Water Yield Responses to Gradual Changes in Forest Structure and Species Composition in a Subboreal Watershed in Northeastern China
Abstract
1. Introduction
2. Study Watershed and Databases
2.1. Study Watershed
2.2. Climate, Hydrology, and Landuse
2.3. Forest Composition Shift
3. Hydrologic Analysis Methods
3.1. Four Periods for Hydrologic Change Analysis
- Period 1: 1972–1982, larch accounted for almost 100% of the forest area;
- Period 2: 1984–1994, 70% of larch with 30% of birch;
- Period 3: 1995–2005, 60% of larch with 40% of birch;
- Period 4: 2006–2016, 50% of larch with 50% of birch.
3.2. Flow Regime Characterization
3.3. Climate Elasticity of Mean Annual Streamflow
3.3.1. Nonparametric Estimator of εP
3.3.2. Budyko framework for Estimating εP
4. Results
4.1. Changes in Climate and Streamflow
4.2. Impacts of Forest Change on Annual Streamflow
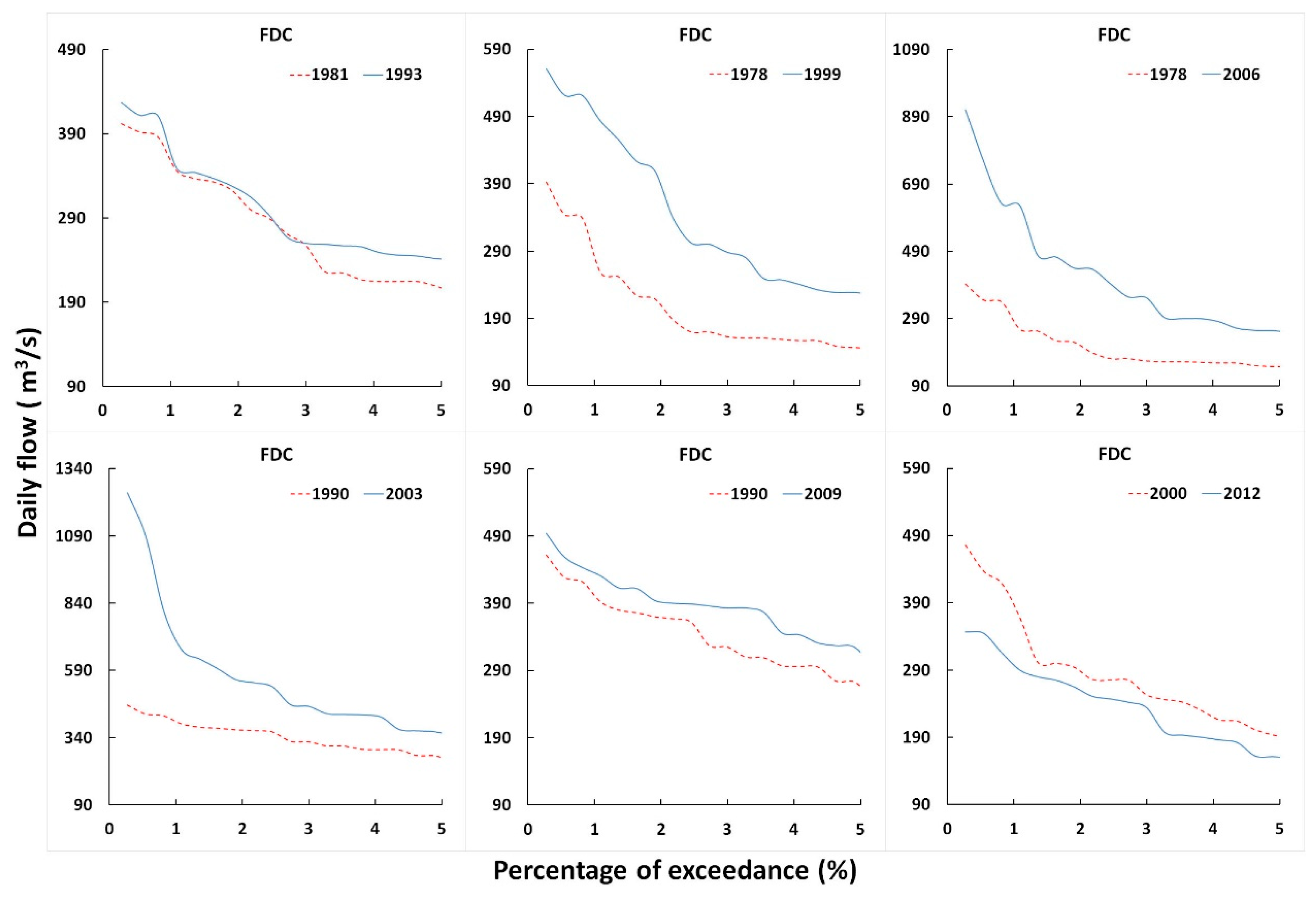
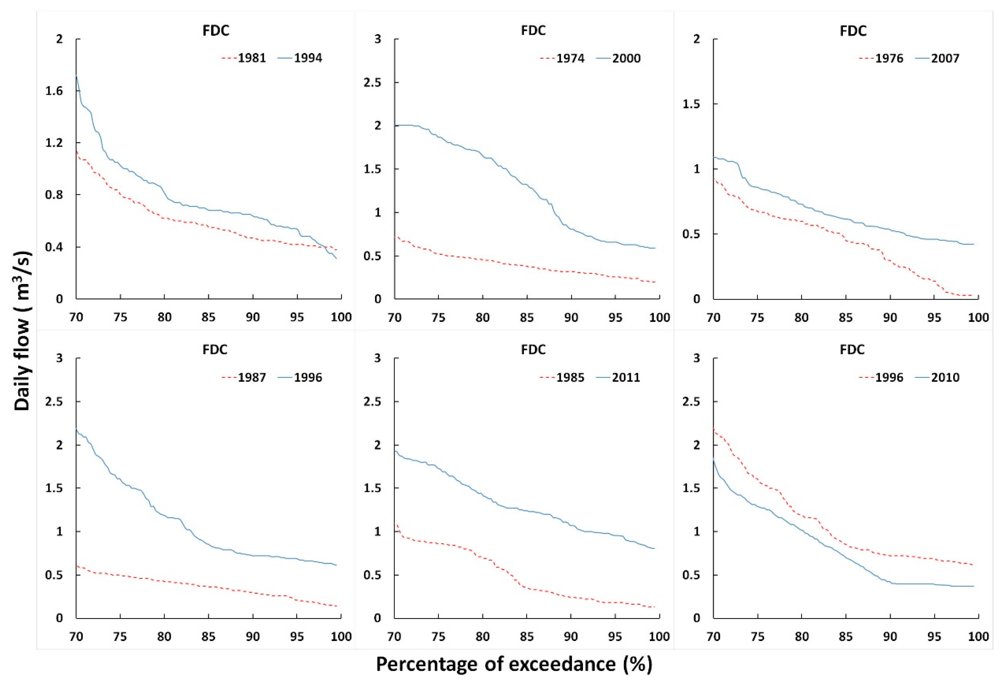
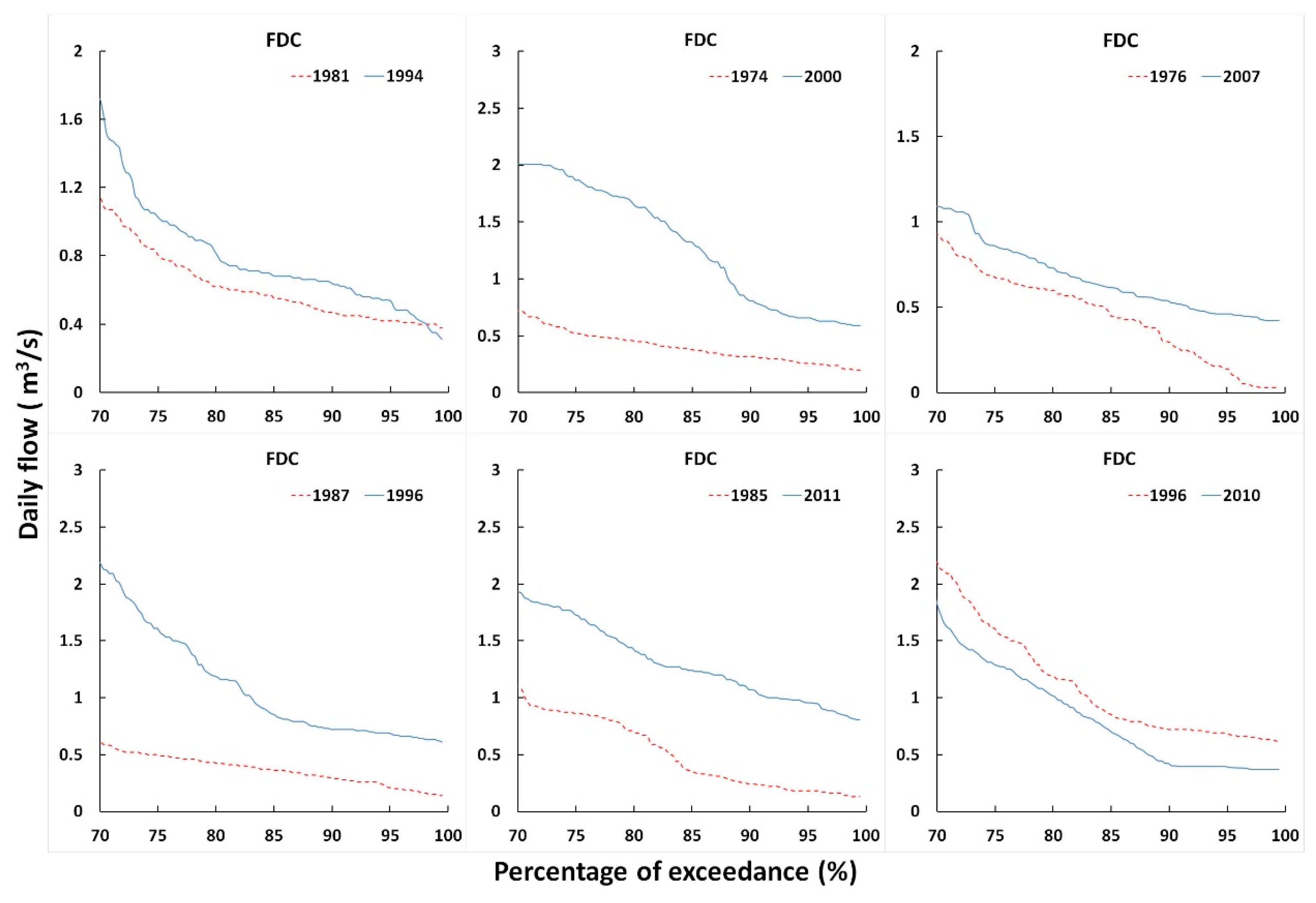
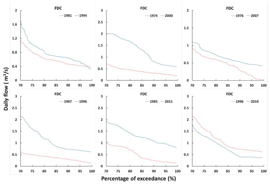
4.3. Impacts of Forest Change on Flow Regimes
5. Discussion
5.1. The Effects of Forest Structure Change and Species Composition Shift on Annual Streamflow
5.2. The Effects of Forest Structure Change and Species Composition Shift on Streamflow Regime
5.3. Implications and Uncertainty
6. Conclusions
Supplementary Materials
Author Contributions
Funding
Acknowledgments
Conflicts of Interest
References
- Zhang, M.; Liu, N.; Harper, R.; Li, Q.; Liu, K.; Wei, X.; Ning, D.; Hou, Y.; Liu, S. A global review on hydrological responses to forest change across multiple spatial scales: Importance of scale, climate, forest type and hydrological regime. J. Hydrol. 2017, 546, 44–59. [Google Scholar] [CrossRef]
- Li, Q.; Wei, X.; Zhang, M.; Liu, W.; Fan, H.; Zhou, G.; Giles-Hansen, K.; Liu, S.; Wang, Y. Forest cover change and water yield in large forested watersheds: A global synthetic assessment. Ecohydrology 2017, 10, e1838. [Google Scholar] [CrossRef]
- Brown, A.E.; Zhang, L.; McMahon, T.A.; Western, A.W.; Vertessy, R.A. A review of paired catchment studies for determining changes in water yield resulting from alterations in vegetation. J. Hydrol. 2005, 310, 28–61. [Google Scholar] [CrossRef]
- Swank, W.T.; Miner, N. Conversion of hardwood-covered watersheds to white pine reduces water yield. Water Resour. Res. 1968, 4, 947–954. [Google Scholar] [CrossRef]
- Swank, W.T.; Douglass, J.E. Streamflow greatly reduced by converting deciduous hardwood stands to pine. Science 1974, 185, 857–859. [Google Scholar] [CrossRef] [PubMed]
