Effects of Planting Density on Soil Bulk Density, pH and Nutrients of Unthinned Chinese Fir Mature Stands in South Subtropical Region of China
Abstract
1. Introduction
2. Materials and Methods
2.1. Experimental Site
2.2. Experimental Design
2.3. Collection and Analysis of Soil Samples
2.4. Data Processing
3. Results and Analysis
3.1. Effects of Planting Density on Bulk Density
3.2. Effects of Planting Density on Soil pH
3.3. Effects of Planting Density on Nutrient Contents
3.3.1. Organic Matter
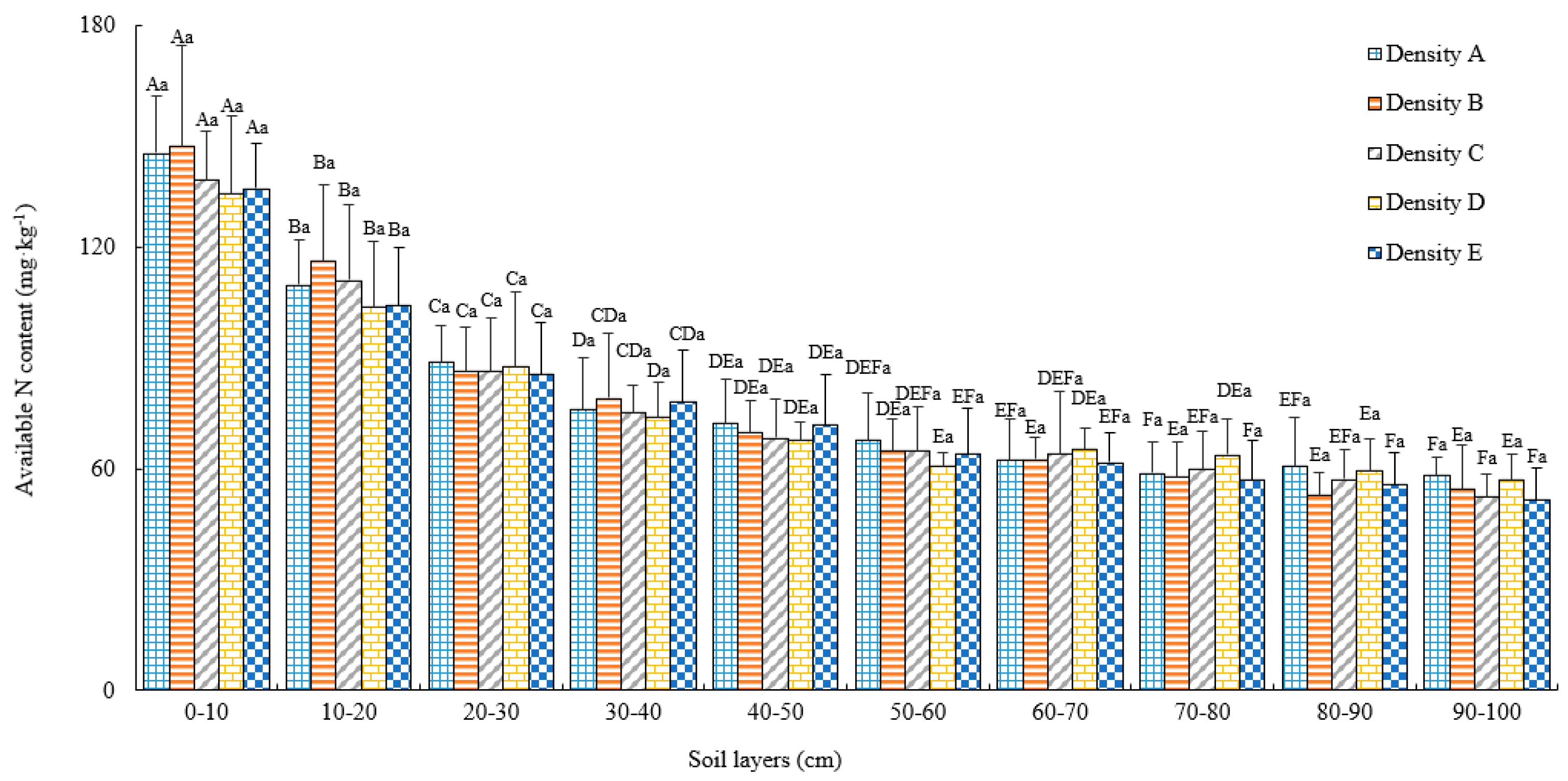
3.3.2. Total N and Alkali-Hydrolyzable N
3.3.3. Total P and Available P
3.3.4. Total K and Available K
3.3.5. Ca, Mg, and Fe
3.4. Correlation Analysis Among Soil pH, Bulk Density, and Nutrients
4. Discussion
5. Conclusions
Author Contributions
Funding
Acknowledgments
Conflicts of Interest
References
- SFA. Reports of Chinese Forestry Resource: The 8th National Forest Resource Inventory; Chinese Forestry Publishing House: Beijing, China, 2013; p. 16. [Google Scholar]
 - Wang, S.L.; Zhang, W.D.; Sanchez, F. Relating net primary productivity to soil organic matter decomposition rates in pure and mixed Chinese fir plantations. Plant Soil 2010, 334, 501–510. [Google Scholar] [CrossRef]
 - Tian, D.L.; Xiang, W.H.; Chen, X.Y.; Yan, W.D.; Fang, X.; Kang, W.X.; Dan, X.W.; Peng, C.H.; Peng, Y.Y. A long-term evaluation of biomass production in first and second rotations of Chinese fir plantations at the same site. Forestry 2011, 84, 411–418. [Google Scholar] [CrossRef]
 - Zhang, W.D.; Wang, S.L. Effects of NH4+ and NO3− on litter and soil organic carbon decomposition in a Chinese fir plantation forest in South China. Soil Biol. Biochem. 2012, 47, 116–122. [Google Scholar] [CrossRef]
 - Sheng, W.T.; Yang, C.D.; Fan, S.H. Variation of Soil Properties of Chinese Fir plantation. For. Res. 2003, 4, 4–12. [Google Scholar]
 - Sheng, W.T.; Fan, S.H. Impact of Growth and Development Characters of Chinese Fir and Its Plantation on the Long Term Site Productivity. For. Res. 2002, 6, 629–636. [Google Scholar]
 - Hu, Y.L.; Sun, X.Y.; Zhang, J.G. Changes of Soil Nutrients in Chinese Fir Plantations. J. Hebei For. Sci. Technol. 2007, 1, 9–11. [Google Scholar]
 - Liao, L.P.; Gao, H.; Wang, S.L.; Ma, Y.Q.; Huang, Z.Q.; Yu, X.J. The Effect of nitrogen addition on soil nutrient leaching and the decomposition of Chinese fir leaf Litter. Acta Phytoecol. Sin. 2000, 1, 34–39. [Google Scholar]
 - Wan, F.X.; Yang, D. Studies on trees growth and soil fertility characters of mixed stand of Chinese fir and Poplar. J. Nanjing For. Univ. 2006, 2, 43–46. [Google Scholar]
