The Effects of Different Lead Pollution Levels on Soil Microbial Quantities and Metabolic Function with/without Salix integra Thunb. Planting
Abstract
1. Introduction
2. Materials and Methods
2.1. Study Site and Plant Material
2.2. Experimental Set Up
2.3. Soil Collection
2.4. Analysis Methods
2.4.1. Soil Properties Analysis
2.4.2. Quantities of Soil Culturable Microbes
2.4.3. Community Level Physiological Profiling
2.5. Statistical Analyses
3. Results
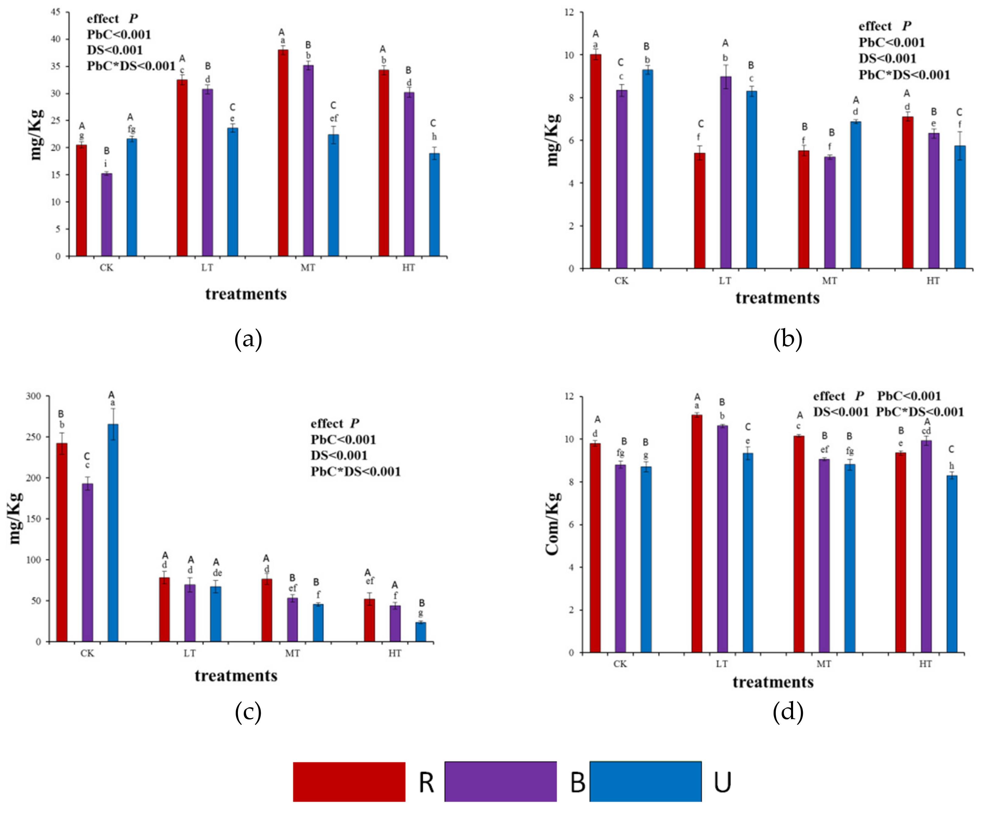
3.1. Soil Physicochemical Properties
3.2. The Quantities of Soil Culturable Microbes
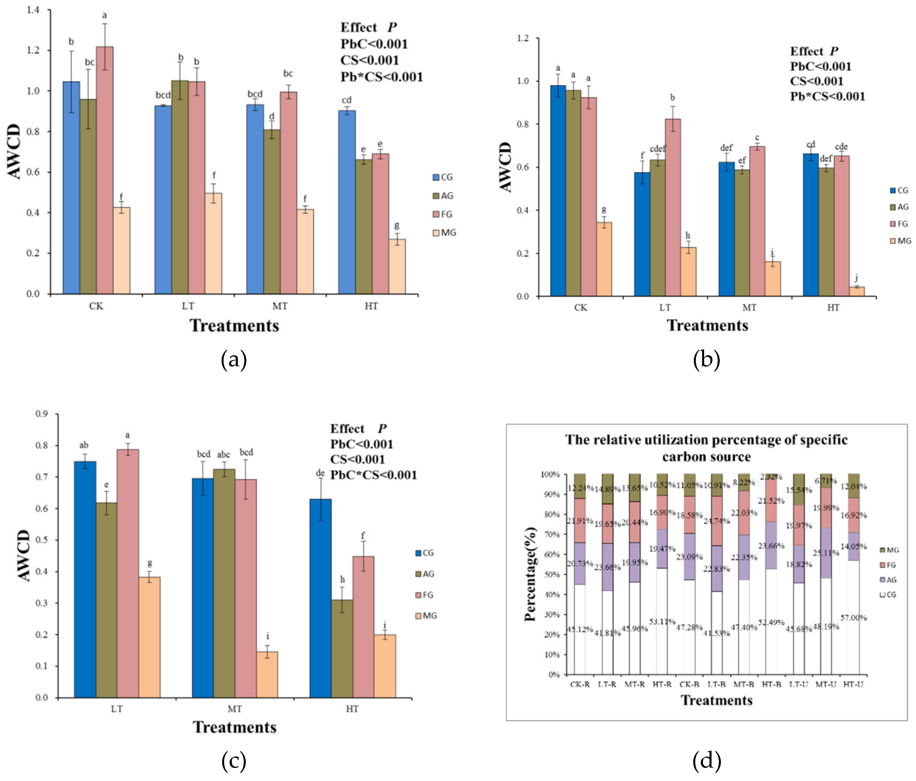
3.3. Metabolic Activity of Microbial Communities
3.4. Utilization of Specific Carbon Sources
3.5. Microbial Community Metabolic Profiles
3.6. Diversity Indices of Soil Microbial Communities
3.7. Relationships of Microbial Quantities, Metabolic Profiles and Soil Chemical Properties
4. Discussion
4.1. Effects of S. integra Planting and Pb Pollution on Soil Properties and Microbial Quantities
4.2. Effects of S. integra Planting and Pb on Microbial Metabolic Profiles
5. Conclusions
Author Contributions
Funding
Conflicts of Interest
References
- Sarwar, N.; Imran, M.; Shaheen, M.R.; Ishaque, W.; Kamran, M.A.; Matloob, A.; Rehim, A.; Hussain, S. Phytoremediation Strategies for Soils Contaminated with Heavy Metals: Modifications and Future Perspectives. Chemosphere 2017, 171, 710–721. [Google Scholar] [CrossRef] [PubMed]
- Venkatachalam, P.; Jayalakshmi, N.; Geetha, N.; Sahi, S.V.; Sharma, N.C.; Rene, E.R.; Sarkar, S.K.; Favas, P.J.C. Accumulation Efficiency, Genotoxicity and Antioxidant Defense Mechanisms in Medicinal Plant Acalypha indica L. Under Lead Stress. Chemosphere 2017, 171, 544–553. [Google Scholar] [CrossRef] [PubMed]
- Yang, Q.Q.; Li, Z.Y.; Lu, X.N.; Duan, Q.N.; Huang, L.; Bi, J. A Review of Soil Heavy Metal Pollution from Industrial and Agricultural Regions in China: Pollution and Risk Assessment. Sci. Total Environ. 2018, 642, 690–700. [Google Scholar] [CrossRef] [PubMed]
- Liu, Z.C.; Wang, L.A.; Ding, S.M.; Xiao, H.Y. Enhancer Assisted-Phytoremediation of Mercury-Contaminated Soils by Oxalis corniculata L., and Rhizosphere Microorganism Distribution of Oxalis corniculata L. Ecotoxicol. Environ. Saf. 2018, 160, 171–177. [Google Scholar] [CrossRef] [PubMed]
- Ali, H.; Khan, E.; Sajad, M.A. Phytoremediation of Heavy Metals-Concepts and Applications. Chemosphere 2013, 91, 869–881. [Google Scholar] [CrossRef] [PubMed]
- Van der Ent, A.; Baker, A.J.M.; Reeves, R.D.; Pollard, A.J.; Schat, H. Hyperaccumulators of Metal and Metalloid Trace Elements: Facts and Fiction. Plant Soil 2013, 362, 319–334. [Google Scholar] [CrossRef]
- Ebbs, S.D.; Kochian, L.V. Toxicity of Zinc and Copper to Brassica Species: Implications for Phytoremediation. J. Environ. Qual. 1997, 26, 776–781. [Google Scholar] [CrossRef]