- Serengil, Y.; Swank, W.T.; Riedel, M.S.; Vose, J.M. Conversion to pine: Changes in timing and magnitude of high and low flows. Scand. J. For. Res. 2011, 26, 568–575. [Google Scholar] [CrossRef]
- Brantley, S.; Ford, C.R.; Vose, J.M. Future species composition will affect forest water use after loss of eastern hemlock from southern Appalachian forests. Ecol. Appl. 2013, 23, 777–790. [Google Scholar] [CrossRef] [PubMed]
- Caldwell, P.V.; Miniat, C.F.; Elliott, K.J.; Swank, W.T.; Brantley, S.T.; Laseter, S.H. Declining water yield from forested mountain watersheds in response to climate change and forest mesophication. Glob. Chang. Biol. 2016, 22, 2997–3012. [Google Scholar] [CrossRef] [PubMed]
- Elliott, K.J.; Caldwell, P.V.; Brantley, S.T.; Miniat, C.F.; Vose, J.M.; Swank, W.T. Water yield following forest–grass–forest transitions. Hydrol. Earth Syst. Sci. 2017, 21, 981–997. [Google Scholar] [CrossRef]
- Komatsu, H.; Tanaka, N.; Kume, T. Do coniferous forests evaporate more water than broad-leaved forests in Japan? J. Hydrol. 2007, 336, 361–375. [Google Scholar] [CrossRef]
- Komatsu, H.; Kume, T.; Otsuki, K. Increasing annual runoff—broadleaf or coniferous forests? Hydrol. Process. 2011, 25, 302–318. [Google Scholar] [CrossRef]
- Komatsu, H.; Kume, T.; Otsuki, K. Changes in low flow with the conversion of a coniferous plantation to a broad-leaved forest in a summer precipitation region, Japan. Ecohydrol. Ecosyst. Land Water Process Interact. Ecohydrogeomorphol. 2009, 2, 164–172. [Google Scholar] [CrossRef]
- Sun, G.; Zuo, C.; Liu, S.; Liu, M.; McNulty, S.G.; Vose, J.M. Watershed Evapotranspiration Increased due to Changes in Vegetation Composition and Structure Under a Subtropical Climate 1. JAWRA J. Am. Water Resour. Assoc. 2008, 44, 1164–1175. [Google Scholar] [CrossRef]
- Gerrits, A.; Pfister, L.; Savenije, H. Spatial and temporal variability of canopy and forest floor interception in a beech forest. Hydrol. Process. 2010, 24, 3011–3025. [Google Scholar] [CrossRef]
- Sun, J.; Yu, X.; Wang, H.; Jia, G.; Zhao, Y.; Tu, Z.; Deng, W.; Jia, J.; Chen, J. Effects of forest structure on hydrological processes in China. J. Hydrol. 2018, 561, 187–199. [Google Scholar] [CrossRef]
- Wullschleger, S.D.; Meinzer, F.; Vertessy, R. A review of whole-plant water use studies in tree. Tree Physiol. 1998, 18, 499–512. [Google Scholar] [CrossRef] [PubMed]
- Benyon, R.; Doody, T. Comparison of interception, forest floor evaporation and transpiration in Pinus radiata and Eucalyptus globulus plantations. Hydrol. Process. 2015, 29, 1173–1187. [Google Scholar] [CrossRef]
