Multi-Head Self-Attention-Based Fully Convolutional Network for RUL Prediction of Turbofan Engines
Abstract
1. Introduction
- Spatial characteristics within multi-sensor data. The operation of a turbofan engine is a result of the collaborative work of its various components. The degradation of one component can lead to the degradation of related components, and the degradation of other components can exacerbate the degradation of that component. These degradation correlations among components are mapped as spatial characteristics within multi-sensor data. Ignoring the corresponding spatial characteristics under multiple operating conditions and failure modes can lead to an insufficient understanding of equipment degradation behavior by the prediction model, which may negatively impact the prediction accuracy of the model.
- Differences in importance among sensor data and representations. Each sensor point and each extracted representation contributes differently to RUL prediction. In other words, there are differences in their importance to prediction accuracy. Considering only the differences in importance within sensor data or representations under multiple operating conditions and failure modes can lead to the prediction model failing to enhance a portion of important data and representations, which may reduce the accuracy of the model’s RUL prediction.
2. Related Work
3. The Proposed Neural Network
3.1. Task Statement
3.2. Architecture of MSA-FCN
3.2.1. Multi-Head Fully Convolutional Network (MHFCN)
- (1)
- First, in each head, the mappings of the first layer are obtained by processing the weighted sensor data Bi along the sensor dimension. Each head of MHFCN (each fully convolutional network) uses convolutional kernels to perform convolution operations on multiple different sensor data points at each time point within the weighted data along the sensor dimension and traverses through the operation of sliding convolutional kernels, thereby obtaining the first layer mapping of the corresponding fully convolutional network. The steps above are shown in Equations (9) and (10).where , , , , , , and Y represent the weight of the th filter, the bias corresponding to Wi, the mapping of the th filter, the activation function, the convolution operation of the th filter, the number of the filters, and the mapping of Conv1D, respectively. It is worth noting that the aforementioned steps adopt the pre-activation function strategy [32], which helps capture the nonlinear relationships among different sensor data points and can enhance the modeling capabilities of MSA-FCN.
- (2)
- MHFCN performs three iterative processings of the data along the spatial dimension using Equations (9) and (10), thereby obtaining deep mappings on each head of MHFCN.
- (3)
- Each head of MHFCN combines the weighted data with the aforementioned mappings through residual connection [32] to extract the corresponding spatially characteristic degradation representations. Residual connection can reduce the training burden of neural networks and enhance the stability of MSA-FCN predictions for RUL. The calculation is shown in Equation (11).where and represent the mappings learned by the th head and the degradation representations with spatial features learned by the th head, respectively.
- (4)
- MHFCN uses a concatenation layer to aggregate the representations extracted from all its heads, thereby obtaining the final degradation representations with spatial characteristics . The calculation is shown in Equation (12).where represents number of the heads of MHFCN.
3.2.2. Dual Multi-Head Self-Attention Module (DMSAM)
- (1)
- DMSAM_Features has three computational steps in each of its heads (each spatial feature self-attention module).
- (1.1)
- Each head performs a linear projection of the degradation representations along the spatial dimension. This step is shown in Equation (1).
- (1.2)
- Each head applies a scaled dot-product self-attention mechanism in the spatial dimension to process the obtained query and key matrices, thereby learning the relationships among various representation parts. Based on these relationships, attention weights reflecting the importance of different representation parts are dynamically calculated and obtained. This step is shown in Equation (2).
- (1.3)
- Each head assigns the obtained attention weights to the corresponding representation parts. This step is shown in Equation (3).
- (2)
- DMSAM_Features utilizes a concatenation layer to aggregate the weighted degradation representations extracted from all its heads along the spatial dimension. This step is shown in Equation (4).
- (3)
- DMSAM_Features performs a linear projection on the aggregated output to ensure it maintains the same dimensions as along the spatial dimension. This step is shown in Equation (5).
- (4)
- DMSAM_Features combines the reshaped outputs and using a residual connection to extract the final weighted degradation representations with spatial characteristics .
3.2.3. Multilayer Perceptron Module (MLPM)
3.3. Training of MSA-FCN and RUL Prediction Procedure
| Algorithm 1: Training of MSA-FCN |
| Input: Training datasets , hyperparameters of the network. Output: The trained MSA-FCN with the optimized trainable parameters. 1: Repeat: 2: Sample a batch of data from Training datasets. 3: Use DMSAM_Data to process through Equations (1)–(5) and . 4: Use MHFCN to process through Equations (9)–(12). 5: Use DMSAM_Features to process through Equations (1)–(5) and . 6: Use MLPM to process for outputting the predicted through flatten operation and Equations (13)–(16). 7: Use the predicted and the corresponding training label to calculate the loss function through Equations (17) and (18). 8: Update the trainable parameters and minimize the loss function through the Adam optimizer and the back propagation algorithm. 9: Until convergence of the Huber loss. |
- Part A
- Acquisition of the raw monitoring data.
- (a).
- The sensors are mounted on the corresponding components of the equipment.
- (b).
