Short-Term Nitrogen Addition Does Not Significantly Alter the Effects of Seasonal Drought on Leaf Functional Traits in Machilus pauhoi Kanehira Seedlings
Abstract
1. Introduction
2. Materials and Methods
2.1. Experimental Design
2.2. Leaf Sampling and Functional Traits Determination
2.3. Soil Sampling and Physicochemical Properties Determination
2.4 Data Analysis
3. Results
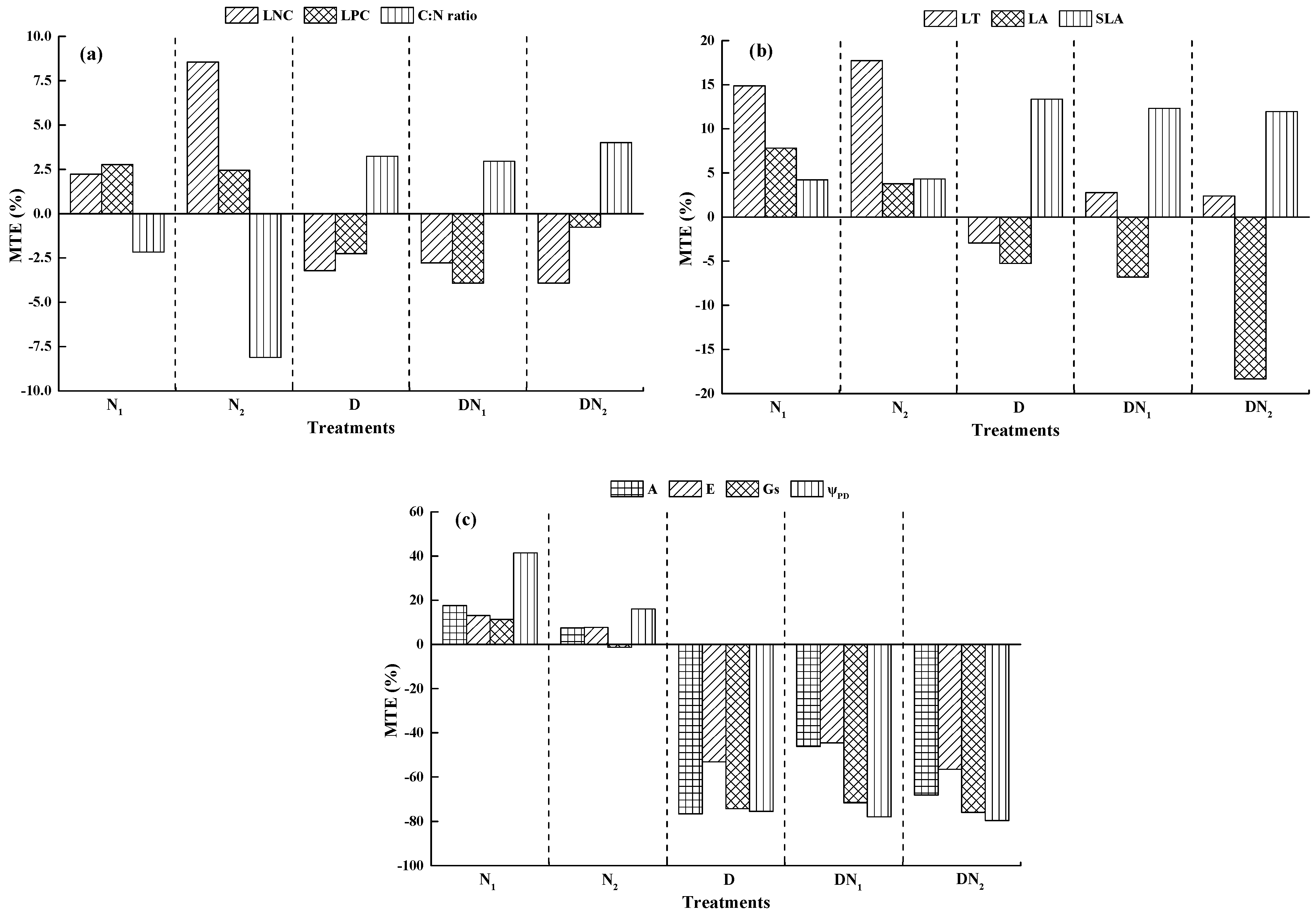
3.1. Effects of Drought Treatment, N Addition and their Interaction on Leaf Functional Traits
3.2. Treatment Effects of Drought, N Addition, and their Interaction on Leaf Functional Traits
3.3. Effect of Drought Treatment, N Addition and their Interaction on Soil Physicochemical Properties
3.4. Main Soil Factors Affecting Leaf Functional Traits
4. Discussion
4.1. Response to Drought Stress
4.2. Response to N Addition
4.3. Additive or Non-Additive Effects?
5. Conclusions
Supplementary Materials
Author Contributions
Funding
Acknowledgments
Conflicts of Interest
References
- Anderson-Teixeira, K.J.; Davies, S.J.; Bennett, A.C.; Gonzalez-Akre, E.B.; Muller-Landau, H.C.; Wright, S.J.; Abu Salim, K.; Almeyda Zambrano, A.M.; Alonso, A.; Baltzer, J.L.; et al. CTFS-Forest GEO: A worldwide network monitoring forests in an era of global change. Glob. Chang. Biol. 2015, 21, 528–549. [Google Scholar] [CrossRef] [PubMed]
- Dziedek, C.; Hardtle, W.; von Oheimb, G.; Fichtner, A. Nitrogen addition enhances drought sensitivity of young deciduous tree species. Front. Plant Sci. 2016, 7, 1100. [Google Scholar] [CrossRef] [PubMed]
- Dziedek, C.; Fichtner, A.; Calvo, L.; Marcos, E.; Jansen, K.; Kunz, M.; Walmsley, D.; Von Oheimb, G.; Härdtle, W. Phenotypic plasticity explains response patterns of European Beech (Fagus sylvatica L.) saplings to nitrogen fertilization and drought events. Forests 2017, 8, 91. [Google Scholar] [CrossRef]
- Grossiord, C.; Granier, A.; Ratcliffe, S.; Bouriaud, O.; Bruelheide, H.; Checko, E.; Forrester, D.I.; Dawud, S.M.; Finer, L.; Pollastrini, M.; et al. Tree diversity does not always improve resistance of forest ecosystems to drought. Proc. Natl. Acad. Sci. USA 2014, 111, 14812–14815. [Google Scholar] [CrossRef]
- Chaves, M.M. How plants cope with water stress in the field. Photosynthesis and growth. Ann. Bot. 2002, 89, 907–916. [Google Scholar] [CrossRef] [PubMed]
- Hofer, D.; Suter, M.; Haughey, E.; Finn, J.A.; Hoekstra, N.J.; Buchmann, N.; Lüscher, A.; Bennett, J. Yield of temperate forage grassland species is either largely resistant or resilient to experimental summer drought. J. Appl. Ecol. 2016, 53, 1023–1034. [Google Scholar] [CrossRef]
- Hoover, D.L.; Duniway, M.C.; Belnap, J.; Cornwell, W. Testing the apparent resistance of three dominant plants to chronic drought on the Colorado Plateau. J. Ecol. 2017, 105, 152–162. [Google Scholar] [CrossRef]
- Reich, P.B.; Oleksyn, J. Global patterns of plant leaf N and P in relation to temperature and latitude. Proc. Natl. Acad. Sci. USA 2004, 101, 11001–11006. [Google Scholar] [CrossRef]
- Du, E.; Liu, X.; Fang, J. Effects of nitrogen additions on biomass, stoichiometry and nutrient pools of moss Rhytidium rugosum in a boreal forest in Northeast China. Environ. Pollut. 2014, 188, 166–171. [Google Scholar] [CrossRef]