- Wullschleger, S.D.; Hanson, P.; Todd, D. Transpiration from a multi-species deciduous forest as estimated by xylem sap flow techniques. For. Ecol. Manag. 2001, 143, 205–213. [Google Scholar] [CrossRef]
- Ford, C.R.; Hubbard, R.M.; Vose, J.M. Quantifying structural and physiological controls on variation in canopy transpiration among planted pine and hardwood species in the southern Appalachians. Ecohydrology 2011, 4, 183–195. [Google Scholar] [CrossRef]
- Sun, G.; Hallema, D.; Asbjornsen, H. Ecohydrological processes and ecosystem services in the Anthropocene: A review. Ecol. Process. 2017, 6, 35. [Google Scholar] [CrossRef]
- Li, Q.; Wei, X.; Zhang, M.; Liu, W.; Giles-Hansen, K.; Wang, Y. The cumulative effects of forest disturbance and climate variability on streamflow components in a large forest-dominated watershed. J. Hydrol. 2018, 557, 448–459. [Google Scholar] [CrossRef]
- Wei, X.; Zhang, M. Quantifying streamflow change caused by forest disturbance at a large spatial scale: A single watershed study. Water Resour. Res. 2010, 46, W12525. [Google Scholar] [CrossRef]
- Wei, X.; Liu, W.; Zhou, P. Quantifying the relative contributions of forest change and climatic variability to hydrology in large watersheds: A critical review of research methods. Water 2013, 5, 728–746. [Google Scholar] [CrossRef]
- Zhou, G.; Wei, X.; Luo, Y.; Zhang, M.; Li, Y.; Qiao, Y.; Liu, H.; Wang, C. Forest recovery and river discharge at the regional scale of Guangdong Province, China. Water Resour. Res. 2010, 46. [Google Scholar] [CrossRef]
- Zhao, F.; Zhang, L.; Xu, Z.; Scott, D.F. Evaluation of methods for estimating the effects of vegetation change and climate variability on streamflow. Water Resour. Res. 2010, 46. [Google Scholar] [CrossRef]
- Koster, R.D.; Suarez, M.J. A simple framework for examining the interannual variability of land surface moisture fluxes. J. Clim. 1999, 12, 1911–1917. [Google Scholar] [CrossRef]
- Liu, Q.; Yang, Z.; Cui, B.; Sun, T. Temporal trends of hydro-climatic variables and runoff response to climatic variability and vegetation changes in the Yiluo River basin, China. Hydrol. Process. Int. J. 2009, 23, 3030–3039. [Google Scholar] [CrossRef]
- Li, H.; Zhang, Y.; Vaze, J.; Wang, B. Separating effects of vegetation change and climate variability using hydrological modelling and sensitivity-based approaches. J. Hydrol. 2012, 420, 403–418. [Google Scholar] [CrossRef]
- Zheng, H.; Zhang, L.; Zhu, R.; Liu, C.; Sato, Y.; Fukushima, Y. Responses of streamflow to climate and land surface change in the headwaters of the Yellow River Basin. Water Resour. Res. 2009, 45. [Google Scholar] [CrossRef]