 - Sheng, W.T. A Study on Stand Density Management and Long Term Productive of Chinese Fir (Cunninghamia lanceolata) Plantation. Sci. Silvae Sin. 2001, 5, 2–9. [Google Scholar]
 - Yanai, R.D.; Currie, W.S.; Goodale, C.L. Soil carbon dynamics following forest harvest: An ecosystem paradigm reconsidered. Ecosystems 2003, 6, 197–212. [Google Scholar] [CrossRef]
 - Knoepp, J.D.; Swank, W.T. Forest management effects on surface soil carbon and nitrogen. Soil Sci. Soc. Am. J. 1997, 61, 928–935. [Google Scholar] [CrossRef]
 - Grigal, D.F. Effects of extensive forest management on soil productivity. For. Ecol. Manag. 2000, 138, 167–185. [Google Scholar] [CrossRef]
 - Johnson, D.W.; Curtis, P.S. Effects of forest management on soil C and N storage: Meta analysis. For. Ecol. Manag. 2001, 140, 227–238. [Google Scholar] [CrossRef]
 - Yu, Y.C.; Deng, X.H.; Sheng, W.T. Effects of Continuous Plantation of Chinese fir on Soil Physical Properties. J. Nanjing For. Univ. 2000, 6, 36–40. [Google Scholar]
 - Lv, L.X. Reasons for the Decline of Soil Fertility in Chinese Fir Plantation and Ways to Maintain Soil Fertility. Guang Dong Sci. Technol. 2011, 24, 76–77. [Google Scholar]
 - Wang, D.; Wang, Y.P.; Chen, X.L. Seasonal Dynamics of Soil Physical and Chemical Properties after Thinning for 7 Years in Chinese Fir Plantation. Res. Soil Water Conserv. 2015, 2, 69–73. [Google Scholar]
 - Zhao, Z.H.; Fang, X.; Tian, D.L.; Xiang, W.H. Effects of thinning on biomass of under-story, soil physical and chemical properties in Cunninghamia lanceolata plantation. J. Cent. South. Univ. For. Technol. 2012, 32, 102–107. [Google Scholar]
 - Guo, Q.; Wang, X.J.; Yi, X.D. Correlation of Understory Biomass and Soil under Cunninghamia lanceolate Pure Forest of Different Age. J. Northeast. For. Univ. 2014, 3, 85–88. [Google Scholar]
 - Su, M.R.; Zhang, W.Q.; Xian, W.G.; Tang, H.; Yin, Z.; Chen, W.; Xiongjian, X.U.; Pan, L. Physical and Chemical Characteristics of Soil of Cunninghamia lanceolata Conifer-broadleaved Mixed Forest with Different Age. Guangdong For. Sci. Technol. 2014, 5, 43–47. [Google Scholar]
 - Hu, Z.H.; He, Z.M.; Huang, Z.Q.; Fan, S.H.; Yu, Z.P.; Wang, M.H.; Zhou, X.H.; Fang, C.M. Effects of harvest residue management on soil carbon and nitrogen processes in a Chinese fir plantation. For. Ecol. Manag. 2014, 326, 163–170. [Google Scholar] [CrossRef]
 - Fang, L.M. The Soil Nutrient Status of Chinese Fir Forest in Jiangle County, Fujian Province. J. Fujian For. Sci. Technol. 2016, 3, 138–143. [Google Scholar]
 - Lin, K.M.; Yu, X.T.; Hong, W. Effects of Undergrowth Plant on Soil Fertility Chinese Fir Plantation. Sci. Silvae Sin. 2001, 37, 94–98. [Google Scholar]
