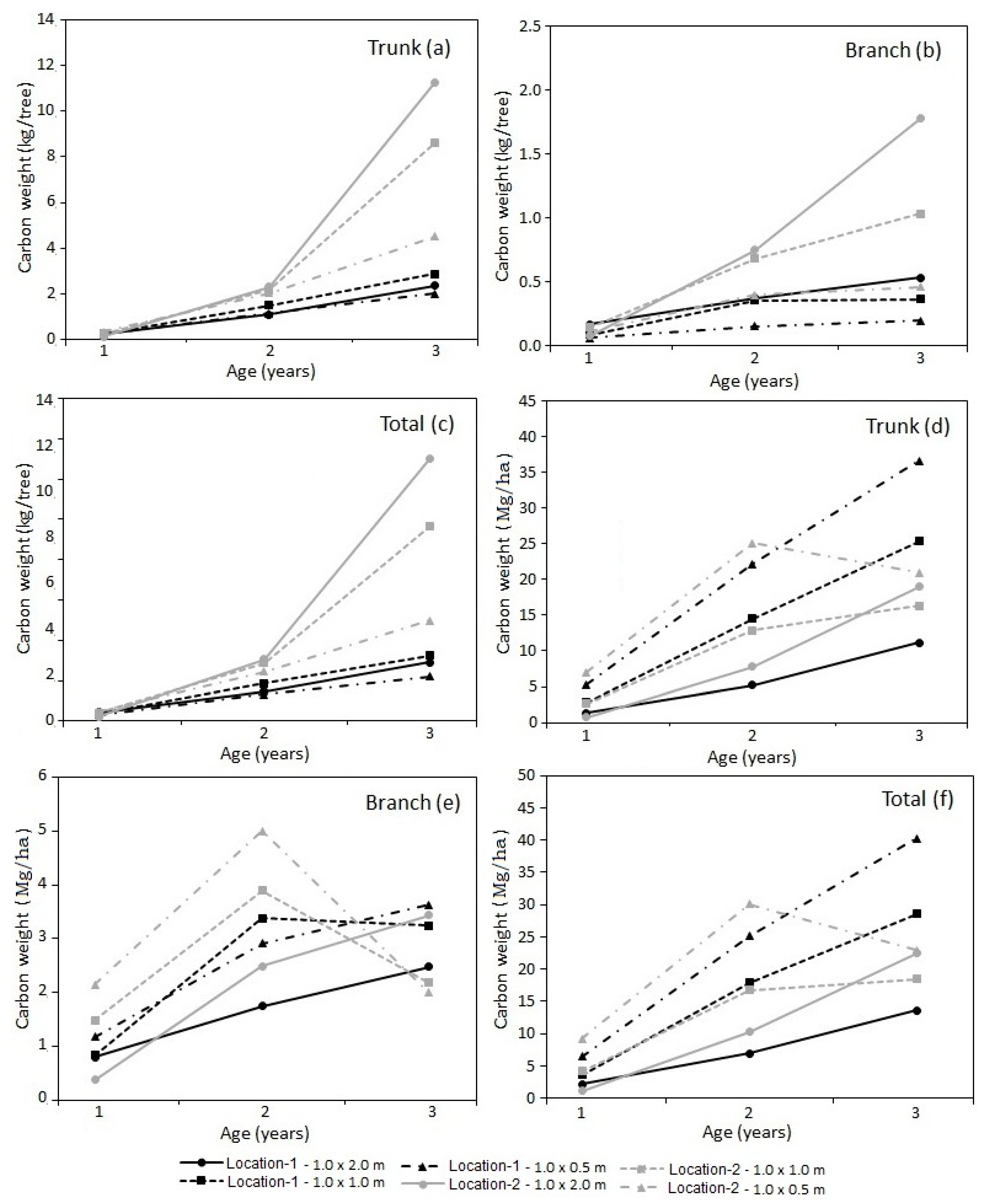
3.3. Production of Captured Carbon
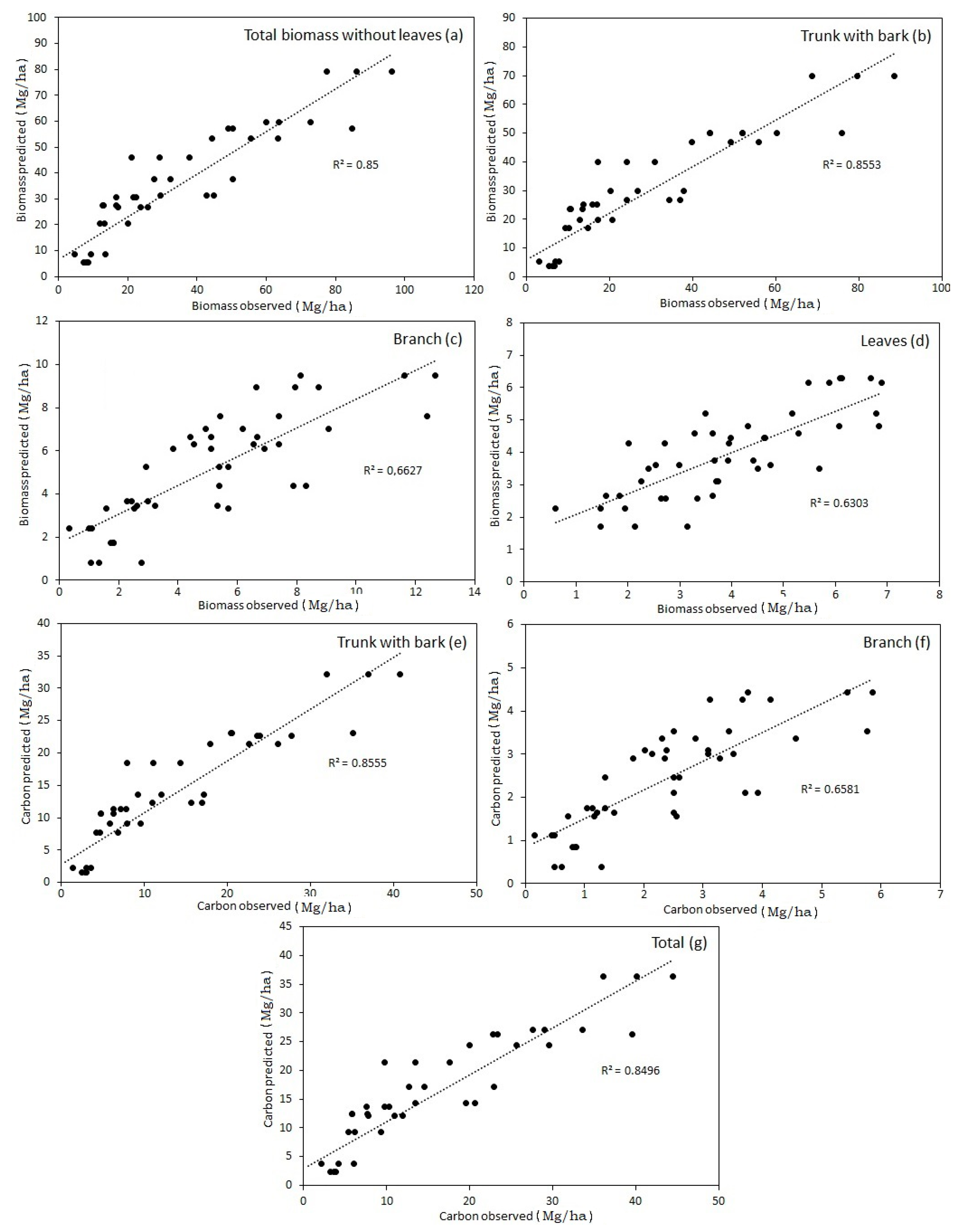
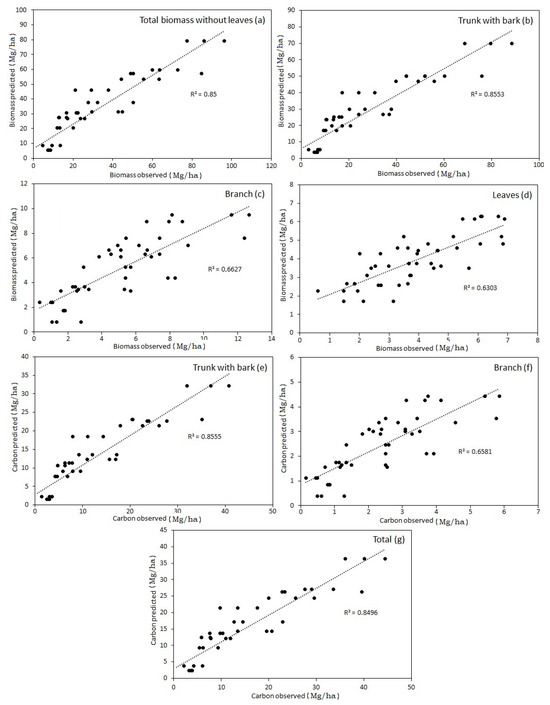
3.4. Biomass and Carbon Capture Production Prediction Model
4. Discussion
4.1. Mortality and Morphological Development
4.2. Production of Biomass and Captured Carbon
4.3. Biomass and Carbon Capture Production Prediction Model
- Most production costs, from establishment to delivery, can be calculated, as they are density-dependent, as is the case for plantation, localized fertilization, and weed control;
- Plant material may account for up to 65% of establishment costs, and any advantage gained by high planting rates may be outweighed by increasing costs;
- Stand harvesting costs constitute a major portion of total production costs (70%), and may have effects as important as those of stand establishment costs. The information provided in the model, particularly the average basal diameter, is also essential for deciding what type of harvesting to carry out.