- Chen, H.; Zhang, W.; Gao, H.; Nie, N. Climate change and anthropogenic impacts on wetland and agriculture in the Songnen and Sanjiang Plain, northeast China. Remote Sens. 2018, 10, 356. [Google Scholar] [CrossRef]
- An, S.; Li, H.; Guan, B.; Zhou, C.; Wang, Z.; Deng, Z.; Zhi, Y.; Liu, Y.; Xu, C.; Fang, S. China’s natural wetlands: Past problems, current status, and future challenges. AMBIO J. Hum. Environ. 2007, 36, 335–342. [Google Scholar] [CrossRef]
- Piao, S.; Ciais, P.; Huang, Y.; Shen, Z.; Peng, S.; Li, J.; Zhou, L.; Liu, H.; Ma, Y.; Ding, Y. The impacts of climate change on water resources and agriculture in China. Nature 2010, 467, 43. [Google Scholar] [CrossRef] [PubMed]
- Duan, L.; Man, X.; Kurylyk, B.L.; Cai, T.; Li, Q. Distinguishing streamflow trends caused by changes in climate, forest cover, and permafrost in a large watershed in northeastern China. Hydrol. Process. 2017, 31, 1938–1951. [Google Scholar] [CrossRef]
- Sun, G.; Jin, H.; Chang, X.; Yu, S.; He, R.; Yang, S.; Lu, L.; Yao, Y.; Yan, X.; Fan, Y. Effect of broad valley landform on formation of marshes in northern Da Hinggan Mountains. J. Glaciol. Geocryol. 2011, 33, 991–998. [Google Scholar]
- Liu, J.; Kuang, W.; Zhang, Z.; Xu, X.; Qin, Y.; Ning, J.; Zhou, W.; Zhang, S.; Li, R.; Yan, C. Spatiotemporal characteristics, patterns, and causes of land-use changes in China since the late 1980s. J. Geogr. Sci. 2014, 24, 195–210. [Google Scholar] [CrossRef]
- Poff, N.L.; Allan, J.D.; Bain, M.B.; Karr, J.R.; Prestegaard, K.L.; Richter, B.D.; Sparks, R.E.; Stromberg, J.C. The natural flow regime. BioScience 1997, 47, 769–784. [Google Scholar] [CrossRef]
- Foster, H.A. Duration curves. In Proceedings of the American Society of Civil Engineers; American Society of Civil Engineers: New York, NY, USA, 1934; pp. 1223–1246. [Google Scholar]
- Vogel, R.M.; Fennessey, N.M. Flow-duration curves. I: New interpretation and confidence intervals. J. Water Resour. Plan. Manag. 1994, 120, 485–504. [Google Scholar] [CrossRef]
- Duan, L.; Cai, T. Changes in magnitude and timing of high flows in large rain-dominated watersheds in the cold region of north-eastern China. Water 2018, 10, 1658. [Google Scholar] [CrossRef]
- Liu, W.; Wei, X.; Fan, H.; Guo, X.; Liu, Y.; Zhang, M.; Li, Q. Response of flow regimes to deforestation and reforestation in a rain-dominated large watershed of subtropical China. Hydrol. Process. 2015, 29, 5003–5015. [Google Scholar] [CrossRef]