 - Wang, G. Index of Soil Fertility and Evacuation of Chinese Fir Plantation. Master’s Thesis, Nanjing Forestry University, Nanjing, China, June 2008. [Google Scholar]
 - Powers, M.D.; Palik, B.J.; Bradford, J.B.; Fraver, S.; Webster, C.R. Thinning method and intensity influence long-term mortality trends in a red pine forest. For. Ecol. Manag. 2010, 260, 1138–1148. [Google Scholar] [CrossRef]
 - Selig, M.F.; Seiler, J.R.; Tyree, M.C. Soil carbon and CO2 efflux as influenced by the thinning of loblolly pine (Pinus taeda L.) plantations on the Piedmont of Virginia. For. Sci. 2008, 54, 58–66. [Google Scholar]
 - Chen, H.H. Effects of density regulation on undergrowth vegetation and soil fertility of Cunninghamia lanceolata plantation. Sci. Silvae Sin. 2017, 28, 88–90. [Google Scholar]
 - Vesterdal, L.; Dalsgaard, M.; Felby, C.; Raulund-Rasmussen, K.; Jgrgensen, B.B. Effects of thinning and soil properties on accumulation of carbon, nitrogen and phosphorus in the forest floor of Norway spruce stands. For. Ecol. Manag. 1995, 77, 1–10. [Google Scholar] [CrossRef]
 - Nilsen, P.; Strand, L.T. Thinning intensity effects on carbon and nitrogen stores and fluxes in a Norway spruce (Piceaabies (L.) Karst.) stand after 33 years. For. Ecol. Manag. 2008, 256, 201–208. [Google Scholar] [CrossRef]
 - Nave, L.E.; Vance, E.D.; Swanston, C.W.; Curtis, P.S. Harvest impacts on soil carbon storage in temperate forests. For. Ecol. Manag. 2010, 259, 857–866. [Google Scholar] [CrossRef]
 - Zhang, J.G.; Duan, A.G.; Sun, H.G.; Fu, L.H. Self-thinning and Growth Modelling for Even-aged Chinese Fir (Cunninghamia Lanceolata (Lamb.) Hook.) Stands; Science Press: Beijing, China, 2011. [Google Scholar]
 - Zhao, R.D.; Fan, J.B.; He, Y.Q.; Song, C.L.; Tu, R.F.; Tan, B.C. Effects of stand density on soil nutrients and enzyme activity under Pinus massoniana forest. Soils 2012, 44, 297–301. [Google Scholar]
 - Subedi, S.; Kane, M.; Zhao, D.; Borders, B.; Greene, D. Cultural intensity and planting density effects on aboveground biomass of 12-year-old loblolly pine trees in the Upper Coastal Plain and Piedmont of the southeastern United States. For. Ecol. Manag. 2012, 267, 157–162. [Google Scholar] [CrossRef]
 - Sun, H.G.; Zhang, J.G.; Duan, A.G.; He, C.Y. Estimation of the self-thinning boundary line with ineven-aged Chinese fir (Cunninghamia lanceolata (Lamb.) Hook.) stands: Onset of self-thinning. For. Ecol. Manag. 2011, 261, 1010–1015. [Google Scholar] [CrossRef]
 - Xiang, W.H.; Chai, H.X.; Tian, D.L.; Peng, C.H. Marginal effects of silvicultural treatments on soil nutrients following harvest in a Chinese fir plantation. Soil Sci. Plant Nutr. 2009, 55, 523–531. [Google Scholar] [CrossRef]
