Hydraulic Characteristics of Populus euphratica in an Arid Environment
Abstract
1. Introduction
2. Materials and Methods
2.1. Study Sites
2.2. Plant Materials
2.3. Measurement of Hydraulic Conductance
2.4. Tree Characteristics
2.5. Measurement of Water Status
2.6. Dehydration Treatment
2.7. Meteorological Data
2.8. Data Treatment and Statistical Analysis
3. Results
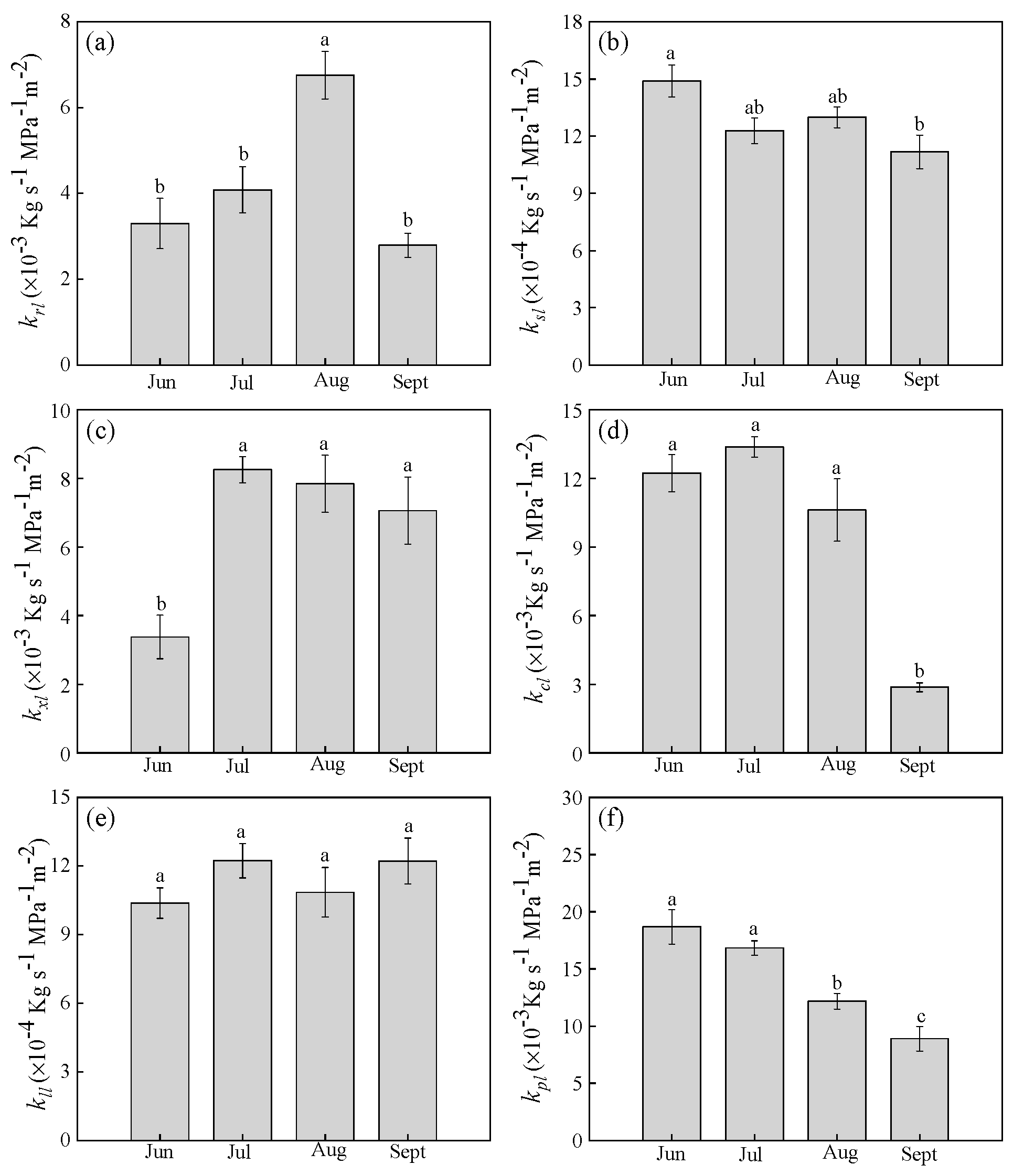
3.1. Relationships of Hydraulic Conductance with Tree Parameters
3.2. Characteristics of Hydraulic Segmentation
3.3. Characteristics of Leaf-Specific Hydraulic Conductance (LSC)
4. Discussion
4.1. Effects of Tree Characteristics on Hydraulics
4.2. Hydraulic Contributions of Individual Tree Parts to the Total
4.3. Hydraulic Characteristics in Naturally Arid and Severe Drought Conditions
5. Conclusions
Author Contributions
Funding
Acknowledgments
Conflicts of Interest
References
- Chen, Y.; Xu, C.; Li, W. Groundwater depth affects the daily course of gas exchange parameters of Populus euphratica in arid areas. Environ. Earth Sci. 2012, 66, 433–440. [Google Scholar] [CrossRef]
- Si, J.; Feng, Q.; Cao, S.; Yu, T.; Zhao, C. Water use sources of desert riparian Populus euphratica forests. Environ. Monit. Assess. 2014, 186, 5469–5477. [Google Scholar] [CrossRef] [PubMed]
- Wang, Q.; Ruan, X.; Chen, Y.N.; Li, W.H. Eco-physiological response of Populus euphratica Oliv. to water release of the lower reaches of the Tarim River, China. Environ. Geol. 2007, 53, 349–357. [Google Scholar] [CrossRef]
- Hernández, E.I.; Vilagrosa, A.; Luis, V.C.; Llorca, M.; Chirino, E.; Vallejo, V.R. Root hydraulic conductance, gas exchange and leaf water potential in seedlings of Pistacia lentiscus L. and Quercus suber L. grown under different fertilization and light regimes. Environ. Exp. Bot. 2009, 67, 269–276. [Google Scholar] [CrossRef]
- Cochard, H.; Herbette, S.; Hernández, E.; Hölttä, T.; Mencuccini, M. The effects of sap ionic composition on xylem vulnerability to cavitation. J. Exp. Bot. 2010, 61, 275–285. [Google Scholar] [CrossRef] [PubMed]
- Pivovaroff, A.L.; Pasquini, S.C.; De Guzman, M.E.; Alstad, K.P.; Stemke, J.S.; Santiago, L.S. Multiple strategies for drought survival among woody plant species. Funct. Ecol. 2016, 30, 517–526. [Google Scholar] [CrossRef]
- Engelbrecht, B.M.; Comita, L.S.; Condit, R.; Kursar, T.A.; Tyree, M.T.; Turner, B.L. Drought sensitivity shapes species distribution patterns in tropical forests. Nature 2007, 447, 80–82. [Google Scholar] [CrossRef]
- Hochberg, U.; Bonel, A.G.; David-Schwartz, R.; Degu, A.; Fait, A.; Cochard, H.; Peterlunger, E.; Herrera, J.C. Grapevine acclimation to water deficit: The adjustment of stomatal and hydraulic conductance differs from petiole embolism vulnerability. Planta 2017, 245, 1091–1104. [Google Scholar] [CrossRef]
- Anderegg, W.R.L.; Anderegg, L.D.L. Hydraulic and carbohydrate changes in experimental drought-induced mortality of saplings in two conifer species. Tree Physiol. 2013, 33, 252–260. [Google Scholar] [CrossRef]