- Doumett, S.; Lamperi, L.; Checchini, L.; Azzarello, E.; Mugnai, S.; Mancuso, S.; Petruzzelli, G.; Bubba, M. Heavy Metal Distribution between Contaminated Soil and Paulownia Tomentosa, in a Pilot-Scale Assisted Phytoremediation Study: Influence of Different Complexing Agents. Chemosphere 2008, 72, 1481–1490. [Google Scholar] [CrossRef]
- Yang, W.D.; Ding, Z.L.; Zhao, F.L.; Wang, Y.Y.; Zhang, X.C.; Zhu, Z.Q.; Yang, X.E. Comparison of Manganese Tolerance and Accumulation among 24 Salix Clones in a Hydroponic Experiment: Application for Phytoremediation. J. Geochem. Explor. 2015, 149, 1–7. [Google Scholar] [CrossRef]
- Marzilli, M.; Di Santo, P.; Palumbo, G.; Maiuro, L.; Paura, B.; Tognetti, R.; Cocozza, C. Cd and Cu Accumulation, Translocation and Tolerance in Populus Alba Clone (Villafranca) in Autotrophic in Vitro Screening. Environ. Sci. Pollut. Res. 2018, 10, 10058–10068. [Google Scholar] [CrossRef]
- Fan, M.C.; Xiao, X.; Guo, Y.Q.; Zhang, J.; Wang, E.T.; Chen, W.M.; Lin, Y.B.; Wei, G.H. Enhanced Phytoremdiation of Robinia Pseudoacacia in Heavy Metal-Contaminated Soils with Rhizobia and the Associated Bacterial Community Structure and Function. Chemosphere 2018, 197, 729–740. [Google Scholar] [CrossRef] [PubMed]
- Komives, T.; Gullner, G. Dendroremediation: The Use of Trees in Cleaning up Polluted Soils. In Phytoremediation Rhizoremediation; Mackova, M., Dowling, D., Macek, T., Eds.; Springer: Berlin, Germany, 2006; pp. 23–31. [Google Scholar]
- Kuzovkina, Y.A.; Volk, T.A. The Characterization of Willow (Salix L.) Varieties for Use in Ecological Engineering Applications: Co-Ordination of Structure, Function and Autecology. Ecol. Eng. 2009, 35, 1178–1189. [Google Scholar] [CrossRef]
- Sola, M.Z.S.; Visnuk, D.P.; Benimeli, C.S.; Polti, M.A.; Alvarez, A. Cr(Vi) and Lindane Removal by Streptomyces M7 Is Improved by Maize Root Exudates. J. Basic Microbiol. 2017, 57, 1037–1044. [Google Scholar] [CrossRef] [PubMed]
- Cui, H.B.; Fan, Y.C.; Yang, J.; Xu, L.; Zhou, J.; Zhu, Z.Q. In Situ Phytoextraction of Copper and Cadmium and Its Biological Impacts in Acidic Soil. Chemosphere 2016, 161, 233–241. [Google Scholar] [CrossRef] [PubMed]
- Qin, H.; Brookes, P.C.; Xu, J.M. Cucurbita Spp. And Cucumis Sativus Enhance the Dissipation of Polychlorinated Biphenyl Congeners by Stimulating Soil Microbial Community Development. Environ. Pollut. 2014, 184, 306–312. [Google Scholar] [CrossRef] [PubMed]
- Ridl, J.; Kolar, M.; Strejcek, M.; Strnad, H.; Stursa, P.; Paces, J.; Macek, T.; Uhlik, O. Plants Rather Than Mineral Fertilization Shape Microbial Community Structure and Functional Potential in Legacy Contaminated Soil. Front. Microbiol. 2016, 7. [Google Scholar] [CrossRef]
