Flight Schedule Problem Optimization Based on Discrete Memory-Enhanced Restructured Particle Swarm Optimization Algorithm
Abstract
1. Introduction
- (1)
- The deep analysis of the model of Flight Schedule Problem optimization is conducted so that a complete flight route can be mathematically described. For the Flight Schedule Problem optimization model to be solved by the RPSO algorithm, the decision variables affecting flights are obtained and the equation of particle expression is designed. A hybrid particle encoding scheme capable of simultaneously handling integer-type (adjustment time) and categorical-type (route selection) decision variables is designed.
- (2)
- A probability-based discrete position update formula is developed, enabling particles to probabilistically select between “exploitation” samples (sg), “exploration” samples (mp), and random perturbation terms (dt) to achieve balanced trade-offs between exploitation and exploration in discrete solution spaces.
- (3)
- The core learning strategies are restructured through discretization: the “mean” operation in continuous EDS was transformed into a “voting/majority rule” mechanism for discrete EDS; the “hyper-rectangular block” structure in continuous BSS was reformulated into adaptive “integer interval blocks” and “discrete set blocks” suitable for different variable types, while preserving its core concept of dynamic splitting and merging.
2. Memory-Enhanced Restructured Particle Swarm Optimization Algorithm
2.1. Restructured Particle Swarm Optimization (RPSO)
2.2. Memory-Enhanced Restructured Particle Swarm Optimization (MERPSO)
2.2.1. Core Idea and Update Mechanism
2.2.2. Core Learning Strategies
- (1)
- Experience Selection Strategy (EDS)
- (2)
- Block Search Strategy (BSS)
- (3)
- The random perturbation term (DT)
3. Discrete MERPSO Algorithm for Solving Single-Objective Flight Schedule Problem Optimization
3.1. The Representation of Flight Schedule Problem Optimization for RPSO Algorithm
3.1.1. A 4D Trajectory Model for the Flight Schedule Problem Optimization
3.1.2. Particle Representation and Flight Position Calculation in the RPSO Algorithm
3.1.3. The Objective and Constraint Conditions of Flight Schedule Problem Optimization
3.2. Discrete MERPSO Algorithm
3.2.1. Position Update Formula of DMERPSO
3.2.2. Calculation of Selection Probability
3.2.3. Improvement of Strategies and Perturbation Terms
- (1)
- Experience Selection Strategy
- (2)
- Block Search Strategy
- (3)
- Perturbation Term
3.2.4. The Methods for Initializing Particles and Satisfying Constraints
4. Simulation Experiment and Verification
4.1. Flight Data Collection and Processing
4.2. Experimental Performance
4.3. Effectiveness Analysis of the Initialization Method