- McDowell, N.G.; Fisher, R.A.; Xu, C.; Domec, J.C.; Hölttä, T.; Mackay, D.S.; Sperry, J.S.; Boutz, A.; Dickman, L.; Gehres, N.; et al. Evaluating theories of drought-induced vegetation mortality using a multimodel-experiment framework. New Phytol. 2013, 200, 304–321. [Google Scholar] [CrossRef]
- Pivovaroff, A.L.; Lawren, S.; Santiago, L.S. Coordination of stem and leaf hydraulic conductance in southern California shrubs: A test of the hydraulic segmentation hypothesis. New Phytol. 2014, 203, 842–850. [Google Scholar] [CrossRef]
- Martin, K.C.; Bruhn, D.; Lovelock, C.E.; Feller, I.C.; Evans, J.R.; Ball, M.C. Nitrogen fertilization enhances water-use efficiency in a saline environment. Plant Cell Environ. 2010, 33, 344–357. [Google Scholar] [CrossRef] [PubMed]
- Lawren, S.; Tyree, M.T.; Michele, H.N. Leaf hydraulic architecture correlates with regeneration irradiance in tropical rainforest trees. New Phytol. 2010, 167, 403–413. [Google Scholar]
- Sack, L.; Holbrook, N.M. Leaf hydraulics. Annu. Rev. Plant Biol. 2006, 57, 361–381. [Google Scholar] [CrossRef] [PubMed]
- Tyree, M.T.; Zimmermann, M.H. Xylem structure and the ascent of sap. Science 2002, 222, 500–501. [Google Scholar]
- Pan, Y.; Chen, Y.; Chen, Y.; Wang, R.; Ren, Z. Impact of groundwater depth on leaf hydraulic properties and drought vulnerability of Populus euphratica in the Northwest of China. Trees 2016, 30, 2029–2039. [Google Scholar] [CrossRef]
- Zhou, H.; Chen, Y.; Li, W.; Ayup, M. Xylem hydraulic conductivity and embolism in riparian plants and their responses to drought stress in desert of Northwest China. Ecohydrology 2013, 6, 984–993. [Google Scholar] [CrossRef]
- Maherali, H.; Pockman, W.T.; Jackson, R.B. Adaptive variation in the vulnerability of woody plants to xylem cavitation. Ecology 2004, 85, 2184–2199. [Google Scholar] [CrossRef]
- Hukin, D.; Cochard, H.; Dreyer, E.; Thiec, D.L.; Bogeat-Triboulot, M.B. Cavitation vulnerability in roots and shoots: Does Populus euphratica Oliv., a poplar from arid areas of Central Asia, differ from other poplar species? J. Exp. Bot. 2005, 56, 2003–2010. [Google Scholar] [CrossRef] [PubMed]
- Alsina, M.M.; Smart, D.R.; Bauerle, T.; De Herralde, F.; Biel, C.; Stockert, C.; Negron, C.; Save, R. Seasonal changes of whole root system conductance by a drought-tolerant grape root system. J. Exp. Bot. 2011, 62, 99–109. [Google Scholar] [CrossRef] [PubMed]
- Nardini, A.; Pitt, F. Drought resistance of Quercus pubescens as a function of root hydraulic conductance, xylem embolism and hydraulic architecture. New Phytol. 2010, 143, 485–493. [Google Scholar] [CrossRef]
- Si, J.H.; Chang, Z.Q.; Su, Y.H.; Xi, H.Y.; Feng, Q. Stomatal Conductance Characteristics of Populus euphratica Leaves and Response to Environmental Factors in the Extreme Arid Region. Acta Bot. Boreali-Occident. Sin. 2008, 11, 1596–1599. [Google Scholar]
- Tyree, M.T.; Patiño, S.; Bennink, J.; Alexander, J. Dynamic measurements of roots hydraulic conductance using a high-pressure flowmeter in the laboratory and field. J. Exp. Bot. 1995, 46, 83–94. [Google Scholar] [CrossRef]
