An Enhanced Automatic Emergency Braking Control Method Based on Vehicle-to-Vehicle Communication
Abstract
1. Introduction
2. Issues to Be Addressed
3. Enhanced AEB Control Algorithm
3.1. PDF Control Method
3.2. Proposed Enhanced Control Algorithm
4. Simulation and Analysis
4.1. Scenario 1
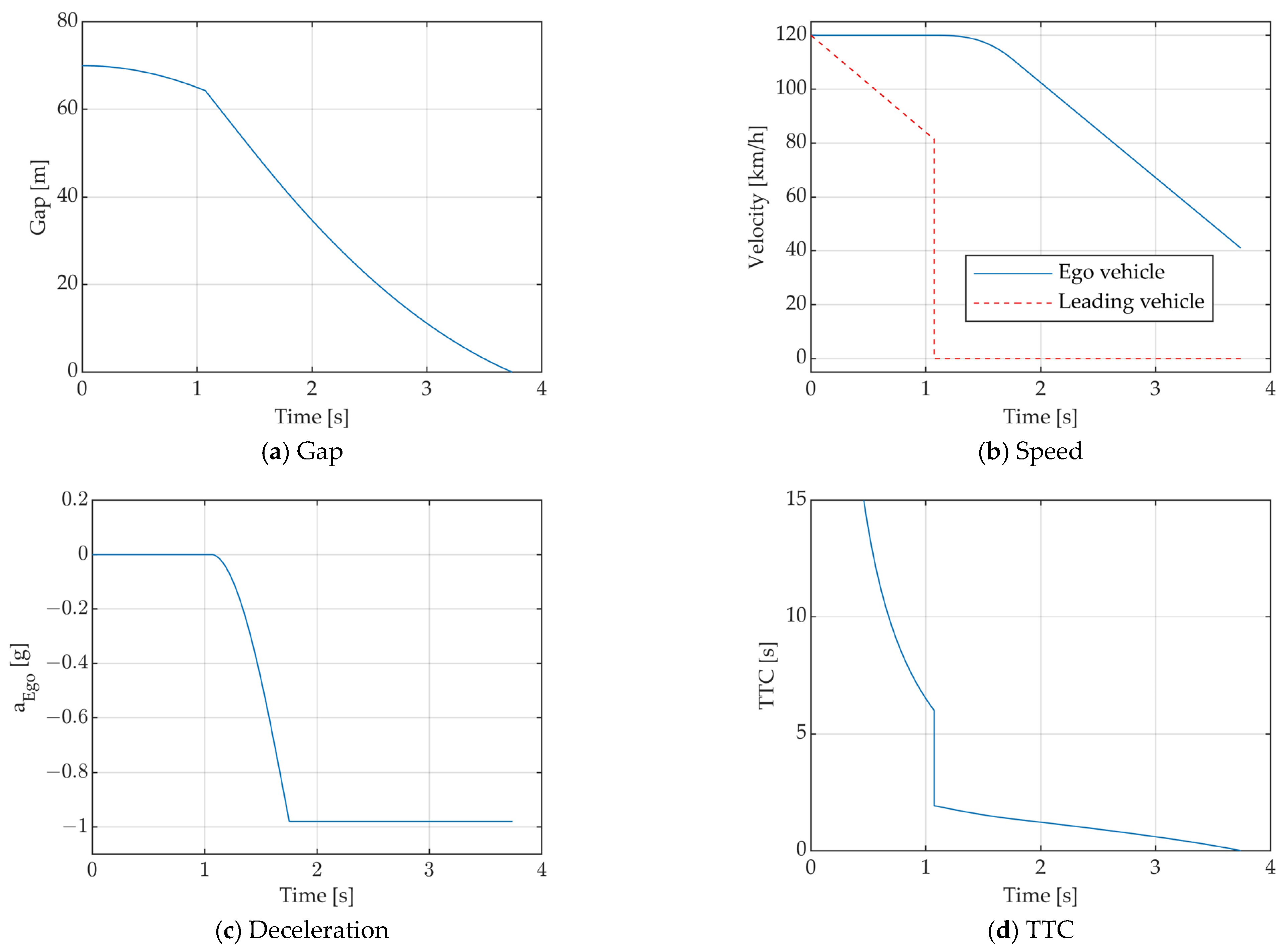
4.1.1. Vehicle-Following Braking (Onboard Sensors)
4.1.2. Vehicle-Following Braking (Onboard Sensors & V2V)
4.2. Scenario 2
4.2.1. Vehicle-Following Braking (Onboard Sensors)
4.2.2. Vehicle-Following Braking (Onboard Sensors & V2V)
4.3. Scenario 3: Vehicle-Following Braking (Onboard Sensors & V2V)
5. Discussion
6. Economic Effect
7. Conclusions
Author Contributions
Funding
Data Availability Statement
Conflicts of Interest
Definitions/Abbreviations
| AEB | Automatic Emergency Braking |
| TTC | Time to Collision |
| V2V | Vehicle to Vehicle |
| Professional Driver Fitting | |
| C-V2X | Cellular Vehicle to Everything |
| CCRs | Car to Car Rear Stationary |
References
- Pina, E.I.; Landau, H.J. Operational Requirements for a Collision Warning System. Oper. Res. 1957, 5, 794–814. [Google Scholar] [CrossRef]
- Lee, D. A Theory of Visual Control of Braking Based on Information about Time-to-Collision. Perception 1976, 5, 437–459. [Google Scholar] [CrossRef] [PubMed]
- Soule, H.; Davis, A.; Krum, A.; Wang, Y.; Ke, R.; Valadez, D.; Sellers, D.; Roberts, S.; Fischer, L.; Lutin, J.M. Risk Mitigation Planning for Revenue Service Testing of Bus Automated Emergency Braking. Transp. Res. Rec. 2021, 2675, 193–200. [Google Scholar] [CrossRef]
- Kidd, D.G. Improving the Safety Relevance of Automatic Emergency Braking Testing Programs: An Examination of Common Characteristics of Police-reported Rear-End Crashes in the United States. Traffic Inj. Prev. 2022, 23, 137–142. [Google Scholar] [CrossRef]
- Lai, F.; Huang, C. A Study on Automatic Emergency Braking Control Algorithm Based on Professional Drivers’ Braking Behavior. SAE Int. J. Connect. Autom. Veh. 2023, 6, 139–154. [Google Scholar] [CrossRef]
- Lai, F.; Huang, C.; Jiang, C. When and How to Apply Automatic Emergency Brakes Based on Risk Perception and Professional Driver Emergency Braking Behavior. SAE Int. J. Veh. Dyn. Stab. NVH 2023, 7, 421–436. [Google Scholar] [CrossRef]
- Kodaka, K.; Otabe, M.; Urai, Y.; Koike, H. Rear-End Collision Velocity Reduction System. In Proceedings of the SAE 2003 World Congress & Exhibition, Detroit, MI, USA, 3–6 March 2003. [Google Scholar] [CrossRef]
- Doi, A.; Butsuen, T.; Niibe, T. Development of a Rear-End Collision Avoidance System with Automatic Brake Control. JSAE Rev. 1994, 15, 335–340. [Google Scholar] [CrossRef]