5. Conclusions
Author Contributions
Funding
Data Availability Statement
Conflicts of Interest
References
- Bertsimas, D.; Patterson, S.S. The Air Traffic Flow Management Problem with Enroute Capacities. Oper. Res. 1998, 46, 406–422. [Google Scholar] [CrossRef]
- Hu, H.; Sun, J.; Du, B. Air Traffic Management in Dense Airspace via Network Flow Optimization. J. Aerosp. Inf. Syst. 2025, 22, 433–446. [Google Scholar] [CrossRef]
- Eltoukhy, A.E.E.; Chan, F.T.S.; Chung, S.H. Airline schedule planning: A review and future directions. Ind. Manag. Data Syst. 2017, 117, 1201–1243. [Google Scholar] [CrossRef]
- Wang, D.; Wu, Y.; Hu, J.Q.; Liu, M.; Yu, P.; Zhang, C.; Wu, Y. Flight schedule recovery: A simulation-based approach. Asia-Pac. J. Oper. Res. 2019, 36, 1940010. [Google Scholar] [CrossRef]
- Yan, S.; Tu, Y.P. Multifleet routing and multistop flight scheduling for schedule perturbation. Eur. J. Oper. Res. 1997, 103, 155–169. [Google Scholar] [CrossRef]
- Soykan, B.; Erol, S. A branch-and-price algorithm for the robust airline crew pairing problem. Savun. Bilim. Derg. 2014, 13, 37–74. [Google Scholar]
- Barnhart, C.; Belobaba, P.; Odoni, A.R. Applications of operations research in the air transport industry. Transp. Sci. 2003, 37, 368–391. [Google Scholar] [CrossRef]
- Mercier, A.; Cordeau, J.F.; Soumis, F. A computational study of Benders decomposition for the integrated aircraft routing and crew scheduling problem. Comput. Oper. Res. 2005, 32, 1451–1476. [Google Scholar] [CrossRef]
- Reiners, T.; Pahl, J.; Maroszek, M.; Rettig, C. Integrated aircraft scheduling problem: An auto-adapting algorithm to find robust aircraft assignments for large flight plans. In Proceedings of the 2012 45th Hawaii International Conference on System Sciences, Maui, HI, USA, 4–7 January 2012; IEEE: Piscataway, NJ, USA, 2012; pp. 1267–1276. [Google Scholar]
- Cadarso, L.; Vaze, V. Passenger-centric integrated airline schedule and aircraft recovery. Transp. Sci. 2023, 57, 813–837. [Google Scholar] [CrossRef]
- Delahaye, D.; Odoni, A.R. Airspace Congestion Smoothing by Stochastic Optimization. In Evolutionary Programming VI, Proceedings of the 6th International Conference; Springer: Berlin/Heidelberg, Germany, 1997; pp. 163–176. [Google Scholar]
- Xiao, M.; Hong, C.; Cai, K. Optimizing the safety-efficiency trade-off on nationwide air traffic network flow using cooperative co-evolutionary paradigm. Sci. Rep. 2025, 15, 20377. [Google Scholar] [CrossRef] [PubMed]
- Cecen, R.K.; Durmazkeser, Y. Meta-Heuristic Algorithms for Aircraft Sequencing and Scheduling Problem. In Progress in Sustainable Aviation; Springer International Publishing: Cham, Switzerland, 2022; pp. 107–118. [Google Scholar]