5. Conclusions
Author Contributions
Funding
Acknowledgments
Conflicts of Interest
References
- IEA—International Energy Agency. Key World Energy Statistics; IEA—International Energy Agency: Paris, France, 2016; p. 74. [Google Scholar]
- Pleguezuelo, C.R.R.; Zuazo, V.H.D.; Bielders, C.; Bocanegra, J.A.J.; Perea-Torres, F.; Martínez, J.R.F. Bioenergy farming using woody crops. A review. Agron. Sustain. Dev. 2015, 35, 95–119. [Google Scholar] [CrossRef]
- Moya, R.; Tenorio, C.; Oporto, G. Short rotation wood crops in Latin American: A review on status and potential uses as biofuel. Energies 2019, 12, 705. [Google Scholar] [CrossRef]
- Rosúa, J.M.; Pasadas, M. Biomass potential in Andalusia, from grapevines, olives, fruit trees and poplar, for providing heating in homes. Renew. Sustain. Energy Rev. 2012, 6, 4190–4195. [Google Scholar] [CrossRef]
- Gollany, H.T.; Titus, B.D.; Scott, D.A.; Asbjornsen, H.; Resh, S.C.; Chimner, R.A.; Kaczmarek, D.J.; Leite, L.F.C.; Ferreira, A.C.C.; Rod, K.A.; et al. Biogeochemical research priorities for sustainable biofuel and bioenergy feedstock production in the Americas. Environ. Manag. 2015, 56, 1330–1355. [Google Scholar] [CrossRef] [PubMed]
- Djomo, S.N.; Zenone, T.; De Groote, T.; Bergante, S.; Facciotto, G.; Sixtoe, H.; Ciria, P.; Wegerg, F.; Ceulemans, R. Energy performances of intensive and extensive short rotation cropping systems for woody biomass production in the EU. Renew. Sustain. Energy Rev. 2015, 41, 845–854. [Google Scholar] [CrossRef]
- Drew, A.P.; Zsuffa, L.; Mitchell, C.P. Terminology relating to woody plant biomass and its production. Biomass 1987, 12, 79–82. [Google Scholar] [CrossRef]
- Houghton, R.A.; Davidson, E.A.; Woodwell, G.M. Missing sinks, feedbacks, and understanding the role of the terrestrial ecosystems in the global carbon balance. Glob. Biogeochem. Cycles 1998, 12, 25–34. [Google Scholar] [CrossRef]
- Vassilev, S.V.; Vassileva, C.G.; Vassilev, V.S. Advantages and disadvantages of composition and properties of biomass in comparison with coal: An overview. Fuel 2015, 158, 330–350. [Google Scholar] [CrossRef]
- Lauri, P.; Havlík, P.; Kindermann, G.; Forsell, N.; Böttcher, H.; Obersteiner, M. Woody biomass energy potential in 2050. Energy Policy 2014, 66, 19–31. [Google Scholar] [CrossRef]
- Scarlat, N.; Dallemand, J.F.; Monforti-Ferrario, F.; Medarac, H.; Banja, M.; Bódis, K. Bioenergy Monitoring and Mapping in the European Union. Bioenergy and Latin America: A Multi-Country Perspective; European Union: Maastricht, Niederlande, 2015; pp. 163–190. [Google Scholar]
- Matzenberger, J.; Kranzl, L.; Tromborg, E.; Junginger, M.; Daioglou, V.; Goh, C.S.; Keramidas, K. Future perspectives of international bioenergy trade. Renew. Sustain. Energy Rev. 2015, 43, 926–941. [Google Scholar] [CrossRef]
- Morales, M.; Aroca, G.; Rubilar, R.; Acuna, E.; Mola-Yudego, B.; González-García, S. Cradle-to-gate life cycle assessment of Eucalyptus globulus short rotation plantations in Chile. J. Clean. Prod. 2015, 99, 239–249. [Google Scholar] [CrossRef]
- Carmona, R.; Nuñez, T.; Alonso, M.F. Biomass yield and quality of an energy dedicated crop of poplar (Populus spp.) clones in the Mediterranean zone of Chile. Biomass Bioenergy 2015, 74, 96–102. [Google Scholar] [CrossRef]
- Lemos, S.V.; Sartori, M.M.P.; Junior, E.; Ribas, L.C.; Guerra, S.P.S. Energy generation of short rotation eucalyptus. Energ. Agric. 2015, 30, 263–268. [Google Scholar] [CrossRef]
- Junior, H.J.E.; De Melo, R.X.; Sartori, M.M.P.; Guerra, S.P.S.; Ballarin, A.W. Sustainable use of eucalypt biomass grown on short rotation coppice for bioenergy. Biomass Bioenergy 2016, 90, 15–21. [Google Scholar] [CrossRef]
