Energy Scheduling of Hydrogen Hybrid UAV Based on Model Predictive Control and Deep Deterministic Policy Gradient Algorithm
Abstract
1. Introduction
- (1)
- By adopting the Deep Deterministic Policy Gradient (DDPG) reinforcement learning algorithm, the issue of insufficient adaptability in existing methods under uncertain environments can be effectively addressed. Through continuous learning and adjustment from the environment, the DDPG can automatically optimize energy scheduling strategies when facing unforeseen changes, thereby improving the system’s dynamic adaptability and robustness.
- (2)
- Traditional rule-based and optimization-based methods often struggle with highly nonlinear and complex system models, especially in dynamic environments. By introducing learning-based energy scheduling methods, particularly reinforcement learning, which offers powerful modeling capabilities, the complexities that current methods fail to handle can be tackled. More accurate system modeling enables optimized energy management under various environmental and task conditions.
- (3)
- Many optimization methods require lengthy computation times, making them unsuitable for real-time applications. In contrast, DDPG can perform online learning and decision-making in a shorter time, greatly improving the real-time efficiency of energy scheduling. This is particularly crucial for energy management in hydrogen-powered hybrid UAVs operating in uncertain environments.
2. Force Analysis and Power Calculation
2.1. Takeoff Phase
2.2. Climb Phase
- (1)
- Force analysis:
- (2)
- Power situation:
- (1)
- Force analysis:
- (2)
- Power situation:
- (1)
- Force analysis:
- (2)
- Power situation:
2.3. Cruise Phase
- (1)
- Force analysis:
- (2)
- Power situation:
- (1)
- Force analysis:
- (2)
- Power situation:
- (1)
- Force analysis:
- (2)
- Power situation:
2.4. Descent Phase
- (1)
- Force analysis:
- (2)
- Power situation:
2.5. Landing Phase
- (1)
- Force analysis:
- (2)
- Power situation:
- (1)
- Force analysis:
- (2)
- Power situation:
3. Hybrid Energy System Mathematical Model
3.1. Proton Exchange Membrane Fuel Cell (PEMFC)
3.2. Lithium Battery
3.3. High-Pressure Hydrogen Storage Tank
3.4. DC Motor
3.5. Fuel Cell BOP
3.6. Communication Equipment
4. Model Predictive Control for Power Optimization and DDPG-Based Optimization Scheduling
4.1. Model Predictive Control for Power Optimization
