Multiscale Average Absolute Difference (MSAAD): A Computationally Efficient and Nonparametric Adaptation of Line Length for Noisy, Uncontrolled Wearables Time Series
Abstract
1. Introduction
2. Materials and Methods
2.1. Generated β Noise Realizations
2.2. Ethics Approval and Consent to Participate
2.3. Wearable Device and Questionnaire Data Collection
2.4. Cohen’s d Estimate of Effect Size
2.5. Comparison of Cohorts Reporting the Presence or Absence of DM Dx
2.6. Comparison of Age Cohorts
3. Results
3.1. Coarse Graining and Multiscale Average Absolute Difference
| Algorithm 1. A pseudocode description of the MSAAD algorithm. |
| Input: An ordered, discrete time series of any length and a list of integer scale sizes, s. Output: The MSAAD curve of the time series of the same length as the number of scales used
|
3.2. In Simulated Noise Processes, MSAAD Is More Stable than MSSE at Larger Bin Sizes and Approximates the Power Decay Constant for −1 ≤ β ≤ 2 Realizations
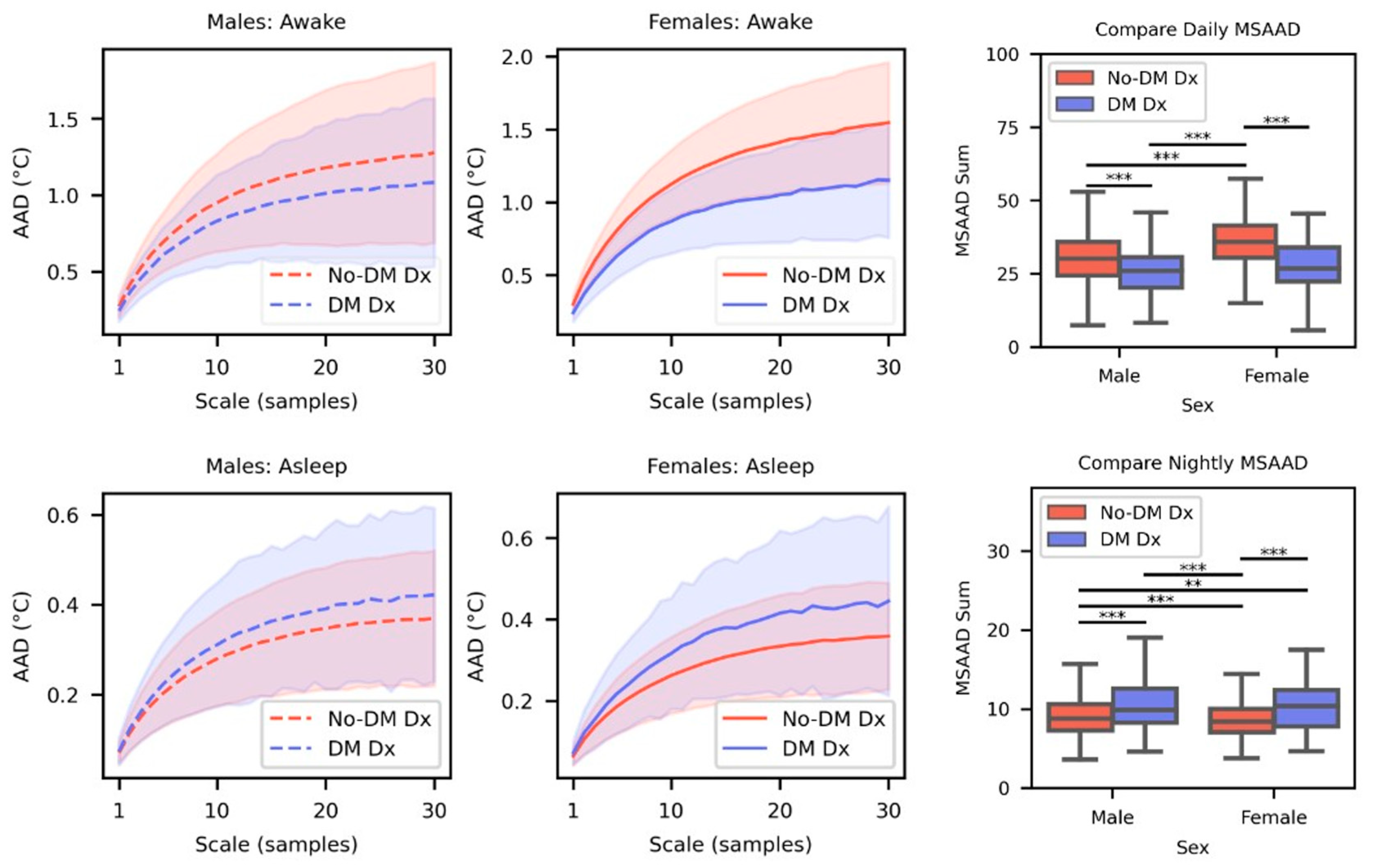
3.3. MSAAD of Distal Body Temperature Separates Individuals with a Diabetes Diagnosis from Individuals with No Reported Diagnoses
3.4. Comparisons of MSAAD Separating No-DM Dx vs. DM Dx Groups Versus MSSE and MS-KFD
3.5. MSAAD of Distal Body Temperature Highlights Differences in Reported Sex and Age
4. Discussion
5. Conclusions
Author Contributions
Funding
Institutional Review Board Statement
Informed Consent Statement
Data Availability Statement
Conflicts of Interest
Abbreviations
| (MS)AAD | (Multiscale) Average Absolute Difference |
| (MS)SE | (Multiscale) Sample Entropy |
| (MS)PE | (Multiscale) Permutation Entropy |
| (MS-)KFD | (Multiscale) Katz Fractal Dimension |
| DFA | Detrended Fluctuation Analysis |
| Dx | Diagnosis |
Appendix A




References
- Niknejad, N.; Ismail, W.B.; Mardani, A.; Liao, H.; Ghani, I. A comprehensive overview of smart wearables: The state of the art literature, recent advances, and future challenges. Eng. Appl. Artif. Intell. 2020, 90, 103529. [Google Scholar] [CrossRef]
- Gao, S.; Zhang, X.; Peng, S. Understanding the Adoption of Smart Wearable Devices to Assist Healthcare in China; Springer: Berlin/Heidelberg, Germany, 2016; pp. 280–291. [Google Scholar]
- Grym, K.; Niela-Vilén, H.; Ekholm, E.; Hamari, L.; Azimi, I.; Rahmani, A.; Liljeberg, P.; Löyttyniemi, E.; Axelin, A. Feasibility of smart wristbands for continuous monitoring during pregnancy and one month after birth. BMC Pregnancy Childbirth 2019, 19, 34. [Google Scholar] [CrossRef]
- Aliverti, A. Wearable technology: Role in respiratory health and disease. Breathe 2017, 13, e27–e36. [Google Scholar] [CrossRef] [PubMed]
- Li, J.; Ma, Q.; Chan, A.H.; Man, S. Health monitoring through wearable technologies for older adults: Smart wearables acceptance model. Appl. Ergon. 2019, 75, 162–169. [Google Scholar] [CrossRef]