- The data reflecting the evolution of the components throughout their life cycles are recorded.
- (c).
- The raw monitoring data containing historical data and real-time data are obtained.
- Part B
- Offline training stage.
- Part B.1
- Transformation between historical data and training datasets.
- (a).
- The sensor data that have a definite change trend along the time series are selected from the historical data.
- (b).
- The selected sensor data are normalized.
- (c).
- A sliding time window operation is used to generate training samples from the normalized data, and a piece-wise function is utilized to generate the corresponding RUL training labels.
- (d).
- The samples and the labels are integrated to form training datasets.
- Part B.2
- Training process.
- (a).
- The proposed network of learning the degradation information are built to establish the proposed neural network.
- (b).
- Training datasets and Algorithm 1 are adopted to train the proposed neural network.
- (c).
- The trained neural network is sent to the online test stage.
- Part C
- Online test stage.
- Part C.1
- Transformation between real-time data and testing datasets.
- (a).
- The sensor data that have a definite change trend along the time series are selected from the real-time data.
- (b).
- The selected sensor data are normalized.
- (c).
- Testing samples and the corresponding RUL testing labels are generated by picking up the last sequence of each engine of the normalized data.
- (d).
- The samples and the labels are integrated to form testing datasets.
- Part C.2
- Evaluation process.
- (a).
- The testing datasets are fed into the trained neural network to predict the real-time RUL of the equipment.
- (b).
- The predicted RUL values and the RUL testing labels are used to calculate the experimental metrics.
- (c).
- The calculated metrics are employed to evaluate the performance of the proposed neural network.
4. RUL Prediction Experiment
4.1. Data Description
- (i)
- Different flight stages: The dataset covers all stages of flight, and the operating parameters such as thrust, airflow, temperature, and pressure for each stage were adjusted based on actual conditions.
- (ii)
- Environmental variables: Different environmental conditions, such as atmospheric temperature, humidity, and flight altitude, were also considered during the simulation to explore the potential impact of these external factors on engine performance.
- (iii)
- Failure modes and operational settings: Additionally, various failure modes were deliberately introduced into the simulation, and engine performance data under these failure modes were recorded. Meanwhile, different pilot operational settings, such as throttle position and flight speed, were also taken into account to enable a more comprehensive analysis of the impact of various factors on engine performance and degradation.
4.2. Data Preprocessing
4.2.1. Training Datasets
4.2.2. Testing Datasets
4.3. Experimental Setup
4.4. Experimental Metrics
4.5. Experimental Results