4.1.1. System Development
4.1.2. System Model Prediction
4.1.3. Optimize Control Inputs
4.1.4. Optimal Control Inputs
4.1.5. Feedback and Update
4.2. DDPG-Based Optimization Scheduling
4.2.1. Exploration Noise and Markov Decision Process
- (1)
- Objective function
- (2)
- Operating constraints
- (3)
- State space
- (4)
- Action space
- (5)
- Reward function
4.2.2. DDPG Algorithm Training Process
- (1)
- Neural network initialization
- (2)
- Algorithm parameter settings
- (3)
- Training scenario setup
- (4)
- MDP training loop
- (5)
- Network parameter update
4.2.3. Device Parameters and Algorithm Parameter Settings
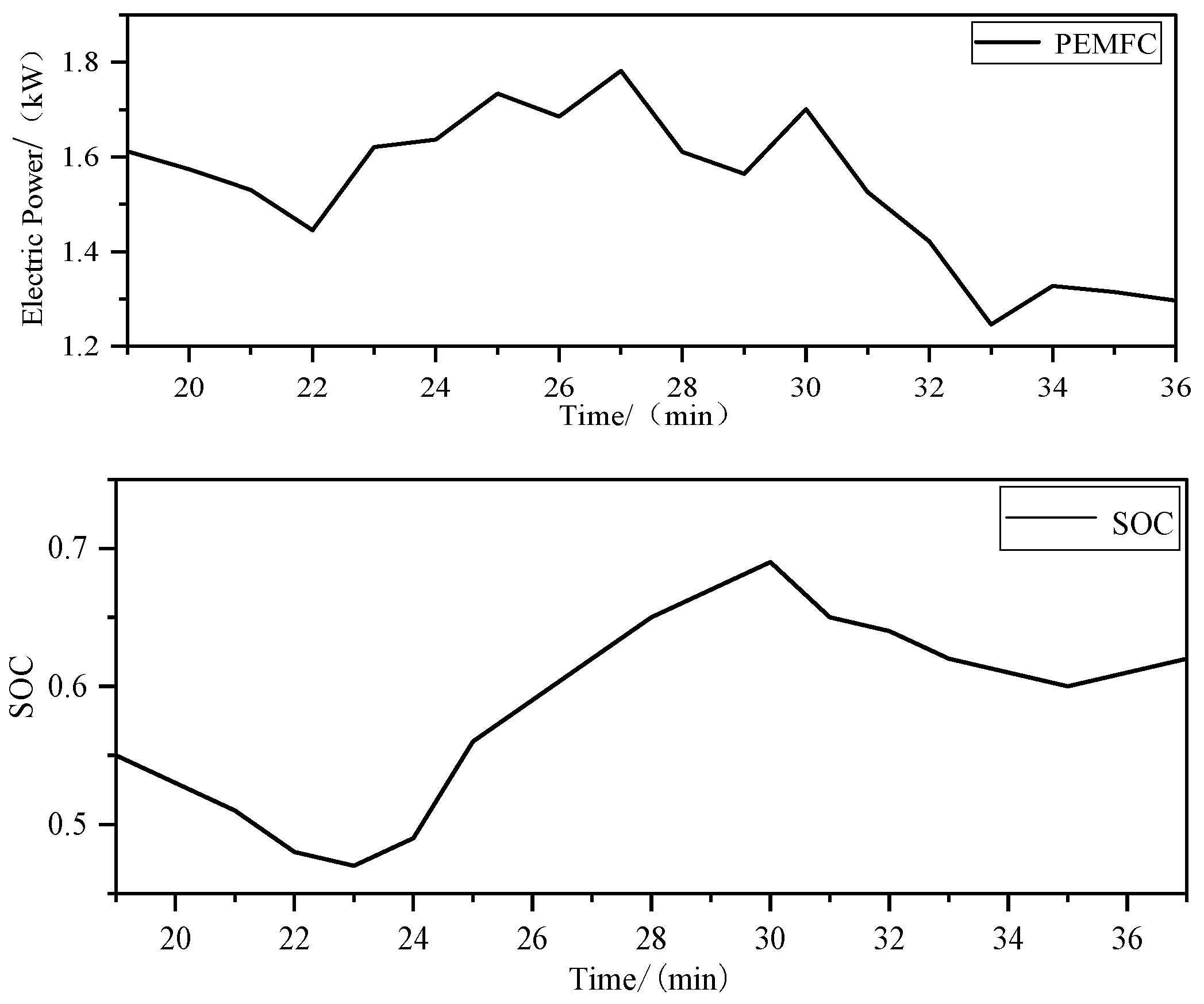
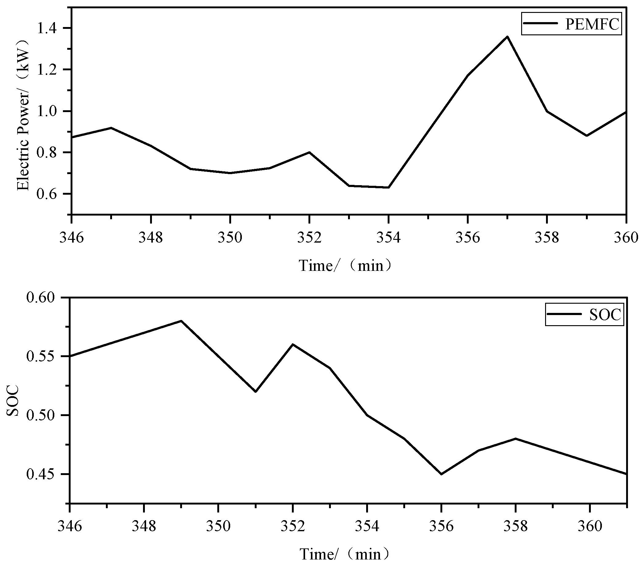
5. Power Optimization and Optimized Scheduling Results
6. Conclusions
- (1)
- The hydrogen hybrid UAV energy scheduling model developed in this study fully considers the system’s operational state and continuous device scheduling, allowing for a comprehensive representation of the dynamic operational process of the system’s devices;
- (2)
- The MPC method is used to achieve lower electrical power consumption for the multi-task hydrogen hybrid UAV, while the DDPG algorithm minimizes the energy scheduling cost;
- (3)
- Uncertainty is introduced into the minimum electrical power to simulate the uncertainty in the UAV’s flight process. The DDPG algorithm demonstrates high real-time scheduling capability and system adaptability;
- (4)
- The combination of MPC and DDPG algorithms effectively solves the electrical energy scheduling problem for multi-task hydrogen fuel cell UAVs. While the MPC algorithm alone cannot address the system’s uncertainty, and the DDPG algorithm alone cannot optimize the electrical power side, the combination of both algorithms achieves optimization of the electrical power side and efficient scheduling of electrical power.
Author Contributions
Funding
Data Availability Statement
Acknowledgments
Conflicts of Interest
References
- Fan, B.; Li, Y.; Zhang, R.; Fu, Q. Review on the technological development and application of UAV systems. Chin. J. Electron. 2020, 29, 199–207. [Google Scholar] [CrossRef]
- Li, Y.; Zhu, Q.; Elahi, A. Sequential Convex Programming for Nonlinear Optimal Control in UAV Trajectory Planning. Algorithms 2024, 17, 304. [Google Scholar] [CrossRef]