- Sack, L.; Melcher, P.J.; Zwieniecki, M.A.; Holbrook, N.M. The hydraulic conductance of the angiosperm leaf lamina: A comparison of three measurement methods. J. Exp. Bot. 2002, 53, 2177–2184. [Google Scholar] [CrossRef]
- Raimondo, F.; Trifilo, P.; Gullo, M.L.; Buffa, R.; Nardini, A.; Salleo, S. Effects of reduced irradiance on hydraulic architecture and water relations of two olive clones with different growth potentials. Environ. Exp. Bot. 2009, 66, 249–256. [Google Scholar] [CrossRef]
- Li, Y.; Chen, W.; Chen, J.; Shi, H. Vulnerability to drought-induced cavitation in shoots of two typical shrubs in the southern Mu Us Sandy Land, China. J. Arid Land 2016, 8, 125–137. [Google Scholar] [CrossRef]
- Becker, P.; Meinzer, F.C.; Wullschleger, S.D. Hydraulic limitation of tree height: A critique. Funct. Ecol. 2000, 14, 4–11. [Google Scholar] [CrossRef]
- Zhang, Y.J.; Rockwell, F.E.; Wheeler, J.K.; Holbrook, N.M. Reversible Deformation of Transfusion Tracheids in Taxus baccata Is Associated with a Reversible Decrease in Leaf Hydraulic Conductance. Plant Physiol. 2014, 165, 1557–1665. [Google Scholar] [CrossRef] [PubMed]
- Zhang, Z.L.; Liu, G.D.; Zhang, F.C.; Zheng, C.X.; Ni, F.Q.; Kang, Y.H.; Zeng, Y. Effects of nitrogen content on growth and hydraulic characteristics of peach (Prunus persica L.) seedlings under different soil moisture conditions. J. For. Res. 2014, 25, 365–375. [Google Scholar] [CrossRef]
- Maherali, H.; Delucia, E.H. Xylem conductivity and vulnerability to cavitation of ponderosa pine growing in contrasting climates. Tree Physiol. 2000, 20, 859–867. [Google Scholar] [CrossRef] [PubMed]
- Tsuda, M.; Tyree, M.T. Whole-plant hydraulic resistance and vulnerability segmentation in Acer saccharinum. Tree Physiol. 1997, 17, 351–357. [Google Scholar] [CrossRef] [PubMed]
- Vandeleur, R.K.; Mayo, G.; Shelden, M.C.; Gilliham, M.; Kaiser, B.N.; Tyerman, S.D. The role of plasma membrane intrinsic protein aquaporins in water transport through roots: Diurnal and drought stress responses reveal different strategies between isohydric and anisohydric cultivars of grapevine. Plant Physiol. 2009, 149, 445–460. [Google Scholar] [CrossRef]
- Vadez, V. Root hydraulics: The forgotten side of roots in drought adaptation. Field Crop. Res. 2014, 165, 15–24. [Google Scholar] [CrossRef]
- Parent, B.; Hachez, C.; Redondo, E.; Simonneau, T.; Chaumont, F.; Tardieu, F. Drought and ABA effects on aquaporin content translate into changes in hydraulic conductivity and leaf growth rate: A trans-scale approach. Comp. Biochem. Physiol. Part A Mol. Integr. Physiol. 2009, 153, 2000–2012. [Google Scholar]
- Liu, J.; Equiza, M.A.; Navarro-Rodenas, A.; Lee, S.H.; Zwiazek, J.J. Hydraulic adjustments in aspen (Populus tremuloides) seedlings following defoliation involve root and leaf aquaporins. Planta 2014, 240, 553–564. [Google Scholar] [CrossRef]