- Tokarczyk, T. Classification of low flow and hydrological drought for a river basin. Acta Geophys. 2013, 61, 404–421. [Google Scholar] [CrossRef]
- Zhang, M.; Wei, X. Alteration of flow regimes caused by large-scale forest disturbance: A case study from a large watershed in the interior of British Columbia, Canada. Ecohydrology 2014, 7, 544–556. [Google Scholar] [CrossRef]
- Li, L.J.; Zhang, L.; Wang, H.; Wang, J.; Yang, J.W.; Jiang, D.J.; Li, J.Y.; Qin, D.Y. Assessing the impact of climate variability and human activities on streamflow from the Wuding River basin in China. Hydrol. Process. Int. J. 2007, 21, 3485–3491. [Google Scholar] [CrossRef]
- Hallema, D.W.; Ge, S.; Caldwell, P.V.; Norman, S.P.; Cohen, E.C.; Liu, Y.; Ward, E.J.; Mcnulty, S.G. Assessment of wildland fire impacts on watershed annual water yield: Analytical framework and case studies in the United States: Wildland fire impacts on annual water yield: Framework and case studies. Ecohydrology 2016, 10. [Google Scholar] [CrossRef]
- Shaake, J. From Climate to Flow, in Climate Change and US Water Resources; Waggoner, P.E., Ed.; John Wiley: New York, NY, USA, 1990; pp. 177–206. [Google Scholar]
- Jones, R.N.; Chiew, F.H.; Boughton, W.C.; Zhang, L. Estimating the sensitivity of mean annual runoff to climate change using selected hydrological models. Adv. Water Resour. 2006, 29, 1419–1429. [Google Scholar] [CrossRef]
- Sankarasubramanian, A.; Vogel, R.M.; Limbrunner, J.F. Climate elasticity of streamflow in the United States. Water Resour. Res. 2001, 37, 1771–1781. [Google Scholar] [CrossRef]
- Chiew, F.H. Estimation of rainfall elasticity of streamflow in Australia. Hydrol. Sci. J. 2006, 51, 613–625. [Google Scholar] [CrossRef]
- Ma, H.; Yang, D.; Tan, S.K.; Gao, B.; Hu, Q. Impact of climate variability and human activity on streamflow decrease in the Miyun Reservoir catchment. J. Hydrol. 2010, 389, 317–324. [Google Scholar] [CrossRef]
- Budyko, M. Evaporation under Natural Conditions; Translated from Russian by Isr; Israel Program for Scientific Translations: Jerusalem, Israel, 1948. [Google Scholar]
- Schreiber, P. Über die Beziehungen zwischen dem Niederschlag und der Wasserführung der Flüsse in Mitteleuropa. Z. Meteorol. 1904, 21, 441–452. [Google Scholar]
- Ol’Dekop, E. On evaporation from the surface of river basins. Trans. Meteorol. Obs. 1911, 4, 200. [Google Scholar]
- Pike, J. The estimation of annual run-off from meteorological data in a tropical climate. J. Hydrol. 1964, 2, 116–123. [Google Scholar] [CrossRef]
- Fu, B. On the calculation of the evaporation from land surface. Sci. Atmos. Sin 1981, 5, 23–31. [Google Scholar]