- Seiler, P.; Song, B.; Hedrick, J. Development of a Collision Avoidance System. In Proceedings of the 1998 SAE International Congress & Exposition, Detroit, MI, USA, 23–26 February 1998. [Google Scholar] [CrossRef]
- Bae, J.; Lee, M.; Kang, N. Partial and Full Braking Algorithm According to Time-to-Collision for Both Safety and Ride Comfort in an Autonomous Vehicle. Int. J. Automot. Technol. 2020, 21, 351–360. [Google Scholar] [CrossRef]
- Fu, X.; Wan, J.; Wu, D.; Jiang, W.; Ma, W.; Yang, T. Research on Vehicle AEB Control Strategy Based on Safety Time-Safety Distance Fusion Algorithm. Mathematics 2024, 12, 1905. [Google Scholar] [CrossRef]
- Kondoh, T.; Yamamura, T.; Kitazaki, S.; Kuge, N.; Boer, E.R. Identification of Visual Cues and Quantification of Drivers’ Perception of Proximity Risk to the Lead Vehicle in Car-Following Situations. J. Mech. Syst. Transp. Logist. 2008, 1, 170–180. [Google Scholar] [CrossRef]
- Khayyat, M.; Arrigoni, S.; Cheli, F. Development and Simulation-based Testing of a 5G-Connected Intersection AEB System. Veh. Syst. Dyn. 2022, 60, 4059–4078. [Google Scholar] [CrossRef]
- Cho, H.; Kim, G.; Kim, B. Usability Analysis of Collision Avoidance System in Vehicle-to-Vehicle Communication Environment. J. Appl. Math. 2014, 2014, 951214. [Google Scholar] [CrossRef]
- Jeon, S.; Lee, J.; Kim, B. A Study on Performance Analysis of V2V Communication Based AEB System Considering Road Friction at Slopes. Int. J. Futur. Gener. Commun. Netw. 2016, 9, 71–80. [Google Scholar] [CrossRef]
- Thunberg, J.; Bischoff, D.; Schiegg, F.A.; Meuser, T.; Vinel, A. Unreliable V2X Communication in Cooperative Driving: Safety Times for Emergency Braking. IEEE Access 2021, 9, 148024–148036. [Google Scholar] [CrossRef]
- Sidorenko, G.; Plöger, D.; Thunberg, J.; Vinel, A. Emergency Braking with ACC: How Much Does V2V Communicaiton Help? IEEE Netw. Lett. 2022, 4, 157–161. [Google Scholar] [CrossRef]
- Prathiba, S.B.; Raja, G.; Kumar, N. Intelligent Cooperative Collision Avoidance at Overtaking and Lane Changing Maneuver in 6G-V2X Communications. IEEE Trans. Veh. Technol. 2022, 71, 112–122. [Google Scholar] [CrossRef]
- Li, J.; Xu, R.; Liu, X.; Ma, J.; Chi, Z.; Ma, J. Learning for Vehicle-to-Vehicle Cooperative Perception under Lossy Communication. IEEE Trans. Intell. Veh. 2023, 8, 2650–2660. [Google Scholar] [CrossRef]
- Zhou, T.; Liu, W.; Zhang, M.; Jia, J. Optimization of AEB Decision System Based on Unsafe Control Behavior Analysis and Improved ABAS Algorithm. IEEE Trans. Intell. Transp. Syst. 2024, 25, 3152–3165. [Google Scholar] [CrossRef]