5. Performance Comparison and Discussion
5.1. Comparison with Other Models
5.2. Ablation Experiments for MHFCN and DMSAM
5.3. Ablation Experiments for Residual Connections within DMSAM
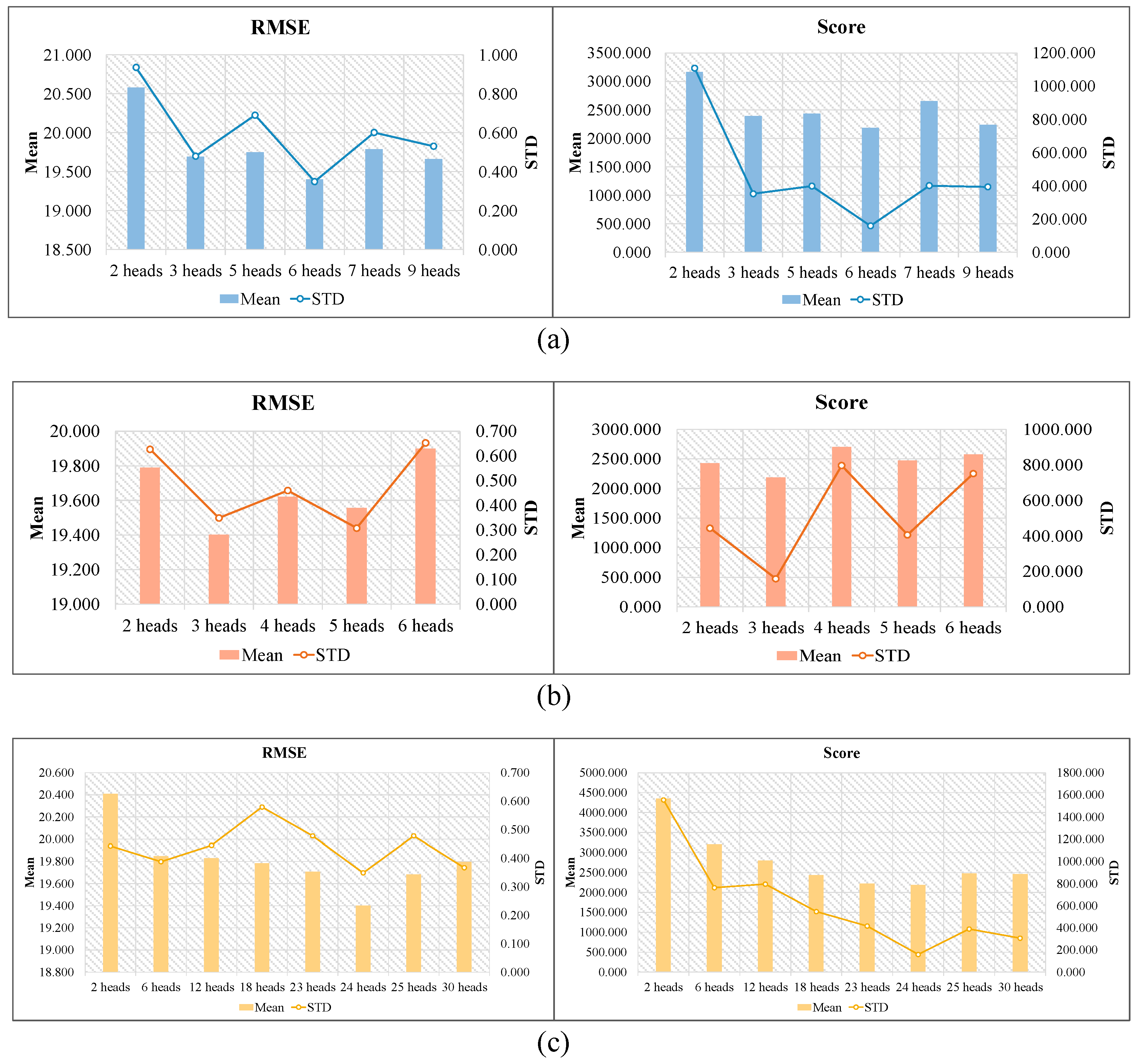
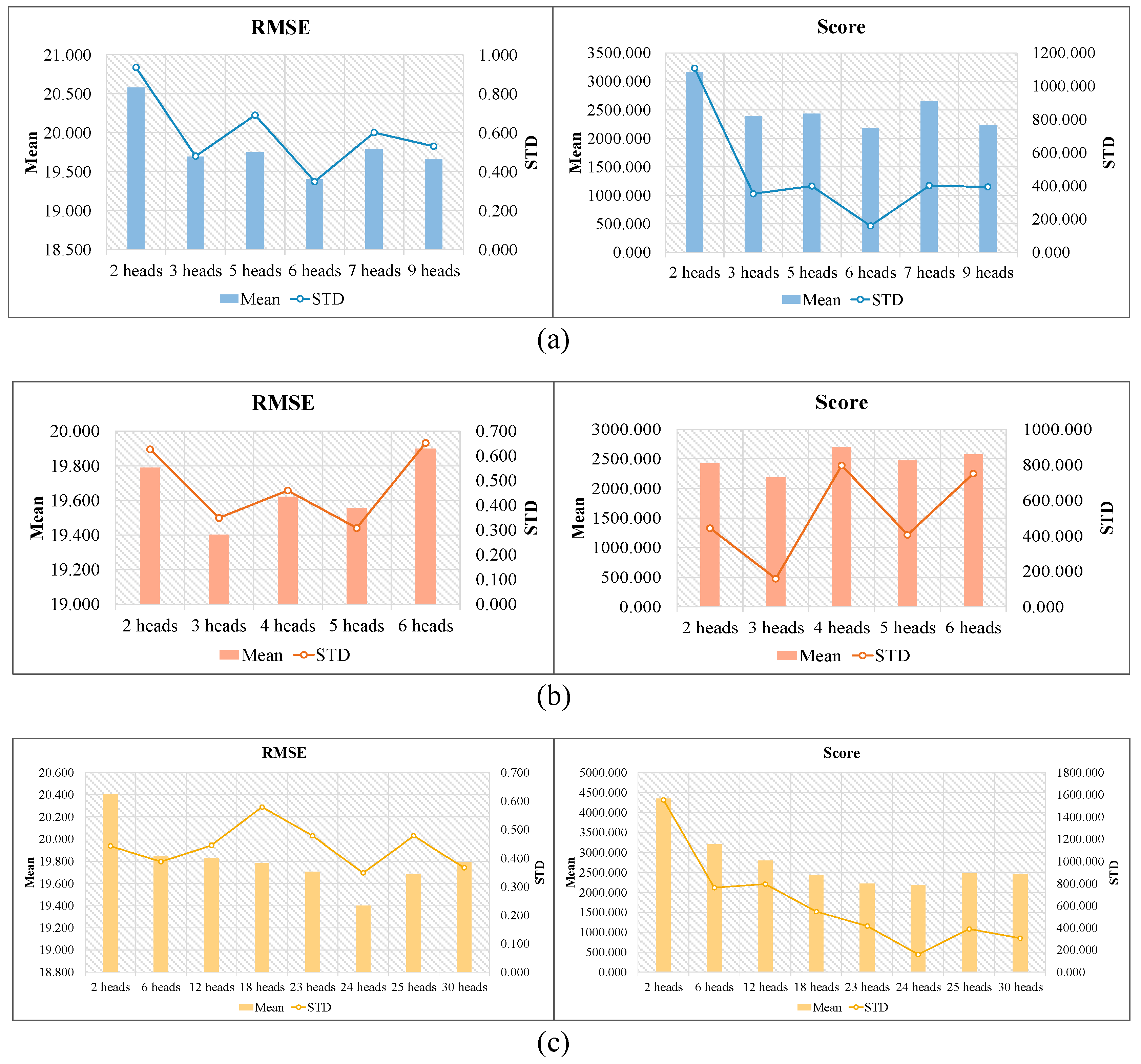
5.4. Ablation Experiments for the Multi-Head Structure
6. Conclusions
Author Contributions
Funding
Data Availability Statement
Conflicts of Interest
References
- Hu, C.; Jain, G.; Tamirisa, P.; Gorka, T. Method for predicting capacity and predicting remaining useful life of lithium-ion battery. Appl. Energy 2014, 126, 182–189. [Google Scholar] [CrossRef]
- Qian, Y.; Ya, R.; Gao, R.X. A multi-time scale approach to remaining useful life prediction in rolling bearing. Mech. Syst. Signal Process. 2017, 83, 549–567. [Google Scholar] [CrossRef]
- Thelen, A.; Li, M.; Hu, C.; Bekyarova, E.; Kalinin, S.; Sanghadasa, M. Augmented model-based framework for battery remaining useful life prediction. Appl. Energy 2022, 324, 119624. [Google Scholar] [CrossRef]
- Aye, S.; Heyns, P. An integrated Gaussian process regression for prediction of remaining useful life of slow speed bearings based on acoustic emission. Mech. Syst. Signal Process. 2017, 84, 485–498. [Google Scholar] [CrossRef]
- Benkedjouh, T.; Medjaher, K.; Zerhouni, N.; Rechak, S. Remaining useful life prediction based on nonlinear feature reduction and support vector regression. Eng. Appl. Artif. Intell. 2013, 26, 1751–1760. [Google Scholar] [CrossRef]
- Wu, D.; Jennings, C.; Terpenny, J.; Gao, R.X.; Kumara, S. A Comparative Study on Machine Learning Algorithms for Smart Manufacturing: Tool Car Prediction Using Random Forests. J. Manuf. Sci. Eng.-Trans. ASME 2017, 139, 071018. [Google Scholar] [CrossRef]
- Javed, K.; Gouriveau, R.; Zerhouni, N. A New Multivariate Approach for Prognostics Based on Extreme Learning Machine and Fuzzy Clustering. IEEE Trans. Cybern. 2015, 45, 2626–2639. [Google Scholar] [CrossRef] [PubMed]
- Yan, Y.; Luh, P.B.; Pattipati, K.R. Fault Prognosis of Key Components in HVAC Air-Handling Systems at Component and System Levels. IEEE Trans. Autom. Sci. Eng. 2020, 17, 2145–2153. [Google Scholar] [CrossRef]
- Ren, L.; Sun, Y.; Cui, J.; Zhang, L. Bearing remaining useful life prediction based on deep autoencoder and deep neural networks. J. Manuf. Syst. 2018, 48, 71–77. [Google Scholar] [CrossRef]
- Wu, Z.; Yu, S.; Zhu, X.; Ji, Y.; Pecht, M. A Weighted Deep Domain Adaptation Method for Industrial Fault Prognostics According to Prior Distribution of Complex Working Conditions. IEEE Access 2019, 7, 139802–139814. [Google Scholar] [CrossRef]
- Shi, J.; Rivera, A.; Wu, D. Battery health management using physics-informed machine learning: Online degradation modeling and remaining useful life prediction. Mech. Syst. Signal Process. 2022, 179, 109347. [Google Scholar] [CrossRef]
- Babu, G.S.; Zhao, P.; Li, X. Deep Convolutional Neural Network Based Regression Approach for Prediction of Remaining Useful Life. In Proceedings of the International Conference on Database Systems for Advanced Applications, Dallas, TX, USA, 16–19 April 2016; pp. 214–228. [Google Scholar]