- Li, W.; Jin, C.; Guan, D.; Wang, Q.; Wang, A.; Yuan, F.; Wu, J. The effects of simulated nitrogen deposition on plant root traits: A meta-analysis. Soil Biol. Biochem. 2015, 82, 112–118. [Google Scholar] [CrossRef]
- Bai, Y.; Wu, J.; Clark, C.M.; Naeem, S.; Pan, Q.; Huang, J.; Zhang, L.; Han, X. Tradeoffs and thresholds in the effects of nitrogen addition on biodiversity and ecosystem functioning: Evidence from Inner Mongolia Grasslands. Glob. Chang. Biol. 2010, 16, 358–372. [Google Scholar] [CrossRef]
- Fang, Y.T.; Gundersen, P.; Mo, J.M.; Zhu, W.X. Nitrogen leaching in response to increased nitrogen inputs in subtropical monsoon forests in southern China. For. Ecol. Manag. 2009, 257, 332–342. [Google Scholar] [CrossRef]
- Zhang, R.; Zhou, Z.; Luo, W.; Wang, Y.; Feng, Z. Effects of nitrogen deposition on growth and phosphate efficiency of Schima superba of different provenances grown in phosphorus-barren soil. Plant Soil 2013, 370, 435–445. [Google Scholar] [CrossRef]
- Luo, Y.; Guo, W.; Yuan, Y.; Liu, J.; Du, N.; Wang, R. Increased nitrogen deposition alleviated the competitive effects of the introduced invasive plant Robinia pseudoacacia on the native tree Quercus acutissima. Plant Soil 2014, 385, 63–75. [Google Scholar] [CrossRef]
- Reich, P.B.; Cornelissen, H. The world-wide ‘fast-slow’ plant economics spectrum: A traits manifesto. J. Ecol. 2014, 102, 275–301. [Google Scholar] [CrossRef]
- Wang, C.; Xiao, H.; Liu, J.; Zhou, J. Differences in leaf functional traits between red and green leaves of two evergreen shrubs Photinia × fraseri and Osmanthus fragrans. J. For. Res. 2016, 28, 473–479. [Google Scholar] [CrossRef]
- Osnas, J.L.D.; Lichstein, J.W.; Reich, P.B.; Pacala, S.W. Global leaf trait relationships: Mass, area, and the leaf economics spectrum. Science 2013, 340, 741–744. [Google Scholar] [CrossRef]
- Scoffoni, C.; Rawls, M.; McKown, A.; Cochard, H.; Sack, L. Decline of leaf hydraulic conductance with dehydration: Relationship to leaf size and venation architecture. Plant Physiol. 2011, 156, 832–843. [Google Scholar] [CrossRef]
- Guo, J.; Yang, Y.; Wang, G.; Yang, L.; Sun, X. Ecophysiological responses of Abies fabri seedlings to drought stress and nitrogen supply. Physiol. Plant. 2010, 139, 335–347. [Google Scholar] [CrossRef]
- Yang, Y.; Guo, J.; Wang, G.; Yang, L.; Yang, Y. Effects of drought and nitrogen addition on photosynthetic characteristics and resource allocation of Abies fabri seedlings in eastern Tibetan Plateau. New For. 2012, 43, 505–518. [Google Scholar] [CrossRef]
- Palmroth, S.; Bach, L.H.; Nordin, A.; Palmqvist, K. Nitrogen-addition effects on leaf traits and photosynthetic carbon gain of boreal forest understory shrubs. Oecologia 2014, 175, 457–470. [Google Scholar] [CrossRef] [PubMed]
- Roa-Fuentes, L.L.; Templer, P.H.; Campo, J. Effects of precipitation regime and soil nitrogen on leaf traits in seasonally dry tropical forests of the Yucatan Peninsula, Mexico. Oecologia 2015, 179, 585–597. [Google Scholar] [CrossRef] [PubMed]