- Cutz, L.; Haro, P.; Santana, D.; Chotchutima, F.; Kangvansaichol, K.; Tudsri, S.; Sripichitt, P. Effect of spacing on growth, biomass yield and quality of Leucaena (Leucaena leucocephala (Lam.) de Wit.) for renewable energy in Thailand. J. Sustain. Bioenergy Syst. 2013, 3, 48–56. [Google Scholar] [CrossRef]
- Tenorio, C.; Moya, R.; Arias-Aguilar, D.; Briceño-Elizondo, E. Biomass yield and energy potential of short-rotation energy plantations of Gmelina arborea one year old in Costa Rica. Ind. Crops Prod. 2016, 83, 63–73. [Google Scholar] [CrossRef]
- Salazar-Zeledón, E.; Moya, R.; Valaert, J. Biomass and bioenergy production of Arundo donax L., Pennisetum purpureum Schum. and Pennisetum purpureum Schumack. x Pennisetum glaucum L. in short rotation cropping system in Costa Rica. J. Biobased Mater. Bioenergy 2015, 9, 572–579. [Google Scholar] [CrossRef]
- Zamora, D.S.; Apostol, K.G.; Berguson, W.E.; Volk, T.A.; Wright, J.; Ogdahl, E.J. Short rotation woody crops biomass production. In Biomass and Biofuels: Advanced Biorefineries for Sustainable Production and Distribution; Taylor & Francis Group: Florida, UK, 2015; pp. 49–76. [Google Scholar]
- Dvorak, W.S. World view of Gmelina arborea: Opportunities and challenges. New For. 2004, 28, 111–126. [Google Scholar] [CrossRef]
- Moya, R. Wood of Gmelina arborea in Costa Rica. New For. 2004, 28, 299–317. [Google Scholar] [CrossRef]
- Tenorio, C.; Moya, R.; Arias, D. Evaluation of changes in tree morphology parameters, biomass yield, chemical and energy properties at three spacings of short rotation energy plantations of Gmelina arborea in Costa Rica, from 1 to 2 years of age. Waste Biomass Valoriz. 2018, 9, 1163–1179. [Google Scholar] [CrossRef]
- González-García, M.; Hevia, A.; Majada, J.; Barrio-Anta, M. Above-ground biomass estimation at tree and stand level for short rotation plantations of Eucalyptus nitens (Deane & Maiden) Maiden in Northwest Spain. Biomass Bioenergy 2013, 54, 147–157. [Google Scholar] [CrossRef]
- Temesgen, H.; Affleck, D.; Poudel, K.; Gray, A.; Sessions, J. A review of the challenges and opportunities in estimating above ground forest biomass using tree-level models. Scand. J. For. Res. 2015, 30, 326–335. [Google Scholar] [CrossRef]
- Jiang, R.; Wang, T.; Shao, J.; Guo, S.; Zhu, W.; Yu, Y.; Shao, J.; Chen, L.; Hatano, R. Modeling the biomass of energy crops: Descriptions, strengths and prospective. J. Integr. Agric. 2017, 16, 1197–1210. [Google Scholar] [CrossRef]
- Sileshi, G.W. A critical review of forest biomass estimation models, common mistakes and corrective measures. For. Ecol. Manag. 2014, 329, 237–254. [Google Scholar] [CrossRef]
- Ríos-Saucedo, J.; Acuña-Carmona, E.; Cancino-Cancino, J.; Rubilar-Pans, R.; Navar-Chaidez, J.; Rosales-Serna, R. Allometric equations commonly used for estimating shoot biomass in short rotation Wood energy species: A review. Rev. Chapingo Ser. Cienc. For. Y Del Ambient. 2016, 12, 194–202. [Google Scholar] [CrossRef]
- Henry, M.; Picard, N.; Trotta, C.; Manlay, R.J.; Valentini, R.; Bernoux, M.; Saint-Andre, L. Estimating tree biomass of sub-Saharan African forests: A review of available allometric equations. Silva Fenn. 2011, 45, 477–569. [Google Scholar] [CrossRef]
- Muukkonen, P.; Makipaa, R. Erratum: Biomass equations for European trees. Silva Fenn. 2006, 40, 763–773. [Google Scholar] [CrossRef]