- Sheng, X.F.; Xia, J.J. Improvement of Rape (Brassica Napus) Plant Growth and Cadmium Uptake by Cadmium-Resistant Bacteria. Chemosphere 2006, 64, 1036–1042. [Google Scholar] [CrossRef]
- Sun, X.Y.; Zhou, Y.L.; Tan, Y.J.; Wu, Z.X.; Lu, P.; Zhang, G.H.; Yu, F.X. Restoration with Pioneer Plants Changes Soil Properties and Remodels the Diversity and Structure of Bacterial Communities in Rhizosphere and Bulk Soil of Copper Mine Tailings in Jiangxi Province, China. Environ. Sci. Pollut. Res. 2018, 25, 22106–22119. [Google Scholar] [CrossRef]
- Novo, L.A.B.; Castro, P.M.L.; Alvarenga, P.; da Silva, E.F. Plant Growth–Promoting Rhizobacteria-Assisted Phytoremediation of Mine Soils. In Bio-Geotechnologies for Mine Site Rehabilitation; Elsevier: Amsterdam, The Netherlands, 2018; pp. 281–295. [Google Scholar]
- Li, Y.; Jia, Z.J.; Sun, Q.Y.; Zhan, J.; Yang, Y.; Wang, D. Ecological Restoration Alters Microbial Communities in Mine Tailings Profiles. Sci. Rep. 2016, 6. [Google Scholar] [CrossRef]
- Yang, T.T.; Liu, J.; Chen, W.C.; Chen, X.; Shu, H.Y.; Jia, P.; Liao, B.; Shu, W.S.; Li, J.T. Changes in Microbial Community Composition Following Phytostabilization of an Extremely Acidic Cu Mine Tailings. Soil Biol. Biochem. 2017, 114, 52–58. [Google Scholar] [CrossRef]
- Epelde, L.; Becerril, J.M.; Kowalchuk, G.A.; Deng, Y.; Zhou, J.Z.; Garbisu, C. Impact of Metal Pollution and Thlaspi Caerulescens Growth on Soil Microbial Communities. Appl. Environ. Microbiol. 2010, 76, 7843–7853. [Google Scholar] [CrossRef]
- Foulon, J.; Zappelini, C.; Durand, A.; Valot, B.; Blaudez, D.; Chalot, M. Impact of Poplar-Based Phytomanagement on Soil Properties and Microbial Communities in a Metal-Contaminated Site. Fems Microbiol. Ecol. 2016, 92. [Google Scholar] [CrossRef] [PubMed]
- Sun, L.Q.; Cao, X.F.; Li, M.; Zhang, X.; Li, X.X.; Cui, Z.J. Enhanced Bioremediation of Lead-Contaminated Soil by Solanum nigrum L. With Mucor Circinelloides. Environ. Sci. Pollut. Res. 2017, 24, 9681–9689. [Google Scholar] [CrossRef] [PubMed]
- Li, X.N.; Gitau, M.M.; Han, S.J.; Fu, J.M.; Xie, Y. Effects of Cadmium-Resistant Fungi Aspergillus Aculeatus on Metabolic Profiles of Bermudagrass [Cynodondactylon (L.) Pers.] under Cd Stress. Plant Physiol. Biochem. 2017, 114, 38–50. [Google Scholar] [CrossRef] [PubMed]
- Gao, Y.; Miao, C.Y.; Mao, L.A.; Zhou, P.; Jin, Z.G.; Shi, W.J. Improvement of Phytoextraction and Antioxidative Defense in Solanum nigrum L. Under Cadmium Stress by Application of Cadmium-Resistant Strain and Citric Acid. J. Hazard. Mater. 2010, 181, 771–777. [Google Scholar] [CrossRef]
- Zhang, X.; Li, X.X.; Yang, H.H.; Cui, Z.J. Biochemical Mechanism of Phytoremediation Process of Lead and Cadmium Pollution with Mucor Circinelloides and Trichoderma Asperellum. Ecotoxicol. Environ. Saf. 2018, 157, 21–28. [Google Scholar] [CrossRef] [PubMed]