- Yusuf, S.A.; Khan, A.; Souissi, R. Vehicle-to-Everything (V2X) in the Autonomous Vehicles Domain- A Technical Review of Communication, Sensor, and AI Technologies for Road User Safety. Transp. Res. Interdiscip. Perspect. 2024, 23, 100980. [Google Scholar]
- Mo, Y.; Vijay, R.; Rufus, R.; Boer, N.d.; Kim, J.; Yu, M. Enhanced Perception for Autonomous Vehicles at Obstructed Intersections: An Implementation of Vehicle to Infrastructure (V2I) Collaboration. Sensors 2024, 24, 936. [Google Scholar] [CrossRef]
- Yi, R.; Yao, Y.; Pu, F.; Zhou, Y.; Wang, X. Cooperative CAV Mandatory Lane-Change Control Enabled by V2I. Commun. Transp. Res. 2024, 4, 100126. [Google Scholar] [CrossRef]
- Nyberg, T.; Sánchez, J.M.G.; Narri, V.; Pettersson, H.; Mårtensson, J.; Johansson, K.H.; Törngren, M.; Tumova, J. Share the Unseen: Sequential Reasoning about Occlusions Using Vehicle-to-Everything Technology. IEEE Trans. Control Syst. Technol. 2025, 33, 1418–1431. [Google Scholar] [CrossRef]
- Nour, M.; Nour, M.; Zaki, M.H. Integrating Vehicle-to-Infrastructure Communication for Safer Lane Changes in Smart Work Zones. World Electr. Veh. J. 2025, 16, 215. [Google Scholar] [CrossRef]
- Abdi, B.; Mirzaei, S.; Adl, M.; Hidajat, S.; Emadi, A. Advancing Vulnerable Road Users Safety: Interdisciplinary Review on V2X Communication and Trajectory Prediction. IEEE Trans. Intell. Transp. Syst. 2025, 26, 2921–2943. [Google Scholar] [CrossRef]
- Hong, L.; Chen, Z.; Yang, Z. Multi-objective Optimization of AEB Control Strategy Based on Various Driving Styles. Int. J. Automot. Technol. 2025. [Google Scholar] [CrossRef]
- Wang, Z.; Wang, L.; Ma, L.; Sun, Y.; Li, C.; Yang, X. Research on Automatic Emergency Braking Pedestrian System Considering Road Adhesion Coefficient. SAE Int. J. Veh. Dyn. Stab. NVH 2025, 9, 339–355. [Google Scholar] [CrossRef]
- Deng, Y.; Zha, Y. A Novel Vehicle Emergency Braking Control Method based on Parameter Estimation. J. Comput. Methods Sci. Eng. 2025, 25, 3425–3442. [Google Scholar] [CrossRef]
- Sahin, H. Decision Making for Vehicle Stability with Advanced Emergency Braking and Active Suspension Control. Proc. Inst. Mech. Eng. Part C J. Mech. Eng. Sci. 2025, 239, 9485–9493. [Google Scholar] [CrossRef]
- Liu, D.; Huang, W.; Chu, R.; Fan, Y.; Fu, W.; Tang, X.; Li, Z.; Jin, X.; Zhang, H.; Wang, Y. A Comprehensive Performance Evaluation Method Based on Dynamic Weight Analytic Hierarchy Process for In-Loop Automatic Emergency Braking System in Intelligent Connected Vehicles. Machines 2025, 13, 458. [Google Scholar] [CrossRef]