- Babu, M.; Lautman, Z.; Lin, X.; Sobota, M.H.B.; Snyder, M.P. Wearable Devices: Implications for Precision Medicine and the Future of Health Care. Annu. Rev. Med. 2024, 75, 401–415. [Google Scholar] [CrossRef]
- Burks, J.H.; Bruce, L.K.; Kasl, P.; Soltani, S.; Viswanath, V.; Hartogensis, W.; Dilchert, S.; Hecht, F.M.; Dasgupta, S.; Altintas, I.; et al. General feature selection technique supporting sex-debiasing in chronic illness algorithms validated using wearable device data. npj Women’s Health 2024, 2, 37. [Google Scholar] [CrossRef]
- Burks, J.H.; Joe, L.; Kanjaria, K.; Monsivais, C.; O’laughlin, K.; Smarr, B.L. Chronobiologically-informed features from CGM data provide unique information for XGBoost prediction of longer-term glycemic dysregulation in 8,000 individuals with type-2 diabetes. PLoS Digit. Health 2025, 4, e0000815. [Google Scholar] [CrossRef]
- Mattison, G.; Canfell, O.; Forrester, D.; Dobbins, C.; Smith, D.; Töyräs, J.; Sullivan, C. The Influence of Wearables on Health Care Outcomes in Chronic Disease: Systematic Review. J. Med. Internet Res. 2022, 24, e36690. [Google Scholar] [CrossRef] [PubMed]
- Dunn, J.; Runge, R.; Snyder, M. Wearables and the medical revolution. Pers. Med. 2018, 15, 429–448. [Google Scholar] [CrossRef] [PubMed]
- Hamilton, J.D. Time Series Analysis; Princeton University Press: Princeton, NJ, USA, 2020; ISBN 0-691-21863-3. [Google Scholar]
- Klein, J.L. Statistical Visions in Time: A History of Time Series Analysis, 1662–1938; Cambridge University Press: Cambridge, UK, 1997; ISBN 0-521-42046-6. [Google Scholar]
- Attinger, E.; Anne, A.; McDonald, D. Use of Fourier series for the analysis of biological systems. Biophys. J. 1966, 6, 291–304. [Google Scholar] [CrossRef]
- Kohlmorgen, J.; Müller, K.-R.; Rittweger, J.; Pawelzik, K. Identification of nonstationary dynamics in physiological recordings. Biol. Cybern. 2000, 83, 73–84. [Google Scholar] [CrossRef]
- Mayer-Kress, G. Localized measures for nonstationary time-series of physiological data. Integr. Physiol. Behav. Sci. 1994, 29, 205–210. [Google Scholar] [CrossRef] [PubMed]
- Tang, L.; Lv, H.; Yang, F.; Yu, L. Complexity testing techniques for time series data: A comprehensive literature review. Chaos Solitons Fractals 2015, 81, 117–135. [Google Scholar] [CrossRef]
- Song, C.; Havlin, S.; Makse, H.A. Self-similarity of complex networks. Nature 2005, 433, 392–395. [Google Scholar] [CrossRef] [PubMed]
- Barkoulas, J.T.; Baum, C.F. Long-term dependence in stock returns. Econ. Lett. 1996, 53, 253–259. [Google Scholar] [CrossRef]
- Lipsitz, L.A.; Goldberger, A.L. Loss of ’complexity’ and aging: Potential applications of fractals and chaos theory to senescence. JAMA 1992, 267, 1806–1809. [Google Scholar] [CrossRef]