- Eich, S.; Volk, T.A.; Eisenbies, M.H. Bark content of two shrub Willow cultivars grown at two sites and relationships with centroid bark content and stem diameter. BioEnergy Res. 2015, 8, 1661–1670. [Google Scholar] [CrossRef]
- Navar, J. Biomass component equations for Latin American species and groups of species. Ann. For. Sci. 2009, 66, 208. [Google Scholar] [CrossRef]
- Hart, Q.J.; Tittmann, P.W.; Bandaru, V.; Jenkins, B.M. Modeling poplar growth as a short rotation woody crop for biofuels in the Pacific Northwest. Biomass Bioenergy 2015, 79, 12–27. [Google Scholar] [CrossRef]
- Mosseler, A.; Major, J.E.; Labrecque, M.; Larocque, G.R. Allometric relationships in coppice biomass production for two North American willows (Salix spp.) across three different sites. For. Ecol. Manag. 2014, 320, 190–196. [Google Scholar] [CrossRef]
- Fang, S.; Xue, J.; Tang, L. Biomass production and carbon sequestration potential in poplar plantations with different management patterns. J. Environ. Manag. 2007, 85, 672–679. [Google Scholar] [CrossRef] [PubMed]
- Langholtz, M.; Carter, D.R.; Rockwood, D.L.; Alavalapati, J.R. The economic feasibility of reclaiming phosphate mined lands with short-rotation woody crops in Florida. J. For. Econ. 2007, 12, 237–249. [Google Scholar] [CrossRef]
- Guo, T.; Engel, B.A.; Shao, G.; Arnold, J.G.; Srinivasan, R.; Kiniry, J.R. Functional approach to simulating short-rotation woody crops in process-based models. BioEnergy Res. 2015, 8, 1598–1613. [Google Scholar] [CrossRef]
- Shifflett, S.D.; Hazel, D.W.; Frederick, D.J.; Nichols, E.G. Species trials of short rotation woody crops on two wastewater application sites in North Carolina, USA. BioEnergy Res. 2014, 7, 157–173. [Google Scholar] [CrossRef]
- Verlinden, M.S.; Broeckx, L.S.; Ceulemans, R. First vs. second rotation of a poplar short rotation coppice: Above-ground biomass productivity and shoot dynamics. Biomass Bioenergy 2015, 73, 174–185. [Google Scholar] [CrossRef]
- Coyle, D.R.; Coleman, M.D.; Durant, J.A.; Newman, L.A. Survival and growth of 31 Populus clones in South Carolina. Biomass Bioenergy 2006, 30, 750–758. [Google Scholar] [CrossRef]
- Vanbeveren, S.P.P.; Ceulemans, R. Genotypic differences in biomass production during three rotations of short-rotation coppice. Biomass Bioenergy 2018, 119, 198–205. [Google Scholar] [CrossRef]
- Jégo, G.; Thibodeau, F.; Morissette, R.; Crépeau, M.; Claessens, A.; Savoie, P. Estimating the yield potential of short-rotation willow in Canada using the 3PG model. Can. J. For. Res. 2017, 47, 636–647. [Google Scholar] [CrossRef][Green Version]
- Albaugh, T.J.; Marsh, E.K.; Burgers, T.F. The response of even-aged pine stands to thinning. For. S. Afr. 1973, 14, 103–111. [Google Scholar]
- Rubilar, R.A.; Maier, C.A.; Acuña, E.A.; Cook, R.L. Biomass and nutrient mass of Acacia dealbata and Eucalyptus globulus bioenergy plantations. Biomass Bioenergy 2017, 97, 162–171. [Google Scholar] [CrossRef]
- Amaducci, S.; Facciotto, G.; Bergante, S.; Perego, A.; Serra, P.; Ferrarini, A.; Chimento, C. Biomass production and energy balance of herbaceous and woody crops on marginal soils in the Po valley. GCB Bioenergy 2017, 9, 31–45. [Google Scholar] [CrossRef]
- Oswald, S.W.; Aubrey, D.P. Increasing biomass production on limited land area through an optimal planting arrangement. BioEnergy Res. 2018, 11, 13–21. [Google Scholar] [CrossRef]
- Benomar, L.; Des Rochers, A.; Larocque, G.R. The effects of spacing on growth, morphology and biomass production and allocation in two hybrid poplar clones growing in the boreal region of Canada. Trees 2012, 26, 939–949. [Google Scholar] [CrossRef]