- Pan, Z.F.; An, L.; Wen, C.Y. Recent advances in fuel cells based propulsion systems for unmanned aerial vehicles. Appl. Energy 2019, 240, 473–485. [Google Scholar] [CrossRef]
- Aminudin, M.A.; Kamarudin, S.K.; Lim, B.H.; Majilan, E.H.; Masdar, M.S.; Shaari, N. An overview: Current progress on hydrogen fuel cell vehicles. Int. J. Hydrogen Energy 2023, 48, 4371–4388. [Google Scholar] [CrossRef]
- Salah, O.; Shamayleh, A.; Mukhopadhyay, S. Energy management of a multi-source power system. Algorithms 2021, 14, 206. [Google Scholar] [CrossRef]
- Urooj, A.; Nasir, A. Review of intelligent energy management techniques for hybrid electric vehicles. J. Energy Storage 2024, 92, 112132. [Google Scholar] [CrossRef]
- Jin, B.; Zhang, L.; Chen, Q.; Fu, Z. Energy management strategy of fuzzy logic control for fuel cell truck. Energy Rep. 2023, 9, 247–255. [Google Scholar] [CrossRef]
- Wang, Y.; Sun, Z.; Chen, Z. Development of energy management system based on a rule-based power distribution strategy for hybrid power sources. Energy 2019, 175, 1055–1066. [Google Scholar] [CrossRef]
- Thirunavukkarasu, M.; Sawle, Y.; Lala, H. A comprehensive review on optimization of hybrid renewable energy systems using various optimization techniques. Renew. Sustain. Energy Rev. 2023, 176, 113192. [Google Scholar] [CrossRef]
- Chen, X.P.; Hewitt, N.; Li, Z.T.; Wu, Q.M.; Yuan, X.; Roskilly, T. Dynamic programming for optimal operation of a biofuel micro CHP-HES system. Appl. Energy 2017, 208, 132–141. [Google Scholar] [CrossRef]
- Salehpour, M.J.; Zarenia, O.; Wang, J.; Yu, X. Simultaneous components sizing and flight scheduling for an hybrid aerial vehicle as a multi-energy mobile microgrid. Int. Trans. Electr. Energy Syst. 2021, 31, e12925. [Google Scholar] [CrossRef]
- Alabi, T.M.; Aghimien, E.I.; Agbajor, F.D.; Yang, Z.; Lu, L.; Adeoye, A.R.; Gopaluni, B. A review on the integrated optimization techniques and machine learning approaches for modeling, prediction, and decision making on integrated energy systems. Renew. Energy 2022, 194, 822–849. [Google Scholar] [CrossRef]
- Fan, P.; Ke, S.; Yang, J.; Wen, Y.; Xie, L.; Li, Y.; Kamel, S. A frequency cooperative control strategy for multi microgrids with EVs based on improved evolutionary-deep reinforcement learning. Int. J. Electr. Power Energy Syst. 2024, 159, 109991. [Google Scholar] [CrossRef]