- Zhang, H.; Li, W.; Adams, H.D.; Wang, A.; Wu, J.; Jin, C.; Guan, D.; Yuan, F. Responses of woody plant functional traits to nitrogen addition: A meta-analysis of leaf economics, gas exchange, and hydraulic traits. Front. Plant Sci. 2018, 9, 683. [Google Scholar] [CrossRef] [PubMed]
- Chaves, M.M.; Maroco, J.P.; Pereira, J.S. Understanding plant responses to drought—From genes to the whole plant. Funct. Plant Biol. 2003, 30, 239–264. [Google Scholar] [CrossRef]
- Wright, I.J.; Reich, P.B.; Cornelissen, J.H.C.; Falster, D.S.; Groom, P.K.; Hikosaka, K.; Lee, W.; Lusk, C.H.; Niinemets, Ü.; Oleksyn, J.; et al. Modulation of leaf economic traits and trait relationships by climate. Glob. Ecol. Biogeogr. 2005, 14, 411–421. [Google Scholar] [CrossRef]
- Ramirez-Valiente, J.A.; Sanchez-Gomez, D.; Aranda, I.; Valladares, F. Phenotypic plasticity and local adaptation in leaf ecophysiological traits of 13 contrasting cork oak populations under different water availabilities. Tree Physiol. 2010, 30, 618–627. [Google Scholar] [CrossRef]
- Zheng, L.L.; Zhao, Q.; Yu, Z.Y.; Zhao, S.Y.; Zeng, D.H. Altered leaf functional traits by nitrogen addition in a nutrient-poor pine plantation: A consequence of decreased phosphorus availability. Sci. Rep. 2017, 7, 7415. [Google Scholar] [CrossRef]
- Je, S.M.; Woo, S.Y.; Lee, S.H.; Kwak, M.J.; Lee, T.Y.; Kim, S.H. Combined effect of elevated CO2 concentration and drought on the photosynthetic apparatus and leaf morphology traits in seedlings of yellow poplar. Ecol. Res. 2017, 33, 403–412. [Google Scholar] [CrossRef]
- Bogale, A.; Tesfaye, K.; Geleto, T. Morphological and physiological attributes associated to drought tolerance of Ethiopian durum wheat genotypes under water deficit. J. Biodivers. Environ. Sci. 2011, 1, 22–36. [Google Scholar]
- Meyer-Grünefeldt, M.; Calvo, L.; Marcos, E.; von Oheimb, G.; Härdtle, W.; Bardgett, R. Impacts of drought and nitrogen addition on Calluna heathlands differ with plant life-history stage. J. Ecol. 2015, 103, 1141–1152. [Google Scholar] [CrossRef]
- Zavaleta, E.S.; Shaw, M.R.; Chiariello, N.R.; Mooney, H.A.; Field, C.B. Additive effects of simulated climate changes, elevated CO2, and nitrogen deposition on grassland diversity. Proc. Natl. Acad. Sci. USA 2003, 100, 7650–7654. [Google Scholar] [CrossRef] [PubMed]
- Friedrich, U.; von Oheimb, G.; Kriebitzsch, W.U.; Schleßelmann, K.; Weber, M.S.; Härdtle, W. Nitrogen deposition increases susceptibility to drought—Experimental evidence with the perennial grass Molinia caerulea (L.) Moench. Plant Soil 2011, 353, 59–71. [Google Scholar] [CrossRef]
- Meyer-Grünefeldt, M.; Friedrich, U.; Klotz, M.; Von Oheimb, G.; Härdtle, W. Nitrogen deposition and drought events have non-additive effects on plant growth—Evidence from greenhouse experiments. Plant Biosyst. 2013, 149, 424–432. [Google Scholar] [CrossRef]
- Dziedek, C.; von Oheimb, G.; Calvo, L.; Fichtner, A.; Kriebitzsch, W.-U.; Marcos, E.; Pitz, W.T.; Härdtle, W. Does excess nitrogen supply increase the drought sensitivity of European beech (Fagus sylvatica L.) seedlings? Plant Ecol. 2016, 217, 393–405. [Google Scholar] [CrossRef]
- Shi, B.; Wang, Y.; Meng, B.; Zhong, S.; Sun, W. Effects of nitrogen addition on the drought susceptibility of the Leymus chinensis meadow ecosystem vary with drought duration. Front. Plant Sci. 2018, 9, 254. [Google Scholar] [CrossRef] [PubMed]