- Brodie, L.C.; Debell, D.S. Evaluation of field performance of poplar clones using selected competition indices. New For. 2004, 27, 201–214. [Google Scholar] [CrossRef]
- Stolarski, M.J.; Krzyżaniak, M.; Szczukowski, S.; Tworkowski, J.; Załuski, D.; Bieniek, A.; Gołaszewski, J. Effect of increased soil fertility on the yield and energy value of short-rotation woody crops. BioEnergy Res. 2015, 8, 1136–1147. [Google Scholar] [CrossRef]
- Dickmann, D.I. Silviculture and biology of short-rotation woody crops in temperate regions: Then and now. Biomass Bioenergy 2006, 30, 696–705. [Google Scholar] [CrossRef]
- Cabrera, A.M.; Tozzini, C.; Espinoza, S.; Santelices, R.; Meza, F. Biomass production and carbon balance of a short rotation forestry of Populus deltoides (clone Lux) under two different cutting cycles. Bosque 2016, 37, 205–210. [Google Scholar] [CrossRef]
- Guerra, S.P.; Garcia, E.A.; Lanças, K.P.; Rezende, M.A.; Spinelli, R. Heating value of eucalypt wood grown on SRC for energy production. Fuel 2014, 137, 360–363. [Google Scholar] [CrossRef]
- Guerra, S.P.S.; Oguri, G.; Spinelli, R. Harvesting eucalyptus energy plantations in Brazil with a modified New Holland forage harvester. Biomass Bioenergy 2016, 86, 21–27. [Google Scholar] [CrossRef]
- Da Costa, K.C.P.; De Lima, R.M.B.; Ferreira, M.J. Biomass and energy yield of leguminous trees cultivated in Amazonas. Floresta 2015, 45, 705–712. [Google Scholar] [CrossRef]
- Proe, M.F.; Griffiths, J.H.; Craig, J. Effects of spacing, species and coppicing on leaf area, light interception and photosynthesis in short rotation forestry. Biomass Bioenergy 2002, 23, 315–326. [Google Scholar] [CrossRef]
- Bergkvist, P.; Ledin, S. Stem biomass yields at different planting designs and spacing’s in willow coppice systems. Biomass Bioenergy 1998, 14, 149–156. [Google Scholar] [CrossRef]
- Mitchell, C.P. New cultural treatments and yield optimization. Biomass Bioenergy 1995, 9, 11–34. [Google Scholar] [CrossRef]
- Di Matteo, G.; Sperandio, G.; Verani, S. Field performance of poplar for bioenergy in southern Europe after two coppicing rotations: Effects of clone and planting density. iForest Biogeosci. For. 2012, 5, 224–227. [Google Scholar] [CrossRef]
- Torreano, S.J.; Frederick, D.J. Influence of site condition, fertilization and spacing on short rotation hardwood coppice and seedling yields. Biomass 1998, 16, 183–198. [Google Scholar] [CrossRef]
- Ghezehei, S.B.; Shifflett, S.D.; Hazel, D.W.; Nichols, E.G. SRWC bioenergy productivity and economic feasibility on marginal lands. J. Environ. Manag. 2015, 160, 57–66. [Google Scholar] [CrossRef]
- Agostini, F.; Gregory, A.S.; Richter, G.M. Carbon sequestration by perennial energy crops: Is the jury still out? Bioenergy Res. 2015, 3, 1057–1080. [Google Scholar] [CrossRef]
- Tuskan, G.A.; Walsh, M.E. Short-rotation woody crop systems, atmospheric carbon dioxide and carbon management: A US case study. For. Chron. 2001, 77, 259–264. [Google Scholar] [CrossRef]
- Pérez-Cruzado, C.; Merino, A.; Rodríguez-Soalleiro, R. A management tool for mestimating bioenergy production and carbon sequestion in Eucalyptus globulus and Eucalyptus nitens grown as short rotation woody crops in north-west Spain. Biomass Bioenergy 2011, 35, 2839–3851. [Google Scholar] [CrossRef]
- Mitchell, C.P.; Stevens, E.A.; Watters, M.P. Short-rotation forestry e operations, productivity and costs based on experience gained in the UK. For. Ecol. Manag. 1999, 121, 123–136. [Google Scholar] [CrossRef]





| Location | Elevation and Life Zone | Climatic Conditions and Soil Type | Planting and Management Features |