- Xia, M.; Li, T.; Shu, T.; Wan, J.; de Silva, C.W.; Wang, Z. A Two-Stage Approach for the Remaining Useful Life Prediction of Bearings Using Deep Neural Networks. IEEE Trans. Ind. Inform. 2019, 15, 3703–3711. [Google Scholar] [CrossRef]
- Zheng, S.; Ristovski, K.; Farahat, A.; Gupta, C. Long Short-Term Memory Network for Remaining Useful Life prediction. In Proceedings of the 2017 IEEE International Conference on Prognostics and Health Management (ICPHM), Dallas, TX, USA, 19–21 June 2017; pp. 88–95. [Google Scholar]
- Deutsch, J.; He, D. Using Deep Learning-Based Approach to Predict Remaining Useful Life of Rotating Components. IEEE Trans. Syst. Man Cybern. Syst. 2018, 48, 11–20. [Google Scholar] [CrossRef]
- Behera, S.; Misra, R.; Sillitti, A. Multiscale deep bidirectional gated recurrent neural networks based prognostic method for complex non-linear degradation systems. Inform. Sci. 2021, 554, 120–144. [Google Scholar] [CrossRef]
- Han, T.; Wang, Z.; Meng, H. End-to-end capacity prediction of Lithium-ion batteries with an enhanced long short-term memory network considering domain adaptation. J. Power Sources 2022, 520, 230823. [Google Scholar] [CrossRef]
- Jayasinghe, L.; Samarasinghe, T.; Yuenv, C.; Low, J.C.N.; Ge, S.S. Temporal Convolutional Memory Networks for Remaining Useful Life Prediction of Industrial Machinery. In Proceedings of the 2019 IEEE International Conference on Industrial Technology (ICIT), Melbourne, Australia, 13–15 February 2019; pp. 915–920. [Google Scholar]
- Xia, T.; Song, Y.; Zheng, Y.; Pan, E.; Xi, L. An ensemble framework based on convolutional bi-directional LSTM with multiple time windows for remaining useful life prediction. Comput. Ind. 2019, 115, 103182. [Google Scholar] [CrossRef]
- Li, W.; Zhang, L.-C.; Wu, C.-H.; Wang, Y.; Cui, Z.-X.; Niu, C. A data-driven approach to RUL prediction of tools. Adv. Manuf. 2024, 12, 6–18. [Google Scholar] [CrossRef]
- Kim, G.; Choi, J.G.; Lim, S. Using transformer and a reweighting technique to develop a remaining useful life estimation method for turbofan engines. Eng. Appl. Artif. Intell. 2024, 133, 108475. [Google Scholar] [CrossRef]
- Vaswani, A.; Shazeer, N.; Parmar, N.; Uszkoreit, J.; Jones, L.; Gomez, A.N.; Kaiser, L.; Polosukhin, I. Attention is all you need. In Advances in Neural Information Processing Systems 30 (NIPS 2017); Curran Associates, Inc.: Red Hook, NY, USA, 2017; pp. 5998–6008. [Google Scholar]
- Zhou, K.; Tang, J. A wavelet neural network informed by time-domain signal preprocessing for bearing remaining useful life prediction. Appl. Math. Model. 2023, 122, 220–241. [Google Scholar] [CrossRef]
- Song, T.; Liu, C.; Wu, R.; Jin, Y.; Jiang, D. A hierarchical scheme for remaining useful life prediction with long short-term memory networks. Neurocomputing 2022, 487, 22–33. [Google Scholar] [CrossRef]
- Xiao, L.; Tang, J.; Zhang, X.; Bechhoefer, E.; Ding, S. Remaining useful life prediction based on intentional noise injection and feature reconstruction. Reliab. Eng. Syst. Saf. 2021, 215, 107871. [Google Scholar] [CrossRef]