 - Shao, Y.N.; Liu, Y.K.; Li, Y.H. Soil nutrient characteristics in Larix olgensisplantation with different stand densities. J. Cent. South. Univ. For. Technol. 2017, 37, 27–31. [Google Scholar]
 - Loadesa, K.W.; Bengougha, A.C.; Bransbyb, M.F.; Hallett, P.D. Planting density influence on fibrous root reinforcement of soils. Ecol. Eng. 2010, 36, 276–284. [Google Scholar] [CrossRef]
 - Goodfriend, W.L.; Olsen, M.W.; Frye, R.J. Soil microfloral and microfaunal response to Salicornia bigelovii planting density and soil residue amendment. Plant Soil 2000, 223, 23. [Google Scholar] [CrossRef]
 - Wang, C.Q.; Xue, L.; Dong, Y.H.; Wei, Y.H.; Jiao, R.Z. Unravelling the Functional Diversity of the Soil Microbial Community of Chinese Fir Plantations of Different Densities. Forests 2018, 9, 532. [Google Scholar] [CrossRef]
 - Lie, Z.Y.; Wang, Z.M.; Xue, L. Effect of density of Tephrosia candida stands on soil characteristics. Legume Res. 2017, 3, 551–555. [Google Scholar] [CrossRef][Green Version]
 - Yang, Y.; Liu, B.R.; Song, N.P. Effects of Artificial Caragana shrub density on spatial distribution of soil nutrients in desert steppe. Acta Prataculturae Sin. 2014, 5, 107–115. [Google Scholar]
 - Powers, M.D.; Kolka, R.; Palik, B.; Tarpey, R.; Jurgensen, M. Long-term management impacts on carbon storage in Lake States forests. For. Ecol. Manag. 2011, 262, 424–431. [Google Scholar] [CrossRef]
 - Akers, M.K.; Kane, M.; Zhao, D.; Teskey, R.O.; Daniels, R. Effects of planting density and cultural intensity on stand and crown attributes of mid-rotation loblolly pine plantations. For. Ecol. Manag. 2013, 310, 468–475. [Google Scholar] [CrossRef]
 - Wu, Z.L. Chinese Fir; China Forestry Publishing House: Beijing, China, 1984. [Google Scholar]
 - Nelson, D.W.; Sommers, L.E. Total carbon, organic carbon and organic matter. In Methods of Soil Analysis; Page, A.L., Miller, R.H., Keeney, D.R., Eds.; America Society of Agronomy: Madison, WI, USA, 1982; pp. 539–579. ISBN 0891188266. [Google Scholar]
 - Venanzi, R.; Picchio, R.; Piovesan, G. Silvicultural and logging impact on soil characteristics in Chestnut (Castanea sativa Mill.) Mediterranean coppice. Ecol. Eng. 2016, 92, 82–89. [Google Scholar] [CrossRef]
 - Bao, S.D. Soil Agrochemical Analysis, 3rd ed.; China Agriculture Press: Beijing, China, 2000; pp. 25–114. [Google Scholar]
 - Tiarks, A.E.; Haywood, J.D. Site preparation and fertiliaation effects on growth of slash pine for two rotations. Soil Sci. Sot. Am. J. 1996, 60, 1654–1663. [Google Scholar] [CrossRef]