- Huang, Z.; Zhao, F.; Hua, J.F.; Ma, Z.H. Prediction of the Distribution of Arbuscular Mycorrhizal Fungi in the Metal(Loid)-Contaminated Soils by the Arsenic Concentration in the Fronds of Pteris vittata L. J. Soils Sediments 2018, 18, 2544–2551. [Google Scholar] [CrossRef]
- Basharat, Z.; Novo, L.; Yasmin, A. Genome Editing Weds CRISPR: What Is in It for Phytoremediation? Plants-Basel 2018, 7, 51. [Google Scholar] [CrossRef]
- Lebrun, M.; Macri, C.; Miard, F.; Hattab-Hambli, N.; Motelica-Heino, M.; Morabito, D.; Bourgerie, S. Effect of Biochar Amendments on As and Pb Mobility and Phytoavailability in Contaminated Mine Technosols Phytoremediated by Salix. J. Geochem. Explor. 2017, 182, 149–156. [Google Scholar] [CrossRef]
- Cao, Y.N.; Ma, C.X.; Chen, G.C.; Zhang, J.F.; Xing, B.S. Physiological and Biochemical Responses of Salix Integra Thunb. Under Copper Stress as Affected by Soil Flooding. Environ. Pollut. 2017, 225, 644–653. [Google Scholar] [CrossRef]
- Yang, T.X.; He, Q.; He, C.G.; Wang, A.X.; Sheng, L.X. Effect of Planting and Fertilization on Lead Partitioning in Dredged Sediment. Ecotoxicology 2018, 27, 69–80. [Google Scholar] [CrossRef] [PubMed]
- Cao, Y.N.; Zhang, Y.; Ma, C.X.; Li, H.M.; Zhang, J.F.; Chen, G.C. Growth, Physiological Responses, and Copper Accumulation in Seven Willow Species Exposed to Cu-a Hydroponic Experiment. Environ. Sci. Pollut. Res. 2018, 25, 19875–19886. [Google Scholar] [CrossRef] [PubMed]
- Wang, S.F.; Shi, X.; Sun, H.J.; Chen, Y.T.; Pan, H.W.; Yang, X.; Rafiq, T. Variations in Metal Tolerance and Accumulation in Three Hydroponically Cultivated Varieties of Salix Integra Treated with Lead. PLoS ONE 2014, 9, e108568. [Google Scholar] [CrossRef] [PubMed]
- Liu, Y.Q.; Chen, G.C.; Zhang, J.F.; Shi, X.; Wang, R.M. Uptake of Cadmium from Hydroponic Solutions by Willows (Salix Spp.) Seedlings. Afr. J. Biotechnol. 2011, 10, 16209–16218. [Google Scholar]
- Tlustos, P.; Szakova, J.; Vyslouzilova, M.; Pavlikova, D.; Weger, J.; Javorska, H. Variation in the Uptake of Arsenic, Cadmium, Lead, and Zinc by Different Species of Willows Salix Spp. Grown in Contaminated Soils. Cent. Eur. J. Biol. 2007, 2, 254–275. [Google Scholar] [CrossRef]
- Bao, S.D. Soil Agrochemical Analysis, 3rd ed.; China Agriculture Press: Beijing, China, 2000; pp. 25–177. ISBN 9787109066441. [Google Scholar]
- Jiang, L.L.; Han, G.M.; Lan, Y.; Liu, S.N.; Gao, J.P.; Yang, X.; Meng, J.; Chen, W.F. Corn Cob Biochar Increases Soil Culturable Bacterial Abundance without Enhancing Their Capacities in Utilizing Carbon Sources in Biolog Eco-Plates. J. Integr. Agric. 2017, 16, 713–724. [Google Scholar] [CrossRef]
- Lin, X.G. Principles and Methods of Soil Microbial Research; High Education Press: Beijing, China, 2010; pp. 40–60. ISBN 9787040284072. [Google Scholar]