- Li, H.; Zhao, W.; Zhang, Y.; Zio, E. Remaining useful life prediction using multi-scale deep convolutional neural network. Appl. Soft Comput. 2020, 89, 106113. [Google Scholar] [CrossRef]
- Chen, Z.; Wu, M.; Zhao, R.; Guretno, F.; Yan, R.; Li, X. Machine Remaining Useful Life Prediction via an Attention-Based Deep Learning Approach. IEEE Trans. Ind. Electron. 2021, 68, 2521–2531. [Google Scholar] [CrossRef]
- Liu, H.; Liu, Z.; Jia, W.; Lin, X. Remaining Useful Life Prediction Using a Novel Feature-Attention-Based End-to-End Approach. IEEE Trans. Ind. Inform. 2021, 17, 1197–1207. [Google Scholar] [CrossRef]
- Xiang, S.; Qin, Y.; Luo, J.; Pu, H.; Tang, B. Multicellular LSTM-based deep learning model for aero-engine remaining useful life prediction. Reliab. Eng. Syst. Saf. 2021, 216, 107927. [Google Scholar] [CrossRef]
- Wang, B.; Lei, Y.; Li, N.; Yan, T. Deep separable convolutional network for remaining useful life prediction of machinery. Mech. Syst. Signal Process. 2019, 134, 106330. [Google Scholar] [CrossRef]
- Fan, L.; Chai, Y.; Chen, X. Trend attention fully convolutional network for remaining useful life prediction. Reliab. Eng. Syst. Saf. 2022, 225, 108590. [Google Scholar] [CrossRef]
- He, K.; Zhang, X.; Ren, S.; Sun, J. Identity Mappings in Deep Residual Networks. In Computer Vision—ECCV 2016, 14th European Conference on Computer Vision, Amsterdam, The Netherlands, 11–14 October 2016; Springer: Cham, Switzerland, 2016; pp. 630–645. [Google Scholar]
- Ba, J.L.; Kiros, J.R.; Hinton, G.E. Layer Normalization. arXiv 2016, arXiv:1607.06450. [Google Scholar]
- Huber, P.J. Robust Estimation of a Location Parameter. Ann. Math. Stat. 1964, 35, 73–101. [Google Scholar] [CrossRef]
- Saxena, A.; Goebel, K.; Simon, D.; Eklund, N. Damage propagation modeling for aircraft engine run-to-failure simulation. In Proceedings of the 2008 International Conference on Prognostics and Health Management, Denver, CO, USA, 6–9 October 2008; pp. 1–9. [Google Scholar] [CrossRef]
- Heimes, F.O. Recurrent neural networks for remaining useful life estimation. In Proceedings of the 2008 International Conference on Prognostics and Health Management, Denver, CO, USA, 6–9 October 2008; pp. 1–6. [Google Scholar] [CrossRef]
- Ruan, D.; Wu, Y.; Yan, J. Remaining Useful Life Prediction for Aero-Engine Based on LSTM and CNN. In Proceedings of the 2021 33rd Chinese Control and Decision Conference (CCDC), Kunming, China, 22–24 May 2021; pp. 6706–6712. [Google Scholar]
- Xiang, S.; Qin, Y.; Luo, J.; Pu, H. Spatiotemporally Multidifferential Processing Deep Neural Network and its Application to Equipment Remaining Useful Life Prediction. IEEE Trans. Ind. Inform. 2022, 18, 7230–7239. [Google Scholar] [CrossRef]
- Zhang, J.; Jiang, Y.; Wu, S.; Li, X.; Luo, H.; Yin, S. Prediction of remaining useful life based on bidirectional gated recurrent unit with temporal self-attention mechanism. Reliab. Eng. Syst. Saf. 2022, 221, 108297. [Google Scholar] [CrossRef]