 - Cambi, M.; Hoshika, Y.; Mariotti, B.; Paoletti, E.; Picchio, R.; Venanzi, R.; Marchi, E. Compaction by a forest machine affects soil quality and Quercus robur L. seedling performance in an experimental field. For. Ecol. Manag. 2017, 384, 406–414. [Google Scholar] [CrossRef]
 - Cambi, M.; Paffetti, D.; Vettori, C.; Picchio, R.; Venanzi, R.; Marchi, E. Assessment of the impact of forest harvesting operations on the physical parameters and microbiological components on a Mediterranean sandy soil in an Italian stone pine stand. Eur. J. For. Res. 2017, 136, 205–215. [Google Scholar] [CrossRef]
 - Wang, Y.; Wang, H.Y.; Xu, L.I.; Yang, X.J.; Liu, L. Soil physical and chemical characteristics of different depths in semi-natural mixed larch-spruce-fir at different stand densities. Pratacultural Sci. 2014, 8, 1424–1429. [Google Scholar]
 - Huang, X.R.; Huang, C.B.; Qin, Q.Y.; Huang, X.; Cao, J.; Huang, C.; Farm, L.F.; County, T.; University, G. Difference in Soil Fertility of Pinus massoniana Plantations with Different Stand Densities. Guizhou Agric. Sci. 2015, 1, 135–139. [Google Scholar]
 - Liu, Y.; Li, G.L.; Li, R.S.; Guo, B.; Xu, Y. Effected of Tree Density on Soil Fertility in Pinus tabulae formis Plantations. J. Northwest. For. Univ. 2008, 6, 18–23. [Google Scholar]
 - Gil, W. The effect of planting density on chemical properties of the top soil layer in a 30-year-old pine stand. Leoene Prace Badawcze 2009, 70, 297–302. [Google Scholar] [CrossRef]
 - Wang, J.J.; Wang, B.N.; Li, B.F.; Yu, Y.C. Soil Nutrient Dynamics in Eucalyptus urophylla × Eucalyptus grandis Plantation at Different Ages. J. Fujian Coll. For. 2016, 1, 8–14. [Google Scholar]
 - Shi, J.P.; Zhang, D.F.; Lin, B. Effects of Long-term Application of NPK Fertilizers and Organic Fertilizers on Soil Nitrogen, Phosphorus and Potassium Nutrients. Soils Fertil. 1998, 1, 7–10. [Google Scholar]
 - Cheng, X.R.; Yu, M.K.; Wang, G. Effects of thinning on soil organic carbon fractions and soil properties in Cunninghamia lanceolata stands in eastern China. Forests 2017, 8, 198. [Google Scholar] [CrossRef]
 - Sun, D.Q.; Farm, B. Effects of Different Thinning Intensities on Physical and Chemical Properties of Soil in Quercus mongolica Plantation and Spinney in Eastern Liaoning Province. Prot. For. Sci. Technol. 2016, 1, 46–49. [Google Scholar]
 - Huang, Y.C. The Effects of Density on Undergrowth Plant and Soil Fertility of Cunninghamia laceolata Hook Plantation. Anhui Agric. Sci. Bull. 2007, 11, 94–95. [Google Scholar]
 - Tong, S.Z.; Sheng, W.T.; Zhang, J.G. Studies on the density effects of Chinese fir stands. For. Res. 2002, 15, 66–75. [Google Scholar]
 












| Planting Density (trees ha−1)  | Stand Density (trees ha−1) | Stand Age (years) | DBH (cm) | H (m) | Hd (m) | Understory Biomass (t·ha−1)  | 