- Button, M.; Rodriguez, M.; Brisson, J.; Weber, K.P. Use of Two Spatially Separated Plant Species Alters Microbial Community Function in Horizontal Subsurface Flow Constructed Wetlands. Ecol. Eng. 2016, 92, 18–27. [Google Scholar] [CrossRef]
- Zhao, Z.; Shi, H.J.; Liu, C.Q.; Kang, X.J.; Chen, L.C.; Liang, X.F.; Jin, L. Duckweed Diversity Decreases Heavy Metal Toxicity by Altering the Metabolic Function of Associated Microbial Communities. Chemosphere 2018, 203, 76–82. [Google Scholar] [CrossRef]
- Ma, Y.T.; Li, J.Q.; Wu, J.; Kong, Z.Y.; Feinstein, L.M.; Ding, X.; Ge, G.; Wu, L. Bacterial and Fungal Community Composition and Functional Activity Associated with Lake Wetland Water Level Gradients. Sci. Rep. 2018, 8. [Google Scholar] [CrossRef]
- Zhang, D.; Wang, C.; Zhang, L.P.; Xu, D.; Liu, B.Y.; Zhou, Q.H.; Wu, Z.B. Structural and Metabolic Responses of Microbial Community to Sewage-Borne Chlorpyrifos in Constructed Wetlands. J. Environ. Sci. 2016, 44, 4–12. [Google Scholar] [CrossRef]
- Sofo, A.; Elshafie, H.S.; Scopa, A.; Mang, S.M.; Camele, I. Impact of Airborne Zinc Pollution on the Antimicrobial Activity of Olive Oil and the Microbial Metabolic Profiles of Zn-Contaminated Soils in an Italian Olive Orchard. J. Trace Elem. Med. Biol. 2018, 49, 276–284. [Google Scholar] [CrossRef]
- Gryta, A.; Frac, M.; Oszust, K. The Application of the Biolog Ecoplate Approach in Ecotoxicological Evaluation of Dairy Sewage Sludge. Appl. Biochem. Biotechnol. 2014, 174, 1434–1443. [Google Scholar] [CrossRef] [PubMed]
- Xun, Y.; Zhang, X.J.; Chaoliang, C.; Luo, X.G.; Zhang, Y. Comprehensive Evaluation of Soil near Uranium Tailings, Beishan City, China. Bull. Environ. Contam. Toxicol. 2018, 100, 843–848. [Google Scholar] [CrossRef] [PubMed]
- Liu, C.J.; Lin, H.; Dong, Y.B.; Li, B.; Liu, Y. Investigation on Microbial Community in Remediation of Lead-Contaminated Soil by Trifolium Repensl. Ecotoxicol. Environ. Saf. 2018, 165, 52–60. [Google Scholar] [CrossRef]
- Hou, D.D.; Lin, Z.; Wang, R.Z.; Ge, J.; Wei, S.; Xie, R.H.; Wang, H.X.; Wang, K.; Hu, Y.F.; Yang, X.E.; et al. Cadmium Exposure-Sedum Alfredii Planting Interactions Shape the Bacterial Community in the Hyperaccumulator Plant Rhizosphere. Appl. Environ. Microbiol. 2018, 84. [Google Scholar] [CrossRef] [PubMed]
- Golebiewski, M.; Deja-Sikora, E.; Cichosz, M.; Tretyn, A.; Wrobel, B. 16s Rdna Pyrosequencing Analysis of Bacterial Community in Heavy Metals Polluted Soils. Microb. Ecol. 2014, 67, 635–647. [Google Scholar] [CrossRef] [PubMed]
- Rathnayake, I.V.N.; Megharaj, M.; Krishnamurti, G.S.R.; Bolan, N.S.; Naidu, R. Heavy Metal Toxicity to Bacteria—Are the Existing Growth Media Accurate Enough to Determine Heavy Metal Toxicity? Chemosphere 2013, 90, 1195–1200. [Google Scholar] [CrossRef]
- Diao, Z. Effects of Exogenous Heavy Mentals on Soil Nutrients and Biological Activity in Different Types of Soil. Master’s Thesis, Northwest Agricultural and Forestry University, Yangling, China, 2016. [Google Scholar]