- Li, X.; Jiang, H.; Liu, Y.; Wang, T.; Li, Z. An integrated deep multiscale feature fusion network for aeroengine remaining useful life prediction with multisensor data. Knowl.-Based Syst. 2022, 235, 107652. [Google Scholar] [CrossRef]










| Sub-Datasets | FD002 | FD004 |
|---|---|---|
| Operational conditions | 6 | 6 |
| Fault modes | 1 (HPC degradation) | 2 (HPC degradation, fan degradation) |
| Training engines | 260 | 249 |
| Test engines | 259 | 248 |
| Training samples | 48,559 | 56,567 |
| Test samples | 259 | 248 |
| Number | Symbol | Brief Introduction | Unit |
|---|---|---|---|
| 2 | T24 | Total temperature at LPC outlet | |
| 3 | T30 | Total temperature at HPC outlet | |
| 4 | T50 | Total temperature at LPT outlet | |
| 7 | P30 | Total pressure at HPC outlet | psia |
| 8 | Nf | Physical fan speed | rpm |
| 9 | Nc | Physical core speed | rpm |
| 11 | Ps30 | Static pressure at HPC outlet | psia |
| 12 | phi | Ratio of fuel flow to Ps30 | pps/psi |
| 13 | NRf | Corrected fan speed | rpm |
| 14 | NRc | Corrected core speed | rpm |
| 15 | BPR | Bypass ratio | None |
| 17 | htBleed | Bleed enthalpy | None |
| 20 | W31 | HPT coolant bleed | lbm/s |
| 21 | W32 | LPT coolant bleed | lbm/s |
| DMSAM_Data | MHFCN | DMSAM_Features | MLPM |
|---|---|---|---|
| Key dimension = 8 | Filters of each layer = 14 | Key dimension = 8 | Neurons of first layer = 30 |
| Query dimension = 8 | Kernel size of each layer = 3 | Query dimension = 8 | Neurons of second layer = 17 |
| Value dimension = 8 | Layers of each head = 4 | Value dimension = 8 | Neurons of third layer = 1 |
| Number of heads = 6 | Number of heads = 3 | Number of heads = 24 | Dropout rate = 0.5 |
| Dropout rate = 0.5 | Dropout rate = 0.5 | Dropout rate = 0.5 |
| Sub-Dataset | Training | Testing | Trainable Parameters |
|---|---|---|---|
| FD002 | 4.19 s/epoch | 0.81 s | 66,311 (259.03 KB) |
| FD004 | 4.55 s/epoch | 0.82 s | 68,831 (268.87 KB) |
| Sub-Dataset | FD002 | FD004 | ||
|---|---|---|---|---|
| Mean | STD | Mean | STD | |
| RMSE | 17.165 | 0.213 | 19.401 | 0.349 |
| Score | 1395.750 | 93.024 | 2184.660 | 158.393 |
| Sub-Dataset | FD002 | FD004 | ||||
|---|---|---|---|---|---|---|
| Tested Engine | #45 | #177 | #236 | #8 | #135 | #216 |
| Actual RUL | 15 | 6 | 12 | 14 | 7 | 17 |
| Predicted RUL | 14.147 | 4.241 | 12.967 | 14.054 | 7.177 | 16.821 |
| Approach | FD002 | FD004 | Sum | Average | ||||
|---|---|---|---|---|---|---|---|---|
| RMSE | Score | RMSE | Score | RMSE | Score | RMSE | Score | |
| DSCN [30] | 20.47 | 4367.56 | 22.64 | 5168.45 | 43.11 | 9536.01 | 21.56 | 4768.01 |
| MS-DCNN [26] | 19.35 | 3747.00 | 22.22 | 4844.00 | 41.57 | 8591.00 | 20.79 | 4295.50 |
| LSTM-Attention [27] | N/A | N/A | 27.08 | 5649.14 | N/A | N/A | N/A | N/A |
| AGCNN [28] | 19.43 | 1492.00 | 21.50 | 3392.00 | 40.93 | 4884.00 | 20.47 | 2442.00 |
| LSTM-INIFR [25] | 17.72 | 1647.93 | 20.43 | 3038.84 | 38.15 | 4686.77 | 19.08 | 2343.39 |
| MCLSTM [29] | N/A | N/A | 23.81 | 4826.00 | N/A | N/A | N/A | N/A |