|---|---|---|---|
| Location-1 | 700 masl, premontane wet forest, premontane belt | Average annual precipitation from 1500 to 2000 mm Average annual temperature 22–24 °C Ultisol (Humults) | Pre planting: soil plowing and raking. Manual initial weed control. Planting: seedlings cultivated in Jiffy forestry pellet and fertilization. Management: manual weed control with herbicides every three months until crowns close. |
| Location-2 | 100 masl, tropical moist forest, basal belt | Average annual precipitation from 2000 to 3000 mm Average annual temperature 22–24°C Inceptisol (Udepts) | Pre planting: soil plowing and raking. Planting: seedlings cultivated in Jiffy forestry pellet, no fertilization. Management: no management. |
| Year | 1.0 × 2.0 m | 1.0 × 1.0 m | 1.0 × 0.5 m | |||
|---|---|---|---|---|---|---|
| Location-1 | Location-2 | Location-1 | Location-2 | Location-1 | Location-2 | |
| 1 | 2.0 | 30.8 | 2.7 | 37.4 | 3.7 | 41.0 |
| 2 | 7.0 | 81.2 | 8.2 | 73.2 | 9.1 | 66.3 |
| 3 | 13.9 | 131.7 | 13.5 | 113.0 | 12.4 | 80.2 |
| Location | Spacing | Plot | Stand Density at Different Ages | Mortality (%) 1 | |||
|---|---|---|---|---|---|---|---|
| 1 Year Old | 2 Year Old | 3 Year Old | 2 Year Old | 3 Year Old | |||
| Location-1 | 1.0 × 2.0 m | 1 | 5000 | 4850 | 4812 | 5.0 | 3.8 |
| 2 | 5000 | 4850 | 3937 | 5.0 | 21.3 | ||
| 3 | 5000 | 4850 | 4750 | 5.0 | 5.0 | ||
| 1.0 × 1.0 m | 1 | 10,000 | 9585 | 8937 | 6.2 | 10.6 | |
| 2 | 10,000 | 9585 | 7875 | 6.2 | 21.3 | ||
| 3 | 10,000 | 9585 | 9500 | 6.2 | 5.0 | ||
| 1.0 × 0.5 m | 1 | 20,000 | 19,156 | 18,625 | 4.2 | 6.9 | |
| 2 | 20,000 | 19,156 | 18,375 | 4.2 | 8.1 | ||
| 3 | 20,000 | 19,156 | 17,937 | 4.2 | 10.3 | ||
| Location-2 | 1.0 × 2.0 m | 1 | 5000 | 3350 | 1700 | 33.0 | 66.0 |
| 2 | 5000 | 3350 | 1900 | 33.0 | 62.0 | ||
| 3 | 5000 | 3350 | 1500 | 33.0 | 70.0 | ||
| 1.0 × 1.0 m | 1 | 10,000 | 5916 | 2100 | 40.8 | 79.0 | |
| 2 | 10,000 | 5916 | 1700 | 40.8 | 83.0 | ||
| 3 | 10,000 | 5916 | 1700 | 40.8 | 83.0 | ||
| 1.0 × 0.5 m | 1 | 20,000 | 12,233 | 4400 | 38.8 | 78.0 | |
| 2 | 20,000 | 12,233 | 4400 | 38.8 | 78.0 | ||
| 3 | 20,000 | 12,233 | 4600 | 38.8 | 77.0 | ||
| Parameters | Location | Spacing | Tree Age | Location × Spacing | Location × Age | Spacing × Age | Location × Spacing × Age | |
|---|---|---|---|---|---|---|---|---|
| DF | 1 | 2 | 2 | 2 | 2 | 4 | 4 | |
| Diameter | 211.3** | 20.9** | 543.1** | 9.4** | 30.5** | 15.1** | 14.1** | |
| Height | 304.5** | 17.1** | 935.0** | 3.6** | 116.9** | 9.4** | 24.5** | |
| Tree level | Trunk | 192.5** | 15.0** | 337.4** | 13.6** | 122.9** | 18.7** | 15.5** |
| Bark | 116.4** | 19.3** | 253.5** | 6.7** | 74.3** | 13.7** | 8.7** | |
| Branch | 76.7** | 28.2** | 74.6** | 6.2** | 29.1** | 12.9** | 8.2** | |
| Leaves | 33.7** | 38.4** | 24.8** | 6.0** | 12.1** | 6.6** | 6.2** | |
| Biomass without leaves | 205.5** | 22.6** | 339.1** | 14.2** | 120.3** | 21.0** | 16.3** | |
| Stand level | Trunk | 7.0* | 44.8** | 100.1** | 3.4NS | 8.6** | 5.8* | 7.7* |
| Bark | 1.9NS | 42.6** | 80.4** | 3.7NS | 5.9* | 5.7* | 7.5** | |
| Branch | 0.8NS | 8.7** | 3.6NS | 1.3NS | 5.6* | 2.6NS | 3.4NS | |
| Leaves | 0.2NS | 0.0NS | 3.0NS | 0.3NS | 0.1NS | 0.0NS | 0.5NS | |
| Biomass without leaves | 0.8NS | 33.4** | 62.1** | 2.9NS | 4.5* | 4.5* | 5.9* | |
| Location | Spacing | Component | Mean Carbon Concentration (% of Dry Weight) Per Year | ||
|---|---|---|---|---|---|
| 1 | 2 | 3 | |||
| Location-1 | 1.0 × 2.0 m | Trunk | 45.6A (0.30) | 45.6A (0.63) | 46.2A (0.19) |
| Branch | 46.6A (0.22) | 46.8A (0.15) | 47.0A (0.68) | ||