- Oleh, U.; Obermaisser, R.; Ahammed, A.S. A Review of Recent Techniques for Human Activity Recognition: Multimodality, Reinforcement Learning, and Language Models. Algorithms 2024, 17, 434. [Google Scholar] [CrossRef]
- Li, Q.; Meng, X.; Gao, F.; Zhang, G.; Chen, W.; Rajashekara, K. Reinforcement learning energy management for fuel cell hybrid systems: A review. IEEE Ind. Electron. Mag. 2022, 17, 45–54. [Google Scholar] [CrossRef]
- Fu, Z.; Wang, H.; Tao, F.; Ji, B.; Dong, Y.; Song, S. Energy management strategy for fuel cell/battery/ultracapacitor hybrid electric vehicles using deep reinforcement learning with action trimming. IEEE Trans. Veh. Technol. 2022, 71, 7171–7185. [Google Scholar] [CrossRef]
- Staffell, I. Zero carbon infinite cop heat from fuel cell CHP. Appl. Energy 2015, 147, 373–385. [Google Scholar] [CrossRef]
- Saco, A.; Sundari, P.S.; Paul, A. An optimized data analysis on a real-time application of PEM fuel cell design by using machine learning algorithms. Algorithms 2022, 15, 346. [Google Scholar] [CrossRef]
- Gong, X.; Xiong, R.; Mi, C.C. Study of the characteristics of battery packs in electric vehicles with parallel-connected lithium-ion battery cells. IEEE Trans. Ind. Appl. 2015, 51, 1872–1879. [Google Scholar] [CrossRef]
- Zheng, J.; Zhang, X.; Xu, P.; Gu, C.; Wu, B.; Hou, Y. Standardized equation for hydrogen gas compressibility factor for fuel consumption applications. Int. J. Hydrogen Energy 2016, 41, 6610–6617. [Google Scholar] [CrossRef]
- Lemmon, E.W.; Huber, M.L.; McLinden, M.O. NIST Standard Reference Database 23. Reference Fluid Thermodynamic and Transport Properties (REFPROP), Version 10.0; National Institute of Standards and Technology: Gaithersburg, MD, USA, 2010; Volume 9. [Google Scholar]
- Bingol, M.C. Investigation of the Standard Deviation of Ornstein-Uhlenbeck Noise in the DDPG Algorithm. Gazi Univ. J. Sci. Part C Des. Technol. 2021, 9, 200–210. [Google Scholar] [CrossRef]












| i | ai | bi | ci |
|---|---|---|---|
| 1 | 0.0588460 | 1.325 | 1.0 |
| 2 | −0.06136111 | 1.87 | 1.0 |
| 3 | −0.002650473 | 2.5 | 2.0 |
| 4 | 0.002731125 | 2.8 | 2.0 |
| 5 | 0.001802374 | 2.938 | 2.42 |
| 6 | −0.0012150707 | 3.14 | 2.63 |
| 7 | 0.958842 × 10−4 | 3.37 | 3.0 |
| 8 | −0.1109040 × 10−6 | 3.75 | 4.0 |
| 9 | 0.1264403 × 10−9 | 4.0 | 5.0 |
| Moment (min) | Flight Altitude (m) | Flight Speed (m/s) | Pitch Angle (°) | Engine Temperature (°C) |
|---|---|---|---|---|
| 1–3 | 0–20 | 0–1 | 5–10 | 55–60 |