- Prendin, A.L.; Mayr, S.; Beikircher, B.; von Arx, G.; Petit, G. Xylem anatomical adjustments prioritize hydraulic efficiency over safety as Norway spruce trees grow taller. Tree Physiol. 2018, 38, 1088–1097. [Google Scholar] [CrossRef]
- And, M.T.T.; Sperry, J.S. Vulnerability of Xylem to Cavitation and Embolism. Annu. Rev. Plant Physiol. Plant Mol. Biol. 2003, 40, 19–38. [Google Scholar]
- Tyree, M.T.; Nardini, A.; Salleo, S.; Sack, L.; El Omari, B. The dependence of leaf hydraulic conductance on irradiance during HPFM measurements: Any role for stomatal response? J. Exp. Bot. 2005, 56, 737–744. [Google Scholar] [CrossRef] [PubMed]
- Voicu, M.C. Diurnal and seasonal changes of leaf lamina hydraulic conductance in bur oak (Quercus macrocarpa) and trembling aspen (Populus tremuloides). Trees 2011, 25, 485–495. [Google Scholar] [CrossRef]
- Barigah, T.S.; Ibrahim, T.; Bogard, A.; Faivre-Vuillin, B.; Lagneau, L.A.; Montpied, P.; Dreyer, E. Irradiance-induced plasticity in the hydraulic properties of saplings of different temperate broad-leaved forest tree species. Tree Physiol. 2006, 26, 1505–1516. [Google Scholar] [CrossRef]
- Gullo, M.A.; Raimondo, F.; Crisafulli, A.; Salleo, S.; Nardini, A. Leaf hydraulic architecture and water relations of three ferns from contrasting light habitats. Funct. Plant Biol. 2010, 37, 566–574. [Google Scholar] [CrossRef]
- West, A.G.; Hultine, K.R.; Jackson, T.L.; Ehleringer, J.R. Differential summer water use by Pinus edulis and Juniperus osteosperma reflects contrasting hydraulic characteristics. Tree Physiol. 2007, 27, 1711–1720. [Google Scholar] [CrossRef] [PubMed]
- Petit, G.; Savi, T.; Consolini, M.; Anfodillo, T.; Nardini, A. Interplay of growth rate and xylem plasticity for optimal coordination of carbon and hydraulic economies in Fraxinus ornus trees. Tree Physiol. 2016, 36, 1310. [Google Scholar] [PubMed]
- Andrea, N.; Marta, B.; Tadeja, S. Shoot desiccation and hydraulic failure in temperate woody angiosperms during an extreme summer drought. New Phytol. 2013, 200, 322–329. [Google Scholar]
- Rust, S.; Hüttl, R.F. The effect of shoot architecture on hydraulic conductance in beech (Fagus sylvatica L.). Trees 1999, 14, 39–42. [Google Scholar] [CrossRef]
- Lopez, D.; Venisse, J.S.; Fumanal, B.; Chaumont, F.; Guillot, E.; Daniels, M.J.; Cochard, H.; Julien, J.L.; Gousset-Dupont, A. Aquaporins and leaf hydraulics: Poplar sheds new light. Plant Cell Physiol. 2013, 54, 1963–1975. [Google Scholar] [CrossRef]
- Else, M.A.; Coupland, D.; Dutton, L.; Jackson, M.B. Decreased root hydraulic conductivity reduces leaf water potential, initiates stomatal closure, and slows leaf expansion in flooded plantsof castor oil (Ricinus communis) despite diminished delivery of ABA from roots to shoots in xylem sap. Physiol. Plant. 2010, 111, 46–54. [Google Scholar] [CrossRef]
- Dunbar-Co, S.; Sporck, M.; Sack, L. Leaf trait diversification and design in seven rare taxa of the hawaiian plantago radiation. Int. J. Plant Sci. 2009, 170, 61–75. [Google Scholar] [CrossRef]