- Dung, B.X.; Gomi, T.; Miyata, S.; Sidle, R.C. Peak flow responses and recession flow characteristics after thinning of Japanese cypress forest in a headwater catchment. Hydrol. Res. Lett. 2012, 6, 35–40. [Google Scholar] [CrossRef]
- Wang, S.; Fu, B.-J.; He, C.-S.; Sun, G.; Gao, G.-Y. A comparative analysis of forest cover and catchment water yield relationships in northern China. For. Ecol. Manag. 2011, 262, 1189–1198. [Google Scholar] [CrossRef]
- Sun, G.; Caldwell, P.; Noormets, A.; McNulty, S.G.; Cohen, E.; Moore Myers, J.; Domec, J.C.; Treasure, E.; Mu, Q.; Xiao, J. Upscaling key ecosystem functions across the conterminous United States by a water-centric ecosystem model. J. Geophys. Res. Biogeosci. 2011, 116. [Google Scholar] [CrossRef]
- Tian, Y.; Man, X.; Liu, X.; Li, Y. Research on rainfall redistribution of Betula platyphylla secondary forests in north of Da Hinggan Mountains. J. Soil Water Conserv. 2014, 3, 119–123. [Google Scholar]
- Sheng, H.; Cai, T.; Li, Y. Rainfall redistribution in Larix gmelinii forest on northern of Daxing’an Mountains, Northeast of China. J. Soil Water Conserv. 2014, 28, 101–105. [Google Scholar]
- Yu, Z.; Cai, T.; Zhu, B. Characteristics of snowpack in major forest types of northern Daxing’anling Mountains, northeastern China. J. Beijing For. Univ. 2015, 12, 013. [Google Scholar]
- Ford, C.R.; Laseter, S.H.; Swank, W.T.; Vose, J.M. Can forest management be used to sustain water-based ecosystem services in the face of climate change? Ecol. Appl. 2011, 21, 2049–2067. [Google Scholar] [CrossRef] [PubMed]
- Zhang, Y.; Wang, C. Transpiration of boreal and temperate forests. Chin. J. Appl. Environ. Biol. 2008, 6, 838–845. [Google Scholar]
- Mu, T. The estimation of transpiration of main tree species and water consumption of larch in Da Hinggan Moutains. Inn. Mong. For. Sci. Technol. 1980, 2, 3. [Google Scholar]
- Hümann, M.; Schüler, G.; Müller, C.; Schneider, R.; Johst, M.; Caspari, T. Identification of runoff processes—The impact of different forest types and soil properties on runoff formation and floods. J. Hydrol. 2011, 409, 637–649. [Google Scholar] [CrossRef]
- Gebrehiwot, S.G.; Taye, A.; Bishop, K. Forest cover and stream flow in a headwater of the Blue Nile: Complementing observational data analysis with community perception. Ambio 2010, 39, 284–294. [Google Scholar] [CrossRef] [PubMed]
- Kelly, C.N.; McGuire, K.J.; Miniat, C.F.; Vose, J.M. Streamflow response to increasing precipitation extremes altered by forest management. Geophys. Res. Lett. 2016, 43, 3727–3736. [Google Scholar] [CrossRef]