| Bi-level LSTM [24] | 23.14 | 3771.00 | 23.38 | 3492.00 | 46.52 | 7263.00 | 23.26 | 3631.50 |
| LSTM Model [37] | 26.48 | 4060.00 | 27.91 | 8600.00 | 54.39 | 12,660.00 | 27.20 | 6330.00 |
| SMDN [38] | N/A | N/A | 23.40 | 4302.00 | N/A | N/A | N/A | N/A |
| BiGRU-TSAM [39] | 18.94 | 2264.13 | 20.47 | 3610.34 | 39.41 | 5874.47 | 19.71 | 2937.24 |
| IDMFFN [40] | 19.17 | 1819.42 | 21.72 | 3338.34 | 40.89 | 5158.47 | 20.45 | 2579.13 |
| MSA-FCN (ours) | 17.17 | 1395.75 | 19.40 | 2184.66 | 36.57 | 3580.41 | 18.29 | 1790.21 |
| Reduction | 3.10% | 6.45% | 5.04% | 28.11% | 4.14% | 23.61% | 4.14% | 23.61% |
| Approach | FD002 | FD004 | ||
|---|---|---|---|---|
| STD (RMSE) | STD (Score) | STD (RMSE) | STD (Score) | |
| LSTM-INIFR [25] | 0.75 | 203.06 | 0.91 | 649.57 |
| MS-DCNN [26] | 0.08 | 228 | 0.14 | 365 |
| IDMFFN [40] | 0.26 | 289.59 | 0.73 | 492.9 |
| MSA-FCN (ours) | 0.21 | 93.02 | 0.35 | 158.39 |
| Approach | FD002 | FD004 |
|---|---|---|
| Training (Seconds/Epoch) | Training (Seconds/Epoch) | |
| MS-DCNN [26] | 0.73 | 1.64 |
| AGCNN [28] | 5.40 | 5.79 |
| MSA-FCN (ours) | 4.19 | 4.55 |
| Variant Model | RMSE (FD002) | Score (FD002) | RMSE (FD004) | Score (FD004) | ||||
|---|---|---|---|---|---|---|---|---|
| Mean | STD | Mean | STD | Mean | STD | Mean | STD | |
| MSA-FCN | 17.165 | 0.213 | 1395.750 | 93.024 | 19.401 | 0.349 | 2184.660 | 158.393 |
| W/O DMSAM_1 | 17.483 | 0.311 | 1452.621 | 198.692 | 19.502 | 0.596 | 2547.300 | 471.452 |
| W/O DMSAM_2 | 17.306 | 0.182 | 1494.138 | 183.418 | 20.431 | 0.562 | 3915.280 | 1501.760 |
| W/O DMSAM | 19.835 | 0.622 | 2748.581 | 539.045 | 21.632 | 0.595 | 6034.830 | 1434.710 |
| W/O MHFCN | 18.130 | 0.468 | 1412.704 | 203.923 | 20.241 | 0.336 | 3041.480 | 853.468 |
| Variant Model | RMSE (FD002) | Score (FD002) | RMSE (FD004) | Score (FD004) | ||||
|---|---|---|---|---|---|---|---|---|
| Mean | STD | Mean | STD | Mean | STD | Mean | STD | |
| MSA-FCN | 17.165 | 0.213 | 1395.750 | 93.024 | 19.401 | 0.349 | 2184.660 | 158.393 |
| TFormer Connection | 17.305 | 0.440 | 1400.253 | 93.802 | 19.282 | 0.412 | 2254.872 | 380.871 |
| Connect_1 | 17.555 | 0.670 | 1448.130 | 160.395 | 20.431 | 0.562 | 2652.390 | 535.874 |
| Connect_2 | 17.269 | 0.370 | 1375.160 | 104.910 | 19.502 | 0.596 | 2569.110 | 470.045 |
| W/O Connection | 17.733 | 0.710 | 1425.227 | 125.469 | 19.632 | 0.434 | 2555.606 | 645.774 |
| Variant Model | MSA-FCN | SSD-SHF-SSF | SSD-SHF-MSF | SSD-MHF-SSF | ||||
|---|---|---|---|---|---|---|---|---|
| Mean | STD | Mean | STD | Mean | STD | Mean | STD | |
| RMSE FD002 | 17.165 | 0.213 | 18.714 | 0.613 | 19.419 | 1.406 | 18.652 | 0.721 |
| Score FD002 | 1395.750 | 93.024 | 3371.237 | 564.548 | 3424.214 | 1780.444 | 3021.862 | 837.848 |
| RMSE FD004 | 19.401 | 0.349 | 22.906 | 1.489 | 22.942 | 2.413 | 22.793 | 1.551 |
| Score FD004 | 2184.660 | 158.393 | 9248.293 | 3430.907 | 6326.825 | 3958.429 | 9718.130 | 4987.662 |
| Variant Model | MSD-SHF-SSF | MSD-MHF-SSF | MSD-SHF-MSF | SSD-MHF-MSF | ||||
| Mean | STD | Mean | STD | Mean | STD | Mean | STD | |