- Kablan, A.A.; Elberkawi, H.R.K.; Eldharif, E.A. Airline scheduling model using genetic algorithm. In Proceedings of the 2024 IEEE 4th International Maghreb Meeting of the Conference on Sciences and Techniques of Automatic Control and Computer Engineering (MI-STA), Tripoli, Libya, 6–8 May 2024; IEEE: Piscataway, NJ, USA, 2024; pp. 718–722. [Google Scholar]
- Deng, G.F.; Lin, W.T. Ant colony optimization-based algorithm for airline crew scheduling problem. Expert Syst. Appl. 2011, 38, 5787–5793. [Google Scholar] [CrossRef]
- Li, M.; Hao, J.K.; Wu, Q. Learning-driven feasible and infeasible tabu search for airport gate assignment. Eur. J. Oper. Res. 2022, 302, 172–186. [Google Scholar] [CrossRef]
- Abualigah, L.; Sheikhan, A.; Ikotun, A.M.; Zitar, R.A.; Alsoud, A.R.; Alshourbaji, I.; Hussien, G.; Jia, H. Particle Swarm Optimization Algorithm: Review and Applications. Metaheuristic Optim. Algorithms 2024, 1–14. [Google Scholar]
- Ma, J.; Zhang, X.; Wang, C. Dynamic Optimization of Flight Schedules Based on Deep Reinforcement Learning. Comput. Integr. Manuf. Syst. 2021, 27, 2697–2708. [Google Scholar]
- Zhu, J.; Liu, J.; Wang, Z.; Chen, Y. Restructuring Particle Swarm Optimization Algorithm Based on Linear System Theory. In Proceedings of the 2022 IEEE Congress on Evolutionary Computation (CEC), Padua, Italy, 18–23 July 2022; IEEE: Piscataway, NJ, USA, 2022; pp. 1–7. [Google Scholar]
- Zhu, J.; Liu, J.; Chen, Y.; Xue, X.; Sun, S. Binary Restructuring Particle Swarm Optimization and Its Application. Biomimetics 2023, 8, 266. [Google Scholar] [CrossRef] [PubMed]
- Wu, B.; Liu, J.; Li, S.; Li, M. Memory-Enhanced Reconstructive Particle Swarm Optimization Algorithm. Comput. Eng. Appl. 2025, 61, 116–127. [Google Scholar]
- Kennedy, J.; Eberhart, R. Particle Swarm Optimization. In Proceedings of the ICNN’95-International Conference on Neural Networks, Perth, Australia, 27 November–1 December 1995; IEEE: Piscataway, NJ, USA, 1995; Volume 4, pp. 1942–1948. [Google Scholar]
- Van den Bergh, F.; Engelbrecht, A.B. A Study of Particle Swarm Optimization Particle Trajectories. Inf. Sci. 2006, 176, 937–971. [Google Scholar] [CrossRef]
- Guo, T.; Mei, Y.; Tang, K.; Du, W. A Knee-guided Evolutionary Algorithm for Multi-objective Air Traffic Flow Management. IEEE Trans. Evol. Comput. 2023, 28, 994–1008. [Google Scholar] [CrossRef]
- Yu, F.; Tong, L.; Xia, X. Adjustable Driving Force Based Particle Swarm Optimization Algorithm. Inf. Sci. 2022, 609, 60–78. [Google Scholar] [CrossRef]
- Wu, X.; Han, J.; Wang, D.; Gao, P.; Cui, Q.; Chen, L.; Liang, Y.; Huang, H.; Lee, H.P.; Miao, C.; et al. Incorporating Surprisingly Popular Slgorithm and Euclidean Distance-based Adaptive Topology into PSO. Swarm Evol. Comput. 2023, 76, 101222. [Google Scholar] [CrossRef]