|---|---|---|---|---|---|---|
| A: 1667 | 1044 | 36 | 19.76 | 18.82 | 15.70 | 9.76 | 
| B: 3333 | 1428 | 36 | 17.26 | 18.08 | 15.09 | 13.56 | 
| C: 5000 | 1533 | 36 | 16.28 | 16.95 | 14.16 | 9.71 | 
| D: 6667 | 1511 | 36 | 17.61 | 18.93 | 16.01 | 8.11 | 
| E: 10000 | 1356 | 36 | 15.67 | 16.69 | 14.56 | 8.05 | 
| Soil Depth (cm)  | Planting Density (trees·ha−1) | ||||
|---|---|---|---|---|---|
| A (1667) | B (3333) | C (5000) | D (6667) | E (10,000) | |
| 0–10 | 1.24 ± 0.07 Aa | 1.27 ± 0.10 Aa | 1.29 ± 0.08 Aa | 1.38 ± 0.05 Ab | 1.29 ± 0.09 Aa | 
| 10–20 | 1.41 ± 0.14 Ba | 1.45 ± 0.11 Ba | 1.46 ± 0.12 Ba | 1.51 ± 0.06 Ba | 1.48 ± 0.04 Ba | 
| 20–30 | 1.58 ± 0.04 Ca | 1.58 ± 0.06 Ca | 1.56 ± 0.07 Ca | 1.58 ± 0.04 Ca | 1.54 ± 0.07 Ba | 
| 30–40 | 1.59 ± 0.05 Ca | 1.59 ± 0.04 Ca | 1.57 ± 0.09 Ca | 1.59 ± 0.04 Ca | 1.55 ± 0.03 Ba | 
| 40–50 | 1.58 ± 0.05 Ca | 1.59 ± 0.04 Ca | 1.58 ± 0.07 Ca | 1.59 ± 0.04 Ca | 1.53 ± 0.09 Ba | 
| 50–60 | 1.55 ± 0.06 Ca | 1.57 ± 0.05 Ca | 1.55 ± 0.09 BCa | 1.58 ± 0.10 Ca | 1.51 ± 0.09 Ba | 
| 60–70 | 1.57 ± 0.02 Ca | 1.58 ± 0.04 Ca | 1.53 ± 0.08 BCa | 1.57 ± 0.07 Ca | 1.54 ± 0.06 Ba | 
| 70–80 | 1.54 ± 0.07 Cab | 1.59 ± 0.05 Ca | 1.55 ± 0.07 BCab | 1.56 ± 0.03 Cab | 1.53 ± 0.05 Bb | 
| 80–90 | 1.56 ± 0.07 Ca | 1.60 ± 0.09 Ca | 1.57 ± 0.09 Ca | 1.58 ± 0.06 Ca | 1.54 ± 0.09 Ba | 
| 90–100 | 1.60 ± 0.09 Ca | 1.59 ± 0.08 Ca | 1.57 ± 0.09 Ca | 1.57 ± 0.04 Ca | 1.55 ± 0.07 Ba | 
| Soil Depth (cm)  | Planting Density (trees·ha−1) | ||||
|---|---|---|---|---|---|
| A (1667) | B (3333) | C (5000) | D (6667) | E (10,000) | |
| 0–10 | 3.54 ± 0.19 Db | 3.77 ± 0.13 Ca | 3.74 ± 0.11 Ca | 3.80 ± 0.07 Da | 3.86 ± 0.06 Ca | 
| 10–20 | 3.58 ± 0.17 CDc | 3.79 ± 0.10 Cab | 3.75 ± 0.11 Cb | 3.85 ± 0.06 CDab | 3.87 ± 0.05 BCa | 
| 20–30 | 3.60 ± 0.16 CDc | 3.77 ± 0.10 Cb | 3.77 ± 0.10 Cb | 3.86 ± 0.09 CDab | 3.89 ± 0.07 ABCa | 
| 30–40 | 3.62 ± 0.17 CDc | 3.79 ± 0.10 Cab | 3.76 ± 0.10 Cb | 3.85 ± 0.08 CDab | 3.89 ± 0.08 ABCa | 
| 40–50 | 3.63 ± 0.18 CDb | 3.79 ± 0.09 Ca | 3.79 ± 0.10 BCa | 3.85 ± 0.10 CDa | 3.90 ± 0.09 ABCa | 
| 50–60 | 3.66 ± 0.17 CDb | 3.83 ± 0.07 Ca | 3.80 ± 0.11 BCa | 3.86 ± 0.10 CDa | 3.91 ± 0.12 ABCa | 
| 60–70 | 3.73 ± 0.15 ABb | 3.87 ± 0.07 ABCa | 3.85 ± 0.11 BCa | 3.92 ± 0.13 ABCDa | 3.93 ± 0.12 ABCa | 
| 70–80 | 3.81 ± 0.14 ABb | 3.92 ± 0.06 ABab | 3.89 ± 0.10 ABab | 3.96 ± 0.14 ABCa | 3.95 ± 0.12 ABCa | 
| 80–90 | 3.84 ± 0.17 Ab | 3.94 ± 0.08 ABab | 3.91 ± 0.10 Aab | 3.97 ± 0.15 ABa | 3.97 ± 0.11 ABa | 
| 90–100 | 3.82 ± 0.15 ABb | 3.94 ± 0.09 Aab | 3.92 ± 0.09 Aab | 3.99 ± 0.16 Aa | 3.99 ± 0.12 Aa | 