- Lorestani, B.; Cheraghi, M.; Yousefi, N. Accumulation of Pb, Fe, Mn, Cu and Zn in Plants and Choice of Hyperaccumulator Plant in the Industrial Town of Vian, Iran. Arch. Biol. Sci. 2011, 63, 739–745. [Google Scholar] [CrossRef]
- Dheeba, B.; Sampathkumar, P.; Kannan, K. Growth, Chromium Accumulation Potential and Biochemical Changes of Vigna Radiata and Zea Mays Grown with Effective Microbes. Proc. Natl. Acad. Sci. India 2014, 84, 381–387. [Google Scholar] [CrossRef]
- Li, N.Y.; Li, Z.A.; Fu, Q.L.; Zhuang, P.; Guo, B.; Li, H. Agricultural Technologies for Enhancing the Phytoremediation of Cadmium-Contaminated Soil by Amaranthus hypochondriacus L. Water Air Soil Pollut. 2013, 224. [Google Scholar] [CrossRef]
- Chodak, M.; Golebiewski, M.; Morawska-Ploskonka, J.; Kuduk, K.; Niklinska, M. Diversity of Microorganisms from Forest Soils Differently Polluted with Heavy Metals. Appl. Soil Ecol. 2013, 64, 7–14. [Google Scholar] [CrossRef]
- Rinconflorez, V.A.; Carvalhais, L.C.; Schenk, P.M. Culture-Independent Molecular Tools for Soil and Rhizosphere Microbiology. Diversity 2013, 5, 581–612. [Google Scholar] [CrossRef]
- Long, X.E.; Chen, C.R.; Xu, Z.H.; He, J.Z. Shifts in the Abundance and Community Structure of Soil Ammonia Oxidizers in a Wet Sclerophyll Forest under Long-Term Prescribed Burning. Sci. Total Environ. 2014, 470, 578–586. [Google Scholar] [CrossRef] [PubMed]
- Xiong, W.; Li, Z.G.; Liu, H.J.; Xue, C.; Zhang, R.F.; Wu, H.S.; Li, R.; Shen, Q.R. The Effect of Long-Term Continuous Cropping of Black Pepper on Soil Bacterial Communities as Determined by 454 Pyrosequencing. PLoS ONE 2015, 10, e136946. [Google Scholar] [CrossRef] [PubMed]
- Park, J.H.; Lamb, D.; Paneerselvam, P.; Choppala, G.; Bolan, N.; Chung, J.W. Role of Organic Amendments on Enhanced Bioremediation of Heavy Metal(Loid) Contaminated Soils. J. Hazard. Mater. 2011, 185, 549–574. [Google Scholar] [CrossRef] [PubMed]
- Jiang, Y.; Huang, R.; Jiang, S.; Qin, Z.; Yan, X. Adsorption of Cd(Ii) by Rhizosphere and Non-Rhizosphere Soil Originating from Mulberry Field under Laboratory Condition. Int. J. Phytoremediation 2018, 20, 378–383. [Google Scholar] [CrossRef] [PubMed]
- Yang, W.H.; Zhang, T.X.; Lin, S.; Ni, W.Z. Distance-Dependent Varieties of Microbial Community Structure and Metabolic Functions in the Rhizosphere of Sedum Alfredii Hance During Phytoextraction of a Cadmium-Contaminated Soil. Environ. Sci. Pollut. Res. 2017, 24, 14234–14248. [Google Scholar] [CrossRef] [PubMed]
- Hortal, S.; Bastida, F.; Armas, C.; Lozano, Y.M.; Moreno, J.L.; Garcia, C.; Pugnaire, F.I. Soil Microbial Community under a Nurse-Plant Species Changes in Composition, Biomass and Activity as the Nurse Grows. Soil Biol. Biochem. 2013, 64, 139–146. [Google Scholar] [CrossRef]