- Stam, C.J. Nonlinear dynamical analysis of EEG and MEG: Review of an emerging field. Clin. Neurophysiol. 2005, 116, 2266–2301. [Google Scholar] [CrossRef]
- Sharma, V. Deterministic chaos and fractal complexity in the dynamics of cardiovascular behavior: Perspectives on a new frontier. Open Cardiovasc. Med. J. 2009, 3, 110. [Google Scholar] [CrossRef]
- Powell, G.; Percival, I. A spectral entropy method for distinguishing regular and irregular motion of Hamiltonian systems. J. Phys. Math. Gen. 1979, 12, 2053. [Google Scholar] [CrossRef]
- Richman, J.S.; Moorman, J.R. Physiological time-series analysis using approximate entropy and sample entropy. Am. J. Physiol. Heart Circ. Physiol. 2000, 278, H2039–H2049. [Google Scholar] [CrossRef]
- Rosso, O.A.; Blanco, S.; Yordanova, J.; Kolev, V.; Figliola, A.; Schürmann, M.; Başar, E. Wavelet entropy: A new tool for analysis of short duration brain electrical signals. J. Neurosci. Methods 2001, 105, 65–75. [Google Scholar] [CrossRef] [PubMed]
- Bandt, C.; Pompe, B. Permutation entropy: A natural complexity measure for time series. Phys. Rev. Lett. 2002, 88, 174102. [Google Scholar] [CrossRef] [PubMed]
- Bryce, R.M.; Sprague, K.B. Revisiting detrended fluctuation analysis. Sci. Rep. 2012, 2, 315. [Google Scholar] [CrossRef]
- Lv, J.-H.; Lu, J.-A.; Chen, S. Analysis and Application of Chaotic Time Series; Press of Wuhan University: Wuhan, China, 2002. [Google Scholar]
- Lake, D.E.; Richman, J.S.; Griffin, M.P.; Moorman, J.R. Sample entropy analysis of neonatal heart rate variability. Am. J. Physiol.-Regul. Integr. Comp. Physiol. 2002, 283, R789–R797. [Google Scholar] [CrossRef] [PubMed]
- Alcaraz, R.; Rieta, J. A novel application of sample entropy to the electrocardiogram of atrial fibrillation. Nonlinear Anal. Real World Appl. 2010, 11, 1026–1035. [Google Scholar] [CrossRef]
- Bian, C.; Qin, C.; Ma, Q.D.; Shen, Q. Modified permutation-entropy analysis of heartbeat dynamics. Phys. Rev. E 2012, 85, 21906. [Google Scholar] [CrossRef]
- Deffeyes, J.E.; Harbourne, R.T.; Stuberg, W.A.; Stergiou, N. Approximate entropy used to assess sitting postural sway of infants with developmental delay. Infant Behav. Dev. 2011, 34, 81–99. [Google Scholar] [CrossRef]
- Pincus, S.M. Approximate entropy as a measure of system complexity. Proc. Natl. Acad. Sci. USA 1991, 88, 2297–2301. [Google Scholar] [CrossRef]
- Galaska, R.; Makowiec, D.; Dudkowska, A.; Koprowski, A.; Chlebus, K.; Wdowczyk-Szulc, J.; Rynkiewicz, A. Comparison of wavelet transform modulus maxima and multifractal detrended fluctuation analysis of heart rate in patients with systolic dysfunction of left ventricle. Ann. Noninvasive Electrocardiol. 2008, 13, 155–164. [Google Scholar] [CrossRef]