- Xu, Z.; Ren, H.; Cai, J.; Wang, R.; Li, M.H.; Wan, S.; Han, X.; Lewis, B.J.; Jiang, Y. Effects of experimentally-enhanced precipitation and nitrogen on resistance, recovery and resilience of a semi-arid grassland after drought. Oecologia 2014, 176, 1187–1197. [Google Scholar] [CrossRef]
- Song, M.H.; Yu, F.H. Reduced compensatory effects explain the nitrogen-mediated reduction in stability of an alpine meadow on the Tibetan Plateau. New Phytol. 2015, 207, 70–77. [Google Scholar] [CrossRef] [PubMed]
- Xu, N.; Guo, W.; Liu, J.; Du, N.; Wang, R. Increased nitrogen deposition alleviated the adverse effects of drought stress on Quercus variabilis and Quercus mongolica seedlings. Acta Physiol. Plant. 2015, 37. [Google Scholar] [CrossRef]
- Standish, R.J.; Fontaine, J.B.; Harris, R.J.; Stock, W.D.; Hobbs, R.J. Interactive effects of altered rainfall and simulated nitrogen deposition on seedling establishment in a global biodiversity hotspot. Oikos 2012, 121, 2014–2025. [Google Scholar] [CrossRef]
- Muñoz-Rojas, M.; Erickson, T.E.; Martini, D.C.; Dixon, K.W.; Merritt, D.J. Climate and soil factors influencing seedling recruitment of plant species used for dryland restoration. Soil 2016, 2, 287–298. [Google Scholar] [CrossRef]
- Fang, J.Y.; Guo, Z.D.; Hu, H.F.; Kato, T.; Muraoka, H.; Son, Y. Forest biomass carbon sinks in East Asia, with special reference to the relative contributions of forest expansion and forest growth. Glob. Chang. Biol. 2014, 20, 2019–2030. [Google Scholar] [CrossRef] [PubMed]
- Sui, Y.; Huang, W.H.; Yang, X.G.; Li, M.S. Characteristics and adaption of seasonal drought in southern China under the background of global climate change. I. Change characteristics of precipitation resource. Chin. J. Appl. Ecol. 2012, 23, 1875–1882. [Google Scholar] [CrossRef]
- Zhu, Q.; Liao, B.Y.; Li, P.; Li, J.C.; Deng, X.M.; Hu, X.S.; Chen, X.Y. Phylogeographic pattern suggests a general northeastward dispersal in the distribution of Machilus pauhoi in South China. PLoS ONE 2017, 12, e0184456. [Google Scholar] [CrossRef] [PubMed]
- Huang, W.H.; Sui, Y.; Dai, S.W.; Li, M.S. Characteristics and adaptation of seasonal drought in southern China under the background of climate change. III. Spatiotemporal characteristics of seasonal drought in southern China based on the percentage of precipitation anomalies. Chin. J. Appl. Ecol. 2013, 24, 397–406. [Google Scholar]
- Zou, Y.X.; Zhong, Q.L.; You, Y.L.; Yu, H.; Zheng, W.T.; Chen, J.J.; Cheng, D.L. Short-term effects of nitrogen and water treatments on fine root order morphology of Machilus pauhoi seedlings. Chin. J. Appl. Ecol. 2018, 29, 2323–2329. [Google Scholar] [CrossRef]
- Zhou, S.; Yu, B.; Schwalm, C.R.; Ciais, P.; Zhang, Y.; Fisher, J.B.; Michalak, A.M.; Wang, W.; Poulter, B.; Huntzinger, D.N.; et al. Response of water use efficiency to global environmental change based on output from terrestrial biosphere models. Glob. Biogeochem. Cycles 2017, 31, 1639–1655. [Google Scholar] [CrossRef]
- Pérez-Harguindeguy, N.; Díaz, S.; Garnier, E.; Lavorel, S.; Poorter, H.; Jaureguiberry, P.; Bret-Harte, M.S.; Cornwell, W.K.; Craine, J.M.; Gurvich, D.E.; et al. New handbook for standardised measurement of plant functional traits worldwide. Aust. J. Bot. 2013, 61. [Google Scholar] [CrossRef]