- Cheng, J.; Black, T.; De Vries, J.; Willington, R.; Goodell, B. Evaluation of initial changes in peak streamflow following logging of a watershed on the West coast of Canada. In Proceedings of the International Symposium on Hydrological Characteristics River Basins Effects Characteristics Better Water Manage, Tokyo, Japan, 1–8 December 1975. [Google Scholar]
- Storck, P.; Bowling, L.; Wetherbee, P.; Lettenmaier, D. Application of a GIS-based distributed hydrology model for prediction of forest harvest effects on peak stream flow in the Pacific Northwest. Hydrol. Process. 1998, 12, 889–904. [Google Scholar] [CrossRef]
- Wu, J.; Kong, L.; Wang, J.; Lin, W. Study on hydrological characteristics of forest litters in conifer and broad-leaved mixed forests at different forest successional stages in Jiaohe, Jilin Province. J. Nanjing For. Univ. (Nat. Sci. Ed.) 2016, 40, 113–120. [Google Scholar]
- Zhang, M.; Wei, X.; Sun, P.; Liu, S. The effect of forest harvesting and climatic variability on runoff in a large watershed: The case study in the Upper Minjiang River of Yangtze River basin. J. Hydrol. 2012, 464, 1–11. [Google Scholar] [CrossRef]
- Eisenbies, M.; Aust, W.; Burger, J.; Adams, M.B. Forest operations, extreme flooding events, and considerations for hydrologic modeling in the Appalachians—A review. For. Ecol. Manag. 2007, 242, 77–98. [Google Scholar] [CrossRef]
- Duan, L.L.; Man, X.L.; Kurylyk, B.L.; Cai, T.J. Increasing Winter Baseflow in Response to Permafrost Thaw and Precipitation Regime Shifts in Northeastern China. Water 2017, 9, 25. [Google Scholar] [CrossRef]
- Duan, L.; Cai, T.J. Quantifying Impacts of Forest Recovery on Water Yield in Two Large Watersheds in the Cold Region of Northeast China. Forests 2018, 9, 392. [Google Scholar] [CrossRef]
- Valipour, M. Analysis of potential evapotranspiration using limited weather data. Appl. Water Sci. 2017, 7, 187–197. [Google Scholar] [CrossRef]
- Valipour, M.; Sefidkouhi, M.A.G. Temporal analysis of reference evapotranspiration to detect variation factors. Int. J. Glob. Warm. 2018, 14, 385–401. [Google Scholar] [CrossRef]
- Chang, X.; Jin, H.; Zhang, Y.; He, R.; Luo, D.; Wang, Y.; Lv, L.; Zhang, Q. Thermal impacts of boreal forest vegetation on active layer and permafrost soils in northern Da Xing’anling (Hinggan) Mountains, Northeast China. Arct. Antarct. Alpine Res. 2015, 47, 267–279. [Google Scholar] [CrossRef]








| Time | 1990 | 2000 | 2010 | |||
|---|---|---|---|---|---|---|