- Tanabe, R.; Fukunaga, A. Improving the search performance of SHADE using linear population size reduction. In Proceedings of the 2014 IEEE Congress on Evolutionary Computation (CEC), Beijing, China, 6–11 July 2014; IEEE: Piscataway, NJ, USA, 2014; pp. 1658–1665. [Google Scholar]
- Brest, J.; Maučec, M.S.; Bošković, B. Single objective real-parameter optimization: Algorithm jSO. In Proceedings of the 2017 IEEE Congress on Evolutionary Computation (CEC), Donostia, Spain, 5–8 June 2017; IEEE: Piscataway, NJ, USA, 2017; pp. 1311–1318. [Google Scholar]







| Flight Number | Departure Airport | Landing at the Airport | Estimated Time of Departure | Estimated Time of Landing | Flight Routes |
|---|---|---|---|---|---|
| F1 | Xi’an | Beijing | 9:00 | 11:20 | r(1,1), r(1,2), r(1,3) |
| F2 | Shanghai | Shenzhen | 10:15 | 12:30 | r(2,1), r(2,2) |
| F3 | Xi’an | Shanghai | 18:20 | 21:15 | r(3,1), r(3,2), r(3,3), r(3,4) |
| F4 | Beijing | Shenzhen | 7:45 | 9:10 | r(4,1) |
| F5 | Shenzhen | Xi’an | 11:35 | 15:00 | r(5,1), r(5,2), r(5,3) |
| Parameter | Size or Range |
|---|---|
| w1 | [0.5, 2] |
| w2 | 0 or 1 |
| B1 | 20 |
| B2 | 100 |
| B3 | 20 |
| Dataset | Number of Flights | Number of Airports | Number of Waypoints | Number of Routes | Initial Delay (min) | Adjusted Initial Delay (min) |
|---|---|---|---|---|---|---|
| M1 | 937 | 181 | 826 | 2053 | 10,812 | - |
| M2 | 925 | 171 | 794 | 2113 | 10,752 | - |
| M3 | 952 | 181 | 845 | 2331 | 13,734 | 15,297 |
| M4 | 932 | 164 | 790 | 2374 | 18,392 | 20,752 |
| M5 | 953 | 182 | 817 | 2076 | 26,596 | 28,361 |
| M6 | 920 | 171 | 792 | 2036 | 48,905 | 51,802 |
| M7 | 810 | 172 | 863 | 1983 | 20,744 | 23,850 |
| M8 | 809 | 164 | 854 | 2130 | 26,744 | 29,501 |
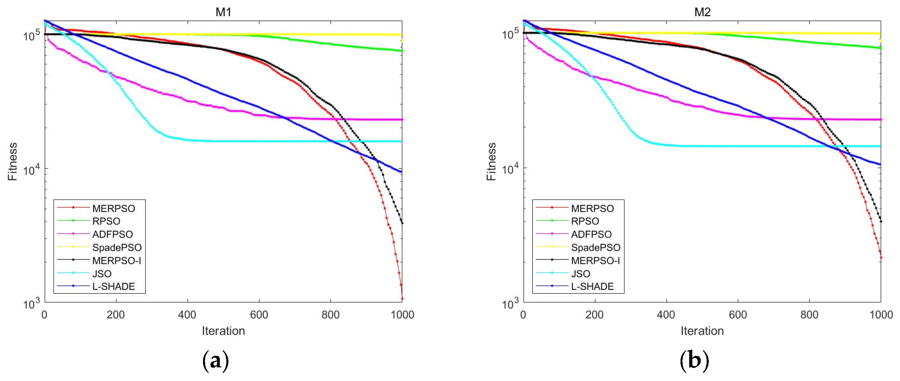
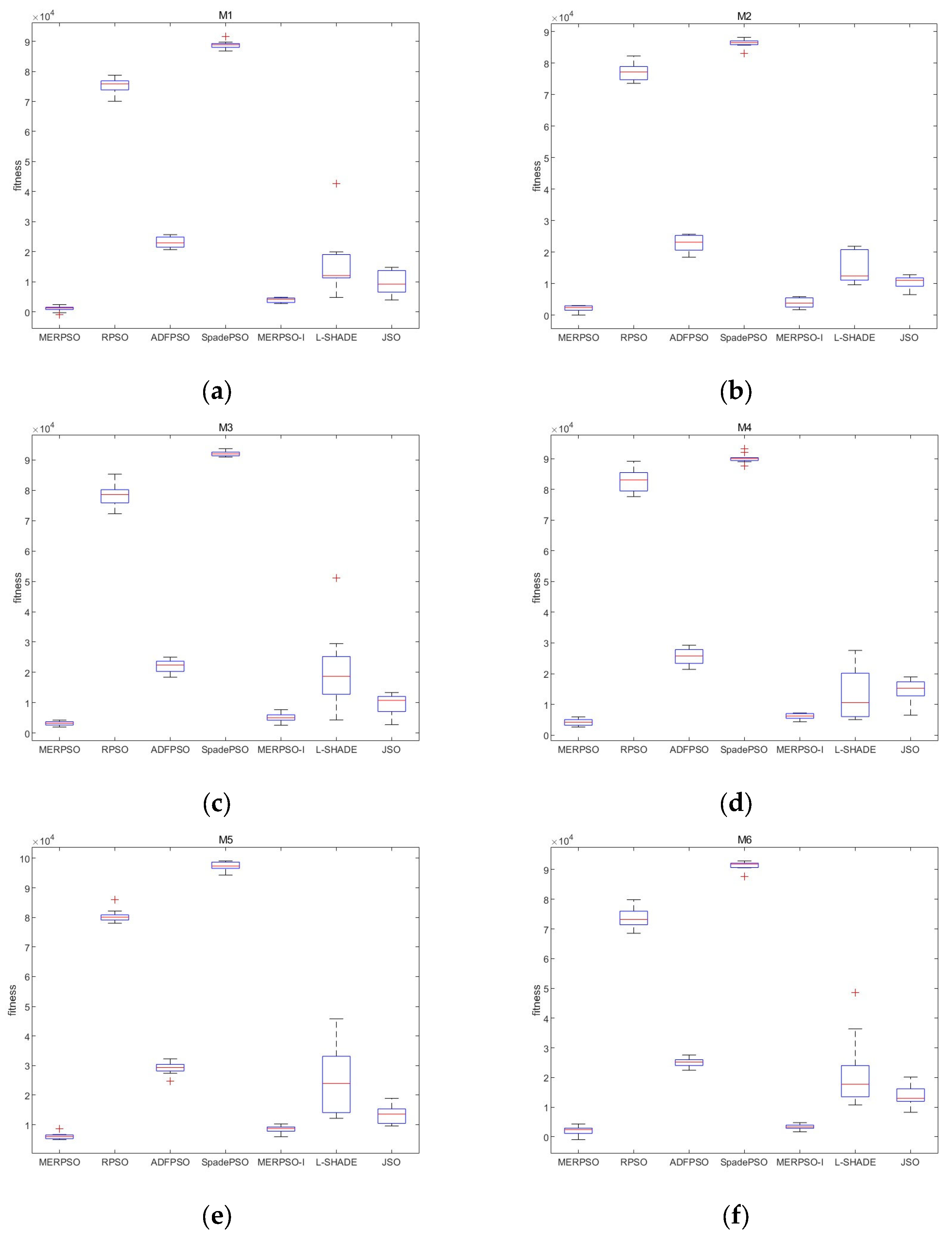
| Dataset | Total Delay | DMERPSO | RPSO | ADFPSO | SpadePSO | L-SHADE | JSO |
|---|---|---|---|---|---|---|---|
| M1 | mean | 1.07 × 103 | 7.52 × 104 (+) | 2.31 × 104 (+) | 8.88 × 104 (+) | 1.59 × 104 (+) | 9.43 × 103 (+) |
| std. | 1029.6 | 2761 | 1847.3 | 1331.8 | 10360.0 | 3859.4 | |
| M2 | mean | 2.15 × 103 | 7.71 × 104 (+) | 2.27 × 104 (+) | 8.63 × 104 (+) | 1.44 × 104 (+) | 1.05 × 104 (+) |
| std. | 1104.8 | 2721.2 | 2586 | 1387.1 | 4938.7 | 1977.0 | |
| M3 | mean | 3.16 × 103 | 7.83 × 104 (+) | 2.20 × 104 (+) | 9.22 × 104 (+) | 2.03 × 104 (+) | 9.80 × 103 (+) |
| std. | 745.27 | 3820.6 | 2271.8 | 888.88 | 13375.1 | 3325.8 | |
| M4 | mean | 4.23 × 103 | 8.29 × 104 (+) | 2.56 × 104 (+) | 9.02 × 104 (+) | 1.36 × 104 (+) | 1.45 × 104 (+) |
| std. | 1097.3 | 3818.9 | 2632.3 | 1560.7 | 8303.3 | 3917.3 | |