- Yoshitake, S.; Fujiyoshi, M.; Watanabe, K.; Masuzawa, T.; Nakatsubo, T.; Koizumi, H. Successional Changes in the Soil Microbial Community Along a VegetationDevelopment Sequence in a Subalpine Volcanic Desert on Mount Fuji, Japan. Plant Soil 2013, 364, 261–272. [Google Scholar] [CrossRef]
- Tscherko, D.; Hammesfahr, U.; Marx, M.C.; Kandeler, E. Shifts in Rhizosphere Microbial Communities and Enzyme Activity of Poa Alpina across an Alpine Chronosequence. Soil Biol. Biochem. 2004, 36, 1685–1698. [Google Scholar] [CrossRef]
- Yang, J.Y.; Yang, X.E.; He, Z.L.; Li, T.Q.; Shentu, J.L.; Stoffella, P.J. Effects of Ph, Organic Acids, and Inorganic Ions on Lead Desorption from Soils. Environ. Pollut. 2006, 143, 9–15. [Google Scholar] [CrossRef] [PubMed]
- He, Y.; Xu, J.M.; Lv, X.F.; Ma, Z.H.; Wu, J.J.; Shi, J.C. Does the Depletion of Pentachlorophenol in Root-Soil Interface Follow a Simple Linear Dependence on the Distance to Root Surfaces? Soil Biol. Biochem. 2009, 41, 1807–1813. [Google Scholar] [CrossRef]
- Sasse, J.; Martinoia, E.; Northen, T. Feed Your Friends: Do Plant Exudates Shape the Root Microbiome? Trends Plant Sci. 2018, 23, 25–41. [Google Scholar] [CrossRef] [PubMed]
- Kenarova, A.; Radeva, G.; Traykov, I.; Boteva, S. Community Level Physiological Profiles of Bacterial Communities Inhabiting Uranium Mining Impacted Sites. Ecotoxicol. Environ. Saf. 2014, 100, 226–232. [Google Scholar] [CrossRef] [PubMed]
- Epelde, L.; Lanzen, A.; Blanco, F.; Urich, T.; Garbisu, C. Adaptation of Soil Microbial Community Structure and Function to Chronic Metal Contamination at an Abandoned Pb-Zn Mine. Fems Microbiol. Ecol. 2015, 91. [Google Scholar] [CrossRef] [PubMed]
- Klimek, B.; Sitarz, A.; Choczynski, M.; Niklinska, M. The Effects of Heavy Metals and Total Petroleum Hydrocarbons on Soil Bacterial Activity and Functional Diversity in the Upper Silesia Industrial Region (Poland). Water Air Soil Pollut. 2016, 227. [Google Scholar] [CrossRef] [PubMed]
- Hemme, C.L.; Deng, Y.; Gentry, T.J.; Fields, M.W.; Wu, L.Y.; Barua, S.; Barry, K.; Tringe, S.G.; Watson, D.B.; He, Z.L.; et al. Metagenomic Insights into Evolution of a Heavy Metal-Contaminated Groundwater Microbial Community. Isme J. 2010, 4, 660–672. [Google Scholar] [CrossRef]
- Fu, H.J.; Yu, H.Y.; Li, T.X.; Zhang, X.Z. Influence of Cadmium Stress on Root Exudates of High Cadmium Accumulating Rice Line (Oryza Sativa L.). Ecotoxicol. Environ. Saf. 2018, 150, 168–175. [Google Scholar] [CrossRef]
- Meier, S.; Alvear, M.; Borie, F.; Aguilera, P.; Ginocchio, R.; Cornejo, P. Influence of Copper on Root Exudate Patterns in Some Metallophytes and Agricultural Plants. Ecotoxicol. Environ. Saf. 2012, 75, 8–15. [Google Scholar] [CrossRef]