- Bazzi, A.; Masini, B.M.; Zanella, A. How Many Vehicles in the LTE-V2V Awareness Range with Half or Full Duplex Radios? In Proceedings of the 2017 15th International Conference on ITS Telecommunications (ITST), Warsaw, Poland, 29–31 May 2017; pp. 1–6. [Google Scholar]
- Nour, M.; Zaki, M.H.; Abdel-Aty, M. Assessing the Impact of Vehicle-to-Vehicle Communication on Lane Change Safety in Work Zones. IEEE Open J. Intell. Transp. Syst. 2025, 6, 832–847. [Google Scholar] [CrossRef]









| Scenario | Configuration | Initial Distance Between the Ego Vehicle and the Lead Vehicle (m) | Braking Initiation Time (s) | Time of Maximum Deceleration (s) | Collision/Stopped State | Collision Speed (km/h) | Final Gap (m) | Result |
|---|---|---|---|---|---|---|---|---|
| (1) | Only onboard sensors | 45 | 0.6 | 1.1 | Collision occurs at 2.7 s | 56 | 0 | Collision |
| Onboard sensors & V2V | 45 | 0 | 0.8 | Safe stop at 4.3 s | 0 | 1 | Successful collision avoidance | |
| (2) | Only onboard sensors | 70 | 1.1 | 1.8 | Collision occurs at 3.7 s | 41 | 0 | Collision |
| Onboard sensors & V2V | 70 | 0.5 | 1.47 | Safe stop at 5.1 s | 0 | 6.8 | Successful collision avoidance | |
| (3) | Only onboard sensors | 30 | 0 | 1.07 | Collision occurs at 2.1 s | 68.6 | 0 | Collision |
| Onboard sensors & V2V | 30 | 0 | 0 | Safe stop at 3.8 s | 0 | 3.1 | Successful collision avoidance |
Disclaimer/Publisher’s Note: The statements, opinions and data contained in all publications are solely those of the individual author(s) and contributor(s) and not of MDPI and/or the editor(s). MDPI and/or the editor(s) disclaim responsibility for any injury to people or property resulting from any ideas, methods, instructions or products referred to in the content. |
© 2026 by the authors. Licensee MDPI, Basel, Switzerland. This article is an open access article distributed under the terms and conditions of the Creative Commons Attribution (CC BY) license.
Share and Cite
Huang, C.; Lai, F. An Enhanced Automatic Emergency Braking Control Method Based on Vehicle-to-Vehicle Communication. Algorithms 2026, 19, 34. https://doi.org/10.3390/a19010034
Huang C, Lai F. An Enhanced Automatic Emergency Braking Control Method Based on Vehicle-to-Vehicle Communication. Algorithms. 2026; 19(1):34. https://doi.org/10.3390/a19010034
Chicago/Turabian StyleHuang, Chaoqun, and Fei Lai. 2026. "An Enhanced Automatic Emergency Braking Control Method Based on Vehicle-to-Vehicle Communication" Algorithms 19, no. 1: 34. https://doi.org/10.3390/a19010034
APA StyleHuang, C., & Lai, F. (2026). An Enhanced Automatic Emergency Braking Control Method Based on Vehicle-to-Vehicle Communication. Algorithms, 19(1), 34. https://doi.org/10.3390/a19010034