| RMSE FD002 | 17.530 | 0.448 | 17.352 | 0.315 | 17.299 | 0.246 | 19.508 | 1.653 |
| Score FD002 | 1635.987 | 260.051 | 1635.596 | 195.693 | 1310.653 | 102.014 | 3002.581 | 1587.702 |
| RMSE FD004 | 20.189 | 0.481 | 20.563 | 0.611 | 20.091 | 0.410 | 22.747 | 2.363 |
| Score FD004 | 3696.677 | 764.451 | 4535.615 | 1475.615 | 2955.290 | 747.684 | 6736.500 | 3618.271 |
| Variant Model | Two Heads | Three Heads | Five Heads | |||
|---|---|---|---|---|---|---|
| Mean | STD | Mean | STD | Mean | STD | |
| RMSE (FD004) | 20.578 | 0.935 | 19.693 | 0.479 | 19.749 | 0.690 |
| Score (FD004) | 3168.767 | 1101.832 | 2391.744 | 351.663 | 2433.758 | 398.082 |
| Variant Model | Six Heads | Seven Heads | Nine Heads | |||
| Mean | STD | Mean | STD | Mean | STD | |
| RMSE (FD004) | 19.401 | 0.349 | 19.786 | 0.601 | 19.664 | 0.530 |
| Score (FD004) | 2184.660 | 158.393 | 2654.577 | 400.604 | 2233.338 | 392.941 |
| Variant Model | Two Heads | Three Heads | Five Heads | Six Heads | ||||
|---|---|---|---|---|---|---|---|---|
| Mean | STD | Mean | STD | Mean | STD | Mean | STD | |
| RMSE (FD004) | 19.790 | 0.627 | 19.401 | 0.349 | 19.556 | 0.308 | 19.900 | 0.653 |
| Score (FD004) | 2428.334 | 443.077 | 2184.660 | 158.393 | 2473.780 | 405.598 | 2576.746 | 750.688 |
| Variant Model | 2 Heads | 6 Heads | 12 Heads | 18 Heads | ||||
|---|---|---|---|---|---|---|---|---|
| Mean | STD | Mean | STD | Mean | STD | Mean | STD | |
| RMSE (FD004) | 20.409 | 0.443 | 19.847 | 0.388 | 19.931 | 0.445 | 19.784 | 0.579 |
| Score (FD004) | 4350.241 | 553.995 | 3207.318 | 762.989 | 2799.949 | 795.470 | 2432.146 | 546.375 |
| Variant Model | 23 Heads | 24 Heads | 25 Heads | 30 Heads | ||||
| Mean | STD | Mean | STD | Mean | STD | Mean | STD | |
| RMSE (FD004) | 19.707 | 0.478 | 19.401 | 0.349 | 19.683 | 0.478 | 19.794 | 0.367 |
| Score (FD004) | 2217.502 | 415.572 | 2184.660 | 158.393 | 2476.285 | 388.739 | 2459.290 | 306.164 |
Disclaimer/Publisher’s Note: The statements, opinions and data contained in all publications are solely those of the individual author(s) and contributor(s) and not of MDPI and/or the editor(s). MDPI and/or the editor(s) disclaim responsibility for any injury to people or property resulting from any ideas, methods, instructions or products referred to in the content. |
© 2024 by the authors. Licensee MDPI, Basel, Switzerland. This article is an open access article distributed under the terms and conditions of the Creative Commons Attribution (CC BY) license (https://creativecommons.org/licenses/by/4.0/).
Share and Cite
Liu, Z.; Zheng, X.; Xue, A.; Ge, M.; Jiang, A. Multi-Head Self-Attention-Based Fully Convolutional Network for RUL Prediction of Turbofan Engines. Algorithms 2024, 17, 321. https://doi.org/10.3390/a17080321
Liu Z, Zheng X, Xue A, Ge M, Jiang A. Multi-Head Self-Attention-Based Fully Convolutional Network for RUL Prediction of Turbofan Engines. Algorithms. 2024; 17(8):321. https://doi.org/10.3390/a17080321
Chicago/Turabian StyleLiu, Zhaofeng, Xiaoqing Zheng, Anke Xue, Ming Ge, and Aipeng Jiang. 