- Saud, S.; Fahad, S.; Yajun, C.; Ihsan, M.Z.; Hammad, H.M.; Nasim, W.; Amanullah, Jr.; Arif, M.; Alharby, H. Effects of nitrogen supply on water stress and recovery mechanisms in Kentucky Bluegrass plants. Front. Plant Sci. 2017, 8, 983. [Google Scholar] [CrossRef]
- Zhang, Q.F.; Xie, J.S.; Lyu, M.; Xiong, D.C.; Wang, J.; Chen, Y.M.; Li, Y.Q.; Wang, M.K.; Yang, Y.S. Short-term effects of soil warming and nitrogen addition on the N:P stoichiometry of Cunninghamia lanceolata in subtropical regions. Plant Soil 2016, 411, 395–407. [Google Scholar] [CrossRef]
- Li, Y.; Tian, D.; Yang, H.; Niu, S.; Luo, Y. Size-dependent nutrient limitation of tree growth from subtropical to cold temperate forests. Funct. Ecol. 2018, 32, 95–105. [Google Scholar] [CrossRef]
- Sweetman, J.N.; Smol, J.P. Patterns in the distribution of cladocerans (Crustacea: Branchiopoda) in lakes across a north–south transect in Alaska, USA. Hydrobiologia 2006, 553, 277–291. [Google Scholar] [CrossRef]
- Kabacoff, R.I. R in Action: Data Analysis and Graphics with R, 2nd ed.; Manning Publications: Westampton, NJ, USA, 2015; pp. 193–194. ISBN 1617291382. [Google Scholar]
- Zhang, B.; Xu, D.; Liu, Y.; Li, F.; Cai, J.; Du, L. Multi-scale evapotranspiration of summer maize and the controlling meteorological factors in North China. Agric. For. Meteorol. 2016, 216, 1–12. [Google Scholar] [CrossRef]
- Qi, J.H.; Zhang, Y.J.; Zhang, Y.P.; Liu, Y.H.; Lu, Z.Y.; Wu, C.S.; Wen, H.D. The impacts of the Southwest China drought on the litterfall and leaf area index of an evergreen broadleaf forest on Ailao Mountain. Acta Ecol. Sin. 2013, 33, 2877–2885. [Google Scholar] [CrossRef]
- Aspelmeier, S.; Leuschner, C. Genotypic variation in drought response of silver birch (Betula pendula Roth): Leaf and root morphology and carbon partitioning. Trees 2005, 20, 42–52. [Google Scholar] [CrossRef]
- Wu, F.; Bao, W.; Li, F.; Wu, N. Effects of drought stress and N supply on the growth, biomass partitioning and water-use efficiency of Sophora davidii seedlings. Environ. Exp. Bot. 2008, 63, 248–255. [Google Scholar] [CrossRef]
- Elser, J.J.; Fagan, W.F.; Denno, R.F.; Dobberfuhl, D.R.; Folarin, A.; Huberty, A.; Interlandi, S.; Kilham, S.S.; Mccauley, E.; Schulz, K.L. Nutritional constraints in terrestrial and freshwater food webs. Nature 2000, 408, 578–580. [Google Scholar] [CrossRef]
- Vitousek, P.M.; Porder, S.; Houlton, B.Z.; Chadwick, O.A. Terrestrial phosphorus limitation: Mechanisms, implications, and nitrogen–phosphorus interactions. Ecol. Appl. 2010, 20, 5–15. [Google Scholar] [CrossRef] [PubMed]
- Koller, E.K.; Press, M.C.; Callaghan, T.V.; Phoenix, G.K. Tight coupling between shoot level foliar N and P, leaf area, and shoot growth in Arctic dwarf shrubs under simulated climate change. Ecosystems 2015, 19, 326–338. [Google Scholar] [CrossRef]
- Flexas, J.; Ribas-Carbó, M.; Diaz-Espejo, A.; Galmés, J.; Medrano, H. Mesophyll conductance to CO2: Current knowledge and future prospects. Plant Cell Environ. 2008, 31, 602–621. [Google Scholar] [CrossRef] [PubMed]