| pH | Organic Matter | Total N  | Total P  | Total K  | Alkali- hydrolyzable N  | Available P  | Available K  | Exchangeable Ca  | Exchangeable Mg  | Available Fe  | |
|---|---|---|---|---|---|---|---|---|---|---|---|
| pH | 1 | ||||||||||
| Organic matter  | −0.356 ** | 1 | |||||||||
| Total N | −0.315 ** | 0.96 ** | 1 | ||||||||
| Total P | −0.266 ** | 0.403 ** | 0.423 ** | 1 | |||||||
| Total K | 0.349 ** | −0.171 ** | −0.125 ** | 0.148 ** | 1 | ||||||
| Alkali-hydrolyzable N | 0.308 ** | 0.935 ** | 0.913 ** | 0.375 ** | 0.118 ** | 1 | |||||
| Available P | 0.211 ** | 0.86 ** | 0.839 ** | 0.291 ** | 0.183 ** | 0.823 ** | 1 | ||||
| Available K | 0.088 | 0.726 ** | 0.735 ** | 0.439 ** | 0.151 ** | 0.768 ** | 0.66 ** | 1 | |||
| Exchangeable Ca | 0.196 ** | 0.396 ** | 0.378 ** | 0.289 ** | 0.108 * | 0.484 ** | 0.316 ** | 0.528 ** | 1 | ||
| Exchangeable Mg | 0.131 ** | 0.593 ** | 0.589 ** | 0.195 ** | 0.028 | 0.616 ** | 0.564 ** | 0.591 ** | 0.697 ** | 1 | |
| Available Fe | 0.378 ** | 0.916 ** | 0.879 ** | 0.36 ** | 0.155 ** | 0.899 ** | 0.829 ** | 0.7 ** | 0.45 ** | 0.572 ** | 1 | 
| Bulk density | 0.213 ** | 0.726 ** | 0.714 ** | 0.434 ** | 0.084 | 0.69 ** | 0.699 ** | 0.565 ** | 0.323 ** | 0.456 ** | 0.715 ** | 
© 2019 by the authors. Licensee MDPI, Basel, Switzerland. This article is an open access article distributed under the terms and conditions of the Creative Commons Attribution (CC BY) license (http://creativecommons.org/licenses/by/4.0/).
Share and Cite
Duan, A.; Lei, J.; Hu, X.; Zhang, J.; Du, H.; Zhang, X.; Guo, W.; Sun, J. Effects of Planting Density on Soil Bulk Density, pH and Nutrients of Unthinned Chinese Fir Mature Stands in South Subtropical Region of China. Forests 2019, 10, 351. https://doi.org/10.3390/f10040351
Duan A, Lei J, Hu X, Zhang J, Du H, Zhang X, Guo W, Sun J. Effects of Planting Density on Soil Bulk Density, pH and Nutrients of Unthinned Chinese Fir Mature Stands in South Subtropical Region of China. Forests. 2019; 10(4):351. https://doi.org/10.3390/f10040351
Chicago/Turabian StyleDuan, Aiguo, Jie Lei, Xiaoyan Hu, Jianguo Zhang, Hailun Du, Xiongqing Zhang, Wenfu Guo, and Jianjun Sun. 2019. "Effects of Planting Density on Soil Bulk Density, pH and Nutrients of Unthinned Chinese Fir Mature Stands in South Subtropical Region of China" Forests 10, no. 4: 351. https://doi.org/10.3390/f10040351
APA StyleDuan, A., Lei, J., Hu, X., Zhang, J., Du, H., Zhang, X., Guo, W., & Sun, J. (2019). Effects of Planting Density on Soil Bulk Density, pH and Nutrients of Unthinned Chinese Fir Mature Stands in South Subtropical Region of China. Forests, 10(4), 351. https://doi.org/10.3390/f10040351
        