- Seshadri, B.; Bolan, N.S.; Naidu, R. Rhizosphere-Induced Heavy Metal(Loid) Transformation in Relation to Bioavailability and Remediation. J. Soil Sci. Plant Nutr. 2015, 15, 524–548. [Google Scholar] [CrossRef]
- Niu, Z.X.; Li, X.D.; Sun, L.N.; Sun, T.H. Dynamics of Three Organic Acids (Malic, Acetic and Succinic Acid) in Sunflower Exposed to Cadmium and Lead. Int. J. Phytoremediation 2013, 15, 690–702. [Google Scholar] [CrossRef] [PubMed]
- Tao, Q.; Hou, D.D.; Yang, X.E.; Li, T.Q. Oxalate Secretion from the Root Apex of Sedum Alfredii Contributes to Hyperaccumulation of Cd. Plant Soil 2016, 398, 139–152. [Google Scholar] [CrossRef]
- Luo, Q.; Wang, S.Y.; Sun, L.N.; Wang, H.; Bao, T.; Adeel, M. Identification of Root Exudates from the Pb-Accumulator Sedum Alfredii under Pb Stresses and Assessment of Their Roles. J. Plant Interact. 2017, 12, 272–278. [Google Scholar] [CrossRef]
- Luo, Q.; Wang, S.Y.; Sun, L.N.; Wang, H. Metabolic Profiling of Root Exudates from Two Ecotypes of Sedum Alfredii Treated with Pb Based on Gc-Ms. Sci. Rep. 2017, 7. [Google Scholar] [CrossRef] [PubMed]
- Kuang, Y.W.; Wen, D.Z.; Zhong, C.W.; Zhou, G.Y. Root Exudates and Their Roles in Phytoremediation. Acta Phytoecol. Sin. 2003, 27, 709–717. [Google Scholar] [CrossRef]
- Jiang, C.A.; Wu, Q.T.; Zeng, S.C.; Chen, X.; Wei, Z.B.; Long, X.X. Dissolution of Different Zinc Salts and Zn Uptake by Sedum Alfredii and Maize in Mono- and Co-Cropping under Hydroponic Culture. J. Environ. Sci. 2013, 25, 1890–1896. [Google Scholar] [CrossRef]










© 2019 by the authors. Licensee MDPI, Basel, Switzerland. This article is an open access article distributed under the terms and conditions of the Creative Commons Attribution (CC BY) license (http://creativecommons.org/licenses/by/4.0/).
Share and Cite
Niu, X.; Zhou, Y.; Zhou, J.; Wang, X.; Gao, Z.; Huang, D. The Effects of Different Lead Pollution Levels on Soil Microbial Quantities and Metabolic Function with/without Salix integra Thunb. Planting. Forests 2019, 10, 77. https://doi.org/10.3390/f10020077
Niu X, Zhou Y, Zhou J, Wang X, Gao Z, Huang D. The Effects of Different Lead Pollution Levels on Soil Microbial Quantities and Metabolic Function with/without Salix integra Thunb. Planting. Forests. 2019; 10(2):77. https://doi.org/10.3390/f10020077
Chicago/Turabian StyleNiu, Xiaoyun, Yong Zhou, Jian Zhou, Xiaona Wang, Zhuotian Gao, and Dazhuang Huang. 2019. "The Effects of Different Lead Pollution Levels on Soil Microbial Quantities and Metabolic Function with/without Salix integra Thunb. Planting" Forests 10, no. 2: 77. https://doi.org/10.3390/f10020077
APA StyleNiu, X., Zhou, Y., Zhou, J., Wang, X., Gao, Z., & Huang, D. (2019). The Effects of Different Lead Pollution Levels on Soil Microbial Quantities and Metabolic Function with/without Salix integra Thunb. Planting. Forests, 10(2), 77. https://doi.org/10.3390/f10020077