- Xu, Z.Z.; Zhou, G.S. Nitrogen metabolism and photosynthesis in Leymus chinensis in response to long-term soil drought. J. Plant Growth Regul. 2006, 25, 252–266. [Google Scholar] [CrossRef]
- Guo, X.; Wang, R.; Chang, R.; Liang, X.; Wang, C.; Luo, Y.; Yuan, Y.; Guo, W. Effects of nitrogen addition on growth and photosynthetic characteristics of Acer truncatum seedlings. Dendrobiology 2014, 72, 151–161. [Google Scholar] [CrossRef]
- Wang, M.; Zhang, W.W.; Li, N.; Liu, Y.Y.; Zheng, X.B.; Hao, G.Y. Photosynthesis and growth responses of Fraxinus mandshurica Rupr. seedlings to a gradient of simulated nitrogen deposition. Ann. For. Sci. 2017, 75. [Google Scholar] [CrossRef]
- Nordin, A.; Strengbom, J.; Witzell, J.; Näsholm, T.; Ericson, L. Nitrogen deposition and the biodiversity of boreal forests: Implications for the nitrogen critical load. AMBIO 2005, 34. [Google Scholar] [CrossRef]
- Wang, C.; Xiao, H.; Liu, J.; Zhou, J.; Du, D. Insights into the effects of simulated nitrogen deposition on leaf functional traits of Rhus typhina. Pol. J. Environ. Stud. 2016, 25, 1279–1284. [Google Scholar] [CrossRef]
- Valliere, J.M.; Irvine, I.C.; Santiago, L.; Allen, E.B. High N, dry: Experimental nitrogen deposition exacerbates native shrub loss and nonnative plant invasion during extreme drought. Glob. Chang. Biol. 2017, 23, 4333–4345. [Google Scholar] [CrossRef]
- He, J.S.; Wang, X.; Schmid, B.; Flynn, D.F.; Li, X.; Reich, P.B.; Fang, J. Taxonomic identity, phylogeny, climate and soil fertility as drivers of leaf traits across Chinese grassland biomes. J. Plant Res. 2010, 123, 551–561. [Google Scholar] [CrossRef]
- Zeng, D.H.; Hu, Y.L.; Chang, S.X.; Fan, Z.P. Land cover change effects on soil chemical and biological properties after planting Mongolian pine (Pinus sylvestris var. mongolica) in sandy lands in Keerqin, northeastern China. Plant Soil 2008, 317, 121–133. [Google Scholar] [CrossRef]
- Ordoñez, J.C.; van Bodegom, P.M.; Witte, J.P.M.; Wright, I.J.; Reich, P.B.; Aerts, R.; Sykes, M. A global study of relationships between leaf traits, climate and soil measures of nutrient fertility. Glob. Ecol. Biogeogr. 2009, 18, 137–149. [Google Scholar] [CrossRef]
- Lü, X.T.; Reed, S.C.; Yu, Q.; Han, X.G. Nutrient resorption helps drive intra-specific coupling of foliar nitrogen and phosphorus under nutrient-enriched conditions. Plant Soil 2015, 398, 111–120. [Google Scholar] [CrossRef]
- Lü, X.T.; Reed, S.C.; Hou, S.L.; Hu, Y.Y.; Wei, H.W.; Lü, F.M.; Cui, Q.; Han, X.G. Temporal variability of foliar nutrients: Responses to nitrogen deposition and prescribed fire in a temperate steppe. Biogeochemistry 2017, 133, 295–305. [Google Scholar] [CrossRef]
- Huang, W.; Zhou, G.; Liu, J.; Zhang, D.; Xu, Z.; Liu, S. Effects of elevated carbon dioxide and nitrogen addition on foliar stoichiometry of nitrogen and phosphorus of five tree species in subtropical model forest ecosystems. Environ. Pollut. 2012, 168, 113–120. [Google Scholar] [CrossRef] [PubMed]
- Deng, Q.; Hui, D.; Dennis, S.; Reddy, K.C. Responses of terrestrial ecosystem phosphorus cycling to nitrogen addition: A meta-analysis. Glob. Ecol. Biogeogr. 2017, 26, 713–728. [Google Scholar] [CrossRef]