| M5 | mean | 6.13 × 103 | 8.05 × 104 (+) | 2.91 × 104 (+) | 9.73 × 104 (+) | 2.53 × 104 (+) | 1.34 × 104 (+) |
| std. | 1061.1 | 2250.6 | 2107.7 | 1611.6 | 12115.3 | 3013.3 | |
| M6 | mean | 2.16 × 103 | 7.36 × 104 (+) | 2.50 × 104 (+) | 9.14 × 104 (+) | 1.88 × 104 (+) | 1.10 × 104 (+) |
| std. | 1499 | 3405.5 | 1627 | 1522.4 | 12011.1 | 3525.0 | |
| M7 | mean | 3.27 × 103 | 5.64 × 104 (+) | 2.29 × 104 (+) | 7.83 × 104 (+) | 1.85 × 104 (+) | 1.31 × 104 (+) |
| std. | 1119.5 | 2496.8 | 2788.4 | 1562.5 | 9224.8 | 3852.6 | |
| M8 | mean | 1.89 × 103 | 6.02 × 104 (+) | 1.65 × 104 (+) | 7.83 × 104 (+) | 8.21 × 103 (+) | 8.25 × 103 (+) |
| std. | 667.87 | 3513 | 2584.3 | 1257.8 | 4020.4 | 2882.0 |
| Dataset | DMERPSO | RPSO | ADFPSO | SpadePSO | L-SHADE | JSO |
|---|---|---|---|---|---|---|
| M1 | 1 | 6 | 5 | 7 | 4 | 3 |
| M2 | 1 | 6 | 5 | 7 | 4 | 3 |
| M3 | 1 | 6 | 5 | 7 | 4 | 3 |
| M4 | 1 | 6 | 5 | 7 | 3 | 4 |
| M5 | 1 | 6 | 5 | 7 | 4 | 3 |
| M6 | 1 | 6 | 5 | 7 | 4 | 3 |
| M7 | 1 | 6 | 5 | 7 | 4 | 3 |
| M8 | 1 | 6 | 5 | 7 | 3 | 4 |
| Mean rank | 1 | 6 | 5 | 7 | 3.75 | 3.25 |
| Friedman Test | χ2 = 24, p = 1.5880 × 10−8 | |||||
| Algorithm | +/≈/− |
|---|---|
| RPSO | 8/0/0 |
| ADFPSO | 8/0/0 |
| SpadePSO | 8/0/0 |
| L-SHADE | 8/0/0 |
| JSO | 8/0/0 |
Disclaimer/Publisher’s Note: The statements, opinions and data contained in all publications are solely those of the individual author(s) and contributor(s) and not of MDPI and/or the editor(s). MDPI and/or the editor(s) disclaim responsibility for any injury to people or property resulting from any ideas, methods, instructions or products referred to in the content. |
© 2026 by the authors. Licensee MDPI, Basel, Switzerland. This article is an open access article distributed under the terms and conditions of the Creative Commons Attribution (CC BY) license.
Share and Cite
Gao, W.; Wu, B.; Liu, J.; Tang, D. Flight Schedule Problem Optimization Based on Discrete Memory-Enhanced Restructured Particle Swarm Optimization Algorithm. Algorithms 2026, 19, 233. https://doi.org/10.3390/a19030233
Gao W, Wu B, Liu J, Tang D. Flight Schedule Problem Optimization Based on Discrete Memory-Enhanced Restructured Particle Swarm Optimization Algorithm. Algorithms. 2026; 19(3):233. https://doi.org/10.3390/a19030233
Chicago/Turabian StyleGao, Wei, Bingnan Wu, Jianhua Liu, and Daoming Tang. 2026. "Flight Schedule Problem Optimization Based on Discrete Memory-Enhanced Restructured Particle Swarm Optimization Algorithm" Algorithms 19, no. 3: 233. https://doi.org/10.3390/a19030233
APA StyleGao, W., Wu, B., Liu, J., & Tang, D. (2026). Flight Schedule Problem Optimization Based on Discrete Memory-Enhanced Restructured Particle Swarm Optimization Algorithm. Algorithms, 19(3), 233. https://doi.org/10.3390/a19030233