- Targetti, S.; Messeri, A.; Staglianò, N.; Argenti, G. Leaf functional traits for the assessment of succession following management in semi-natural grasslands: A case study in the North Apennines, Italy. Appl. Veg. Sci. 2013, 16, 325–332. [Google Scholar] [CrossRef]
- Sack, L.; Cowan, P.D.; Jaikumar, N.; Holbrook, N.M. The ‘hydrology’ of leaves: Co-ordination of structure and function in temperate woody species. Plant Cell Environ. 2003, 26, 1343–1356. [Google Scholar] [CrossRef]
- Sack, L.; Tyree, M.T. Vascular Transport in Plants; Academic Press: New York, NY, USA, 2005; pp. 93–114. [Google Scholar]
- Meinzer, F.C. Co-ordination of vapour and liquid phase water transport properties in plants. Plant Cell Environ. 2002, 25, 265–274. [Google Scholar] [CrossRef]
- Bramley, H.; Turner, D.W.; Tyerman, S.D.; Turner, N.C. Water Flow in the Roots of Crop Species: The Influence of Root Structure, Aquaporin Activity, and Waterlogging. Adv. Agron. 2007, 96, 133–196. [Google Scholar]
- Martorell, S.; Medrano, H.; Tomàs, M.; Escalona, J.M.; Flexas, J.; Diaz-Espejo, A. Plasticity of vulnerability to leaf hydraulic dysfunction during acclimation to drought in grapevines: An osmotic-mediated process. Physiol. Plant. 2015, 153, 381–391. [Google Scholar] [CrossRef] [PubMed]
- Maurel, C.; Simonneau, T.; Sutka, M. The significance of roots as hydraulic rheostats. J. Exp. Bot. 2010, 61, 3191–3198. [Google Scholar] [CrossRef] [PubMed]
- Chen, Y.; Wang, Q.; Ruan, X.; Li, W.; Chen, Y. Physiological Response of Populus euphratica to Artificial Water-recharge of the Lower Reaches of Tarim River. Acta Bot. Sin. 2004, 46, 1393–1401. [Google Scholar]
- Romero, P.; Dodd, I.C.; Martinezcutillas, A. Contrasting physiological effects of partial root zone drying in field-grown grapevine (Vitis vinifera L. cv. Monastrell) according to total soil water availability. J. Exp. Bot. 2012, 63, 4071–4083. [Google Scholar] [CrossRef][Green Version]







© 2019 by the authors. Licensee MDPI, Basel, Switzerland. This article is an open access article distributed under the terms and conditions of the Creative Commons Attribution (CC BY) license (http://creativecommons.org/licenses/by/4.0/).
Share and Cite
Li, D.; Si, J.; Zhang, X.; Gao, Y.; Wang, C.; Luo, H.; Qin, J.; Gao, G. Hydraulic Characteristics of Populus euphratica in an Arid Environment. Forests 2019, 10, 407. https://doi.org/10.3390/f10050407
Li D, Si J, Zhang X, Gao Y, Wang C, Luo H, Qin J, Gao G. Hydraulic Characteristics of Populus euphratica in an Arid Environment. Forests. 2019; 10(5):407. https://doi.org/10.3390/f10050407
Chicago/Turabian StyleLi, Duan, Jianhua Si, Xiaoyou Zhang, Yayu Gao, Chunlin Wang, Huan Luo, Jie Qin, and Guanlong Gao. 2019. "Hydraulic Characteristics of Populus euphratica in an Arid Environment" Forests 10, no. 5: 407. https://doi.org/10.3390/f10050407
APA StyleLi, D., Si, J., Zhang, X., Gao, Y., Wang, C., Luo, H., Qin, J., & Gao, G. (2019). Hydraulic Characteristics of Populus euphratica in an Arid Environment. Forests, 10(5), 407. https://doi.org/10.3390/f10050407