- Agren, G.I.; Wetterstedt, J.A.; Billberger, M.F. Nutrient limitation on terrestrial plant growth–modeling the interaction between nitrogen and phosphorus. New Phytol. 2012, 194, 953–960. [Google Scholar] [CrossRef] [PubMed]
- Fujita, Y.; Robroek, B.J.M.; De Ruiter, P.C.; Heil, G.W.; Wassen, M.J. Increased N affects P uptake of eight grassland species: The role of root surface phosphatase activity. Oikos 2010, 119, 1665–1673. [Google Scholar] [CrossRef]
- Treseder, K.K.; Vitousek, P.M. Effects of soil nutrient availability on investment in acquisition of N and P in Hawaiian rain forests. Ecology 2001, 82, 946–954. [Google Scholar] [CrossRef]
- Marklein, A.R.; Houlton, B.Z. Nitrogen inputs accelerate phosphorus cycling rates across a wide variety of terrestrial ecosystems. New Phytol. 2012, 193, 696–704. [Google Scholar] [CrossRef] [PubMed]
- Li, J.Y.; Guo, Q.X.; Zhang, J.X.; Korpelainen, H.; Li, C.Y. Effects of nitrogen and phosphorus supply on growth and physiological traits of two Larix species. Environ. Exp. Bot. 2016, 130, 206–215. [Google Scholar] [CrossRef]
- Hidaka, A.; Kitayama, K. Divergent patterns of photosynthetic phosphorus-use efficiency versus nitrogen-use efficiency of tree leaves along nutrient-availability gradients. J. Ecol. 2009, 97, 984–991. [Google Scholar] [CrossRef]
- Mao, Q.G.; Lu, X.K.; Mo, H.; Gundersen, P.; Mo, J.M. Effects of simulated N deposition on foliar nutrient status, N metabolism and photosynthetic capacity of three dominant understory plant species in a mature tropical forest. Sci. Total. Environ. 2018, 610–611, 555–562. [Google Scholar] [CrossRef]
- Valliere, J.M.; Allen, E.B. Interactive effects of nitrogen deposition and drought-stress on plant-soil feedbacks of Artemisia californica seedlings. Plant Soil 2016, 403, 277–290. [Google Scholar] [CrossRef]
- Ochoa-Hueso, R.; Manrique, E. Impacts of altered precipitation, nitrogen deposition and plant competition on a Mediterranean seed bank. J. Veg. Sci. 2014, 25, 1289–1298. [Google Scholar] [CrossRef]
- Kaye, J.; Barrett, J.; Burke, I. Stable nitrogen and carbon pools in grassland soils of variable texture and carbon content. Ecosystems 2002, 5, 461–471. [Google Scholar] [CrossRef]





| Leaf Traits | Variables | Correlation Coefficients | Direct Effect | Indirect Effect | ||||||
|---|---|---|---|---|---|---|---|---|---|---|
| Total Indirect Effect | pH | STN | STC | NO3−-N | NH4+-N | |||||
| Nutrient | LPC | STC | 0.085 | 0.505 | −0.420 | — | — | — | −0.420 | — |
| NO3−-N | −0.571 | −0.827 | 0.257 | — | — | 0.257 | — | — | ||
| Morphology | LT | STC | 0.527 | 0.896 | −0.368 | — | — | — | −0.368 | — |
| NO3−-N | −0.270 | −0.725 | 0.455 | — | — | 0.455 | — | — | ||
| SLA | STN | 0.569 | 0.498 | 0.071 | — | — | — | 0.071 | — | |
| NO3−-N | 0.543 | 0.466 | 0.076 | — | 0.076 | — | — | — | ||
| Photosynthetic physiology | A | STN | −0.524 | −0.524 | — | — | — | — | — | — |
| E | pH | −0.111 | −0.546 | 0.436 | — | −0.058 | 0.651 | −0.158 | — | |
| STN | −0.583 | −0.280 | −0.302 | −0.113 | — | −0.053 | −0.136 | — | ||
| STC | 0.185 | 0.984 | −0.798 | −0.361 | 0.015 | — | −0.452 | — | ||
| NO3−-N | −0.530 | −0.890 | 0.360 | −0.097 | −0.043 | 0.500 | — | — | ||