- Humeau, A.; Buard, B.; Mahé, G.; Chapeau-Blondeau, F.; Rousseau, D.; Abraham, P. Multifractal analysis of heart rate variability and laser Doppler flowmetry fluctuations: Comparison of results from different numerical methods. Phys. Med. Biol. 2010, 55, 6279. [Google Scholar] [CrossRef]
- Dick, O.E. Multifractal analysis of the psychorelaxation efficiency for the healthy and pathological human brain. Chaotic Model Simul 2012, 1, 219–227. [Google Scholar]
- Mercy Cleetus, H.M.; Singh, D. Multifractal application on electrocardiogram. J. Med. Eng. Technol. 2014, 38, 55–61. [Google Scholar] [CrossRef]
- Babloyantz, A.; Salazar, J.; Nicolis, C. Evidence of chaotic dynamics of brain activity during the sleep cycle. Phys. Lett. A 1985, 111, 152–156. [Google Scholar] [CrossRef]
- Thomasson, N.; Hoeppner, T.J.; Webber, C.L., Jr.; Zbilut, J.P. Recurrence quantification in epileptic EEGs. Phys. Lett. A 2001, 279, 94–101. [Google Scholar] [CrossRef]
- Yılmaz, D.; Güler, N.F. Analysis of the Doppler signals using largest Lyapunov exponent and correlation dimension in healthy and stenosed internal carotid artery patients. Digit. Signal Process. 2010, 20, 401–409. [Google Scholar] [CrossRef]
- Übeyli, E.D. Lyapunov exponents/probabilistic neural networks for analysis of EEG signals. Expert Syst. Appl. 2010, 37, 985–992. [Google Scholar] [CrossRef]
- Canali, S.; Schiaffonati, V.; Aliverti, A. Challenges and recommendations for wearable devices in digital health: Data quality, interoperability, health equity, fairness. PLoS Digit. Health 2022, 1, e0000104. [Google Scholar] [CrossRef] [PubMed]
- Schlink, U.; Ueberham, M. Perspectives of Individual-Worn Sensors Assessing Personal Environmental Exposure. Engineering 2021, 7, 285–289. [Google Scholar] [CrossRef]
- Taylor, K.I.; Staunton, H.; Lipsmeier, F.; Nobbs, D.; Lindemann, M. Outcome measures based on digital health technology sensor data: Data- and patient-centric approaches. npj Digit. Med. 2020, 3, 97. [Google Scholar] [CrossRef]
- Elsenbruch, S.; Wang, Z.; Orr, W.C.; Chen, J. Time-frequency analysis of heart rate variability using short-time Fourier analysis. Physiol. Meas. 2000, 21, 229. [Google Scholar] [CrossRef]
- Silva, B.M.C.; Rodrigues, J.J.P.C.; de la Torre Díez, I.; López-Coronado, M.; Saleem, K. Mobile-health: A review of current state in 2015. J. Biomed. Inform. 2015, 56, 265–272. [Google Scholar] [CrossRef] [PubMed]
- Steinhubl, S.R.; Muse, E.D.; Topol, E.J. The emerging field of mobile health. Sci. Transl. Med. 2015, 7, 283rv3. [Google Scholar] [CrossRef]
- Weinstein, R.S.; Lopez, A.M.; Joseph, B.A.; Erps, K.A.; Holcomb, M.; Barker, G.P.; Krupinski, E.A. Telemedicine, Telehealth, and Mobile Health Applications That Work: Opportunities and Barriers. Am. J. Med. 2014, 127, 183–187. [Google Scholar] [CrossRef]