| 4–18 | 20–50 | 1–1.5 | 3–5 | 50–55 |
| 19–30 | 50 | 1.5–2 | 0–3 | 45–50 |
| 31–40 | 50 | 1.5–2 | 0–2 | 50–55 |
| 41–120 | 50 | 1.5–2 | 0–2 | 45–50 |
| 121–140 | 50 | 1.5–2 | 0–2 | 50–55 |
| 141–250 | 50 | 1.5–2 | 0–2 | 45–50 |
| 251–270 | 50 | 1.5–2 | 0–2 | 50–55 |
| 271–330 | 50 | 1.5–2 | 0–2 | 45–50 |
| 331–345 | 50–20 | 1–1.5 | (−2)–0 | 40–45 |
| 346–357 | 20–1 | 0.5–1 | (−5)–(−2) | 40–45 |
| 358–360 | 0 | 0–0.5 | (−2)–0 | 30–40 |
| Parameters | Value | Parameters | Value | Parameters | Value |
|---|---|---|---|---|---|
| 0.001 | Memory | 4000 | 0.35 | ||
| 0.001 | Batch size | 96 | 4800 | ||
| τ | 0.001 | μ | 0 | k1 | 100 |
| episode | 200 | θ | 0.15 | k2 | 50 |
| γ | 0.99 | 0.001 | l1 | 20 |
Disclaimer/Publisher’s Note: The statements, opinions and data contained in all publications are solely those of the individual author(s) and contributor(s) and not of MDPI and/or the editor(s). MDPI and/or the editor(s) disclaim responsibility for any injury to people or property resulting from any ideas, methods, instructions or products referred to in the content. |
© 2025 by the authors. Licensee MDPI, Basel, Switzerland. This article is an open access article distributed under the terms and conditions of the Creative Commons Attribution (CC BY) license (https://creativecommons.org/licenses/by/4.0/).
Share and Cite
Li, H.; Wang, C.; Yuan, S.; Zhu, H.; Li, B.; Liu, Y.; Sun, L. Energy Scheduling of Hydrogen Hybrid UAV Based on Model Predictive Control and Deep Deterministic Policy Gradient Algorithm. Algorithms 2025, 18, 80. https://doi.org/10.3390/a18020080
Li H, Wang C, Yuan S, Zhu H, Li B, Liu Y, Sun L. Energy Scheduling of Hydrogen Hybrid UAV Based on Model Predictive Control and Deep Deterministic Policy Gradient Algorithm. Algorithms. 2025; 18(2):80. https://doi.org/10.3390/a18020080
Chicago/Turabian StyleLi, Haitao, Chenyu Wang, Shufu Yuan, Hui Zhu, Bo Li, Yuexin Liu, and Li Sun. 2025. "Energy Scheduling of Hydrogen Hybrid UAV Based on Model Predictive Control and Deep Deterministic Policy Gradient Algorithm" Algorithms 18, no. 2: 80. https://doi.org/10.3390/a18020080
APA StyleLi, H., Wang, C., Yuan, S., Zhu, H., Li, B., Liu, Y., & Sun, L. (2025). Energy Scheduling of Hydrogen Hybrid UAV Based on Model Predictive Control and Deep Deterministic Policy Gradient Algorithm. Algorithms, 18(2), 80. https://doi.org/10.3390/a18020080