| Gs | pH | −0.221 | −0.662 | 0.442 | — | −0.051 | 0.661 | −0.168 | — | |
| STN | −0.581 | −0.244 | −0.336 | −0.137 | — | −0.054 | −0.146 | — | ||
| STC | 0.090 | 0.998 | −0.908 | −0.438 | 0.013 | — | −0.483 | — | ||
| NO3−-N | −0.599 | −0.951 | 0.352 | −0.117 | −0.037 | 0.507 | — | — | ||
| ψPD | pH | −0.226 | −0.491 | 0.265 | — | −0.082 | 0.497 | −0.150 | — | |
| STN | −0.666 | −0.395 | −0.271 | −0.102 | — | −0.041 | −0.129 | — | ||
| STC | 0.017 | 0.750 | −0.733 | −0.325 | 0.021 | — | −0.429 | — | ||
| NO3−-N | −0.621 | −0.845 | 0.234 | −0.087 | −0.060 | 0.381 | — | — | ||
| Leaf Traits | Variables | Determination Coefficient (R2) | Contribution to R2 | ||||
|---|---|---|---|---|---|---|---|
| pH | STN | STC | NO3−-N | ||||
| Nutrient | LPC | STC | 0.255 | −0.424 | 0.043 | ||
| NO3−-N | 0.684 | 0.472 | |||||
| Error term e | 0.485 | ||||||
| Morphology | LT | STC | 0.803 | −0.660 | 0.472 | ||
| NO3−-N | 0.526 | 0.196 | |||||
| Error term e | 0.332 | ||||||
| SLA | STN | 0.248 | 0.071 | 0.283 | |||
| NO3−-N | 0.217 | 0.253 | |||||
| Error term e | 0.464 | ||||||
| Photosynthetic physiology | A | STN | 0.275 | 0.275 | |||
| Error term e | 0.725 | ||||||
| E | pH | 0.298 | 0.063 | −0.711 | 0.172 | 0.061 | |
| STN | 0.078 | 0.030 | 0.076 | 0.163 | |||
| STC | 0.968 | −0.890 | 0.182 | ||||
| NO3−-N | 0.792 | 0.472 | |||||
| Error term e | 0.122 | ||||||
| Gs | pH | 0.438 | 0.067 | −0.875 | 0.223 | 0.146 | |
| STN | 0.060 | 0.026 | 0.071 | 0.142 | |||
| STC | 0.996 | −0.964 | 0.090 | ||||
| NO3−-N | 0.904 | 0.570 | |||||
| Error term e | 0.052 | ||||||
| ψPD | pH | 0.241 | 0.080 | −0.488 | 0.147 | 0.111 | |
| STN | 0.156 | 0.032 | 0.102 | 0.263 | |||
| STC | 0.563 | −0.644 | 0.013 | ||||
| NO3−-N | 0.714 | 0.525 | |||||
| Error term e | 0.088 | ||||||
© 2019 by the authors. Licensee MDPI, Basel, Switzerland. This article is an open access article distributed under the terms and conditions of the Creative Commons Attribution (CC BY) license (http://creativecommons.org/licenses/by/4.0/).
Share and Cite
Yu, H.; Cheng, D.; Li, B.; Xu, C.; Zhang, Z.; Zhong, Y.; Zhong, Q. Short-Term Nitrogen Addition Does Not Significantly Alter the Effects of Seasonal Drought on Leaf Functional Traits in Machilus pauhoi Kanehira Seedlings. Forests 2019, 10, 78. https://doi.org/10.3390/f10020078
Yu H, Cheng D, Li B, Xu C, Zhang Z, Zhong Y, Zhong Q. Short-Term Nitrogen Addition Does Not Significantly Alter the Effects of Seasonal Drought on Leaf Functional Traits in Machilus pauhoi Kanehira Seedlings. Forests. 2019; 10(2):78. https://doi.org/10.3390/f10020078
Chicago/Turabian StyleYu, Hua, Dongliang Cheng, Baoyin Li, Chaobin Xu, Zhongrui Zhang, Yaqi Zhong, and Quanlin Zhong. 2019. "Short-Term Nitrogen Addition Does Not Significantly Alter the Effects of Seasonal Drought on Leaf Functional Traits in Machilus pauhoi Kanehira Seedlings" Forests 10, no. 2: 78. https://doi.org/10.3390/f10020078
APA StyleYu, H., Cheng, D., Li, B., Xu, C., Zhang, Z., Zhong, Y., & Zhong, Q. (2019). Short-Term Nitrogen Addition Does Not Significantly Alter the Effects of Seasonal Drought on Leaf Functional Traits in Machilus pauhoi Kanehira Seedlings. Forests, 10(2), 78. https://doi.org/10.3390/f10020078