- Katz, M.J. Fractals and the analysis of waveforms. Comput. Biol. Med. 1988, 18, 145–156. [Google Scholar] [CrossRef]
- Costa, M.; Goldberger, A.L.; Peng, C.-K. Multiscale Entropy Analysis (MSE). A Tutor MSE. 2000. Available online: https://www.physionet.org/files/mse/1.0/tutorial/tutorial.pdf (accessed on 25 January 2025).
- Costa, M.; Goldberger, A.L.; Peng, C.-K. Multiscale entropy analysis of complex physiologic time series. Phys. Rev. Lett. 2002, 89, 68102. [Google Scholar] [CrossRef] [PubMed]
- Mason, A.E.; Hecht, F.M.; Davis, S.K.; Natale, J.L.; Hartogensis, W.; Damaso, N.; Claypool, K.T.; Dilchert, S.; Dasgupta, S.; Purawat, S. Detection of COVID-19 using multimodal data from a wearable device: Results from the first TemPredict Study. Sci. Rep. 2022, 12, 3463. [Google Scholar]
- Malakhatka, E.; Osman, O.; Lundqvist, P. Monitoring and Predicting Occupant’s Sleep Quality by Using Wearable Device OURA Ring and Smart Building Sensors Data (Living Laboratory Case Study). Buildings 2021, 11, 459. [Google Scholar] [CrossRef]
- Kenny, G.P.; Sigal, R.J.; McGinn, R. Body temperature regulation in diabetes. Temp. Multidiscip. Biomed. J. 2016, 3, 119–145. [Google Scholar] [CrossRef]
- Arabi, P.M.; Joshi, G.; Lohith, S.; Mubashir, M.; Pallavi, P.Y.; Surabhi, M. Early Diagnosis of Diabetic Vasculopathy by Thermo-Regulatory Vascular Impairment. In Proceedings of the 2020 5th International Conference on Communication and Electronics Systems (ICCES), Coimbatore, India, 10–12 June 2020; pp. 1368–1373. [Google Scholar]
- Rutkove, S.B.; Veves, A.; Mitsa, T.; Nie, R.; Fogerson, P.M.; Garmirian, L.P.; Nardin, R.A. Impaired Distal Thermoregulation in Diabetes and Diabetic Polyneuropathy. Diabetes Care 2009, 32, 671–676. [Google Scholar] [CrossRef]
- Costa, M.D.; Henriques, T.; Munshi, M.N.; Segal, A.R.; Goldberger, A.L. Dynamical glucometry: Use of multiscale entropy analysis in diabetes. Chaos 2014, 24, 33139. [Google Scholar] [CrossRef] [PubMed]
- Kosciessa, J.Q.; Kloosterman, N.A.; Garrett, D.D. Standard multiscale entropy reflects neural dynamics at mismatched temporal scales: What’s signal irregularity got to do with it? PLoS Comput. Biol. 2020, 16, e1007885. [Google Scholar] [CrossRef] [PubMed]
- Hägg, S.; Jylhävä, J. Sex differences in biological aging with a focus on human studies. eLife 2021, 10, e63425. [Google Scholar] [CrossRef] [PubMed]
- Chan, S.L.; Wei, Z.; Chigurupati, S.; Tu, W. Compromised respiratory adaptation and thermoregulation in aging and age-related diseases. Thermodyn. Ageing 2010, 9, 20–40. [Google Scholar] [CrossRef]