| 1.0 × 1.0 m | Trunk | 45.6A (0.17) | 45.6A (0.21) | 46.4B (0.12) | |
| Branch | 46.7A (0.20) | 46.9A (0.25) | 48.0A (1.88) | ||
| 1.0 × 0.5m | Trunk | 45.8A (0.65) | 45.9A (0.71) | 46.4A (0.19) | |
| Branch | 45.9A (0.34) | 47.2C (0.14) | 46.7B (0.44) | ||
| Location-2 | 1.0 × 2.0 m | Trunk | 45.3A (0.31) | 46.0AB (0.60) | 46.5B (0.41) |
| Branch | 45.8A (0.18) | 46.3AB (0.31) | 46.5B (0.38) | ||
| 1.0 × 1.0 m | Trunk | 45.0A (0.29) | 45.5AB (0.42) | 46.4B (0.34) | |
| Branch | 45.6A (0.52) | 46.4B (0.13) | 46.8B (0.24) | ||
| 1.0 × 0.5m | Trunk | 45.4A (0.47) | 45.9A (0.26) | 46.0A (0.39) | |
| Branch | 46.2A (0.38) | 46.3AB (0.22) | 47.0B (0.27) | ||
| Source | Degraus of Freedom | Per Tree | Per Mg/ha | ||||
|---|---|---|---|---|---|---|---|
| Trunk with Bark | Branch | Total/Tree | Trunk with Bark | Branch | Total/Tree | ||
| Location | 1 | 34.0** | 109.7** | 2.0NS | 0.5NS | 0.3NS | 0.1NS |
| Spacing | 2 | 8.7** | 8.0** | 1.7NS | 8.4** | 43.1** | 0.0NS |
| Tree age | 2 | 26.0** | 167.2** | 701.0** | 25.1** | 86.4** | 3.0* |
| Location × spacing | 2 | 2.0NS | 6.2** | 0.6NS | 2.3NS | 4.0NS | 0.3NS |
| Location × age | 2 | 10.1** | 59.4** | 0.6NS | 1.5NS | 6.3* | 0.1NS |
| Spacing × age | 4 | 2.8* | 8.9** | 0.5NS | 6.6** | 6.5** | 0.0NS |
| Location × spacing × age | 4 | 1.5NS | 6.8** | 1.5NS | 6.8** | 9.5** | 0.5NS |
| Components | Models | R2 | R2 Adjusted | Error | F-Value |
|---|---|---|---|---|---|
| Trunk with bark biomass | Y = −39.42** + 1.55**β5 + 23.14**β1 + 0.0020**β2 | 0.84 | 0.82 | 9.79 | 70.0** |
| Branch biomass | Y = −2.79** + 1.60**β5 + 2.64**β1 + 0.00019**β2 | 0.66 | 0.64 | 1.86 | 26.9** |
| Leaf biomass | Y = −0.07** + 0.54**β5 + 0.94**β1 + 0.00017**β2 | 0.63 | 0.60 | 1.04 | 23.3** |
| Total biomass without leaves (trunk with bark and branches) | Y = −42.20** + 3.15**β5 + 25.78**β1 + 0.0022**β2 | 0.84 | 0.83 | 10.76 | 70.8** |
| Trunk carbon | Y = −18.27** + 0.66**β5 + 10.73**β1 + 0.00091**β2 | 0.84 | 0.82 | 4.54 | 69.7** |
| Branch carbon | Y = −1.32** + 0.72**β5 + 1.26**β1 + 0.00009**β2 | 0.66 | 0.63 | 0.88 | 26.3** |
| Total carbon (trunk and branches) | Y = −19.60** + 1.39**β5 + 11.98**β1 + 0.0010**β2 | 0.84 | 0.83 | 5.01 | 70.2** |
© 2019 by the authors. Licensee MDPI, Basel, Switzerland. This article is an open access article distributed under the terms and conditions of the Creative Commons Attribution (CC BY) license (http://creativecommons.org/licenses/by/4.0/).
Share and Cite
Tenorio, C.; Moya, R.; Ortiz-Malavassi, E.; Arias, D. Production and Regression Models for Biomass and Carbon Captured in Gmelina arborea Roxb. Trees in Short Rotation Coppice Plantations in Costa Rica. Forests 2019, 10, 593. https://doi.org/10.3390/f10070593
Tenorio C, Moya R, Ortiz-Malavassi E, Arias D. Production and Regression Models for Biomass and Carbon Captured in Gmelina arborea Roxb. Trees in Short Rotation Coppice Plantations in Costa Rica. Forests. 2019; 10(7):593. https://doi.org/10.3390/f10070593
Chicago/Turabian StyleTenorio, Carolina, Róger Moya, Edgar Ortiz-Malavassi, and Dagoberto Arias. 2019. "Production and Regression Models for Biomass and Carbon Captured in Gmelina arborea Roxb. Trees in Short Rotation Coppice Plantations in Costa Rica" Forests 10, no. 7: 593. https://doi.org/10.3390/f10070593
APA StyleTenorio, C., Moya, R., Ortiz-Malavassi, E., & Arias, D. (2019). Production and Regression Models for Biomass and Carbon Captured in Gmelina arborea Roxb. Trees in Short Rotation Coppice Plantations in Costa Rica. Forests, 10(7), 593. https://doi.org/10.3390/f10070593