| Area (km2) | Percentage (%) | Area (km2) | Percentage (%) | Area (km2) | Percentage (%) | |
| Forest land | 5997 | 90.9 | 5984 | 90.7 | 5957 | 90.3 |
| Grass land | 245 | 3.71 | 235 | 3.6 | 262 | 4.0 |
| Urban and builtup land | 23 | 0.35 | 19 | 0.3 | 19 | 0.3 |
| Farmland | 24 | 0.36 | 36 | 0.6 | 36 | 0.6 |
| Fen wetland | 304 | 4.61 | 319 | 4.8 | 319 | 4.8 |
| Water body | 4 | 0.06 | 4 | 0.1 | 4 | 0.1 |
| Expression Form | |
|---|---|
| Schreiber [51] | |
| Ol’Dekop [52] | |
| Budyko [50] | |
| Pike [53] | |
| Fu [54] | |
| Foster [37], Sun et al. [34] | , w = 2 |
| Variable | Q/mm | P/mm | Runoff Ratio | ET/mm | ET0/mm | T/°C | Tmax/°C | Tmin/°C |
|---|---|---|---|---|---|---|---|---|
| Mean | 247 | 490 | 0.46 | 243 | 562 | −2.05 | 5.12 | −8.22 |
| Slope | 0.7 | 0.9 | 0.07% | 0.1 | 1.4 1 | 0.028 | 0.043 | 0.018 |
| Period | |||||||
|---|---|---|---|---|---|---|---|
| Absolute (mm) and Restively Change | Relative Contribution | Absolute (mm) and Relative Change | Relative Contribution | ||||
| Period 1 | Baseline Period | ||||||
| Period 2 | +27 | +26 | +54 (26%) | +35.5 (+16.4%) | 65.7% | +17.7 (+8.1%) | 34.3% |
| Period 3 | +17 | +36 | +26 (11%) | +22.7 (+10.4%) | 87.3% | +3.4 (+1.6%) | 12.7% |
| Period 4 | +45 | +48 | +44 (20%) | +19.5 (+9.0%) | 44.3% | +24.0 (+11.1%) | 55.7% |
© 2019 by the authors. Licensee MDPI, Basel, Switzerland. This article is an open access article distributed under the terms and conditions of the Creative Commons Attribution (CC BY) license (http://creativecommons.org/licenses/by/4.0/).
Share and Cite
Yu, Z.; Sun, G.; Cai, T.; Hallema, D.W.; Duan, L. Water Yield Responses to Gradual Changes in Forest Structure and Species Composition in a Subboreal Watershed in Northeastern China. Forests 2019, 10, 211. https://doi.org/10.3390/f10030211
Yu Z, Sun G, Cai T, Hallema DW, Duan L. Water Yield Responses to Gradual Changes in Forest Structure and Species Composition in a Subboreal Watershed in Northeastern China. Forests. 2019; 10(3):211. https://doi.org/10.3390/f10030211
Chicago/Turabian StyleYu, Zhengxiang, Ge Sun, Tijiu Cai, Dennis W. Hallema, and Liangliang Duan. 2019. "Water Yield Responses to Gradual Changes in Forest Structure and Species Composition in a Subboreal Watershed in Northeastern China" Forests 10, no. 3: 211. https://doi.org/10.3390/f10030211
APA StyleYu, Z., Sun, G., Cai, T., Hallema, D. W., & Duan, L. (2019). Water Yield Responses to Gradual Changes in Forest Structure and Species Composition in a Subboreal Watershed in Northeastern China. Forests, 10(3), 211. https://doi.org/10.3390/f10030211