- Irwin, M.R. Sleep disruption induces activation of inflammation and heightens risk for infectious disease: Role of impairments in thermoregulation and elevated ambient temperature. Temperature 2023, 10, 198–234. [Google Scholar] [CrossRef] [PubMed]
- Haskell, E.H.; Palca, J.W.; Walker, J.M.; Berger, R.J.; Heller, H.C. Metabolism and thermoregulation during stages of sleep in humans exposed to heat and cold. J. Appl. Physiol. 1981, 51, 948–954. [Google Scholar] [CrossRef]
- Hausdorff, J.M.; Peng, C.-K. Multiscaled randomness: A possible source of 1/f noise in biology. Phys. Rev. E 1996, 54, 2154. [Google Scholar] [CrossRef]
- Musha, T.; Yamamoto, M. 1/f Fluctuations in Biological Systems; IEEE: New York, NY, USA, 1997; Volume 6, pp. 2692–2697. [Google Scholar]
- Sejdić, E.; Lipsitz, L.A. Necessity of noise in physiology and medicine. Comput. Methods Programs Biomed. 2013, 111, 459–470. [Google Scholar] [CrossRef]
- Pilgram, B.; Kaplan, D.T. Nonstationarity and 1/f noise characteristics in heart rate. Am. J. Physiol.-Regul. Integr. Comp. Physiol. 1999, 276, R1–R9. [Google Scholar] [CrossRef]
- Ward, L.M.; Greenwood, P.E. 1/f noise. Scholarpedia 2007, 2, 1537. [Google Scholar] [CrossRef]
- Tran, T.T.; Rolle, C.E.; Gazzaley, A.; Voytek, B. Linked Sources of Neural Noise Contribute to Age-related Cognitive Decline. J. Cogn. Neurosci. 2020, 32, 1813–1822. [Google Scholar] [CrossRef]
- Osilla, E.V.; Marsidi, J.L.; Shumway, K.R.; Sharma, S. Physiology, Temperature Regulation. In StatPearls; StatPearls Publishing: Treasure Island, FL, USA, 2024. [Google Scholar]
- Stoner, H.B.; Barker, P.; Riding, G.S.; Hazlehurst, D.E.; Taylor, L.; Marcuson, R.W. Relationships between skin temperature and perfusion in the arm and leg. Clin. Physiol. Oxf. Engl. 1991, 11, 27–40. [Google Scholar] [CrossRef]
- Romanovsky, A.A. Skin temperature: Its role in thermoregulation. Acta Physiol. Oxf. Engl. 2014, 210, 498–507. [Google Scholar] [CrossRef]
- LeBlanc, J.; Blais, B.; Barabé, B.; Côté, J. Effects of temperature and wind on facial temperature, heart rate, and sensation. J. Appl. Physiol. 1976, 40, 127–131. [Google Scholar] [CrossRef]
- Torii, M.; Yamasaki, M.; Sasaki, T.; Nakayama, H. Fall in skin temperature of exercising man. Br. J. Sports Med. 1992, 26, 29–32. [Google Scholar] [CrossRef] [PubMed]
- Surani, S.; Brito, V.; Surani, A.; Ghamande, S. Effect of diabetes mellitus on sleep quality. World J. Diabetes 2015, 6, 868–873. [Google Scholar] [CrossRef] [PubMed]
- Ogilvie, R.P.; Patel, S.R. The Epidemiology of Sleep and Diabetes. Curr. Diab. Rep. 2018, 18, 82. [Google Scholar] [CrossRef] [PubMed]
- Hu, K.; Ivanov, P.C.; Chen, Z.; Carpena, P.; Eugene Stanley, H. Effect of trends on detrended fluctuation analysis. Phys. Rev. E 2001, 64, 11114. [Google Scholar] [CrossRef]





| Median Run Time Per Window (s) | Female Significance (p-Value) | Female Cohen’s d | Male Significance (p-Value) | Male Cohen’s d | |
|---|---|---|---|---|---|
| SOTA Algorithms | |||||
| MSSE | 0.131 | 6.00 × 10−2 | −0.17 | 3.10 × 10−1 | −0.07 |
| MSPE | 0.044 | 6.10 × 10−3 | −0.41 | 3.90 × 10−4 | −0.28 |
| MS-KFD | 0.031 | 9.60 × 10−1 | −0.04 | 2.50 × 10−1 | −0.03 |
| Hurst Exponent | 0.032 | 6.90 × 10−1 | 0.02 | 2.30 × 10−3 | 0.24 |
| Our Algorithm | |||||
| MSAAD | 0.029 | 2.60 × 10−7 | −0.73 | 1.80 × 10−11 | −0.56 |
| Awake | Asleep | ||||
|---|---|---|---|---|---|
| Coefficient | p-Value | Coefficient | p-Value | ||
| Male | Intercept | 10 | <0.001 | 7.45 | >0.05 |
| Group | 2.63 | <0.001 | −1.62 | <0.001 | |
| MET | 10.6 | <0.001 | 3.71 | >0.05 | |
| Female | Intercept | 11.5 | <0.001 | −45.2 | <0.001 |
| Group | 5.85 | <0.001 | −1.94 | <0.001 | |
| MET | 10.9 | <0.001 | 11.3 | <0.001 | |
Disclaimer/Publisher’s Note: The statements, opinions and data contained in all publications are solely those of the individual author(s) and contributor(s) and not of MDPI and/or the editor(s). MDPI and/or the editor(s) disclaim responsibility for any injury to people or property resulting from any ideas, methods, instructions or products referred to in the content. |
© 2025 by the authors. Licensee MDPI, Basel, Switzerland. This article is an open access article distributed under the terms and conditions of the Creative Commons Attribution (CC BY) license (https://creativecommons.org/licenses/by/4.0/).
Share and Cite
Burks, J.H.; Hartogensis, W.; Dilchert, S.; Mason, A.E.; Smarr, B.L. Multiscale Average Absolute Difference (MSAAD): A Computationally Efficient and Nonparametric Adaptation of Line Length for Noisy, Uncontrolled Wearables Time Series. Algorithms 2025, 18, 577. https://doi.org/10.3390/a18090577
Burks JH, Hartogensis W, Dilchert S, Mason AE, Smarr BL. Multiscale Average Absolute Difference (MSAAD): A Computationally Efficient and Nonparametric Adaptation of Line Length for Noisy, Uncontrolled Wearables Time Series. Algorithms. 2025; 18(9):577. https://doi.org/10.3390/a18090577
Chicago/Turabian StyleBurks, Jamison H., Wendy Hartogensis, Stephan Dilchert, Ashley E. Mason, and Benjamin L. Smarr. 2025. "Multiscale Average Absolute Difference (MSAAD): A Computationally Efficient and Nonparametric Adaptation of Line Length for Noisy, Uncontrolled Wearables Time Series" Algorithms 18, no. 9: 577. https://doi.org/10.3390/a18090577
APA StyleBurks, J. H., Hartogensis, W., Dilchert, S., Mason, A. E., & Smarr, B. L. (2025). Multiscale Average Absolute Difference (MSAAD): A Computationally Efficient and Nonparametric Adaptation of Line Length for Noisy, Uncontrolled Wearables Time Series. Algorithms, 18(9), 577. https://doi.org/10.3390/a18090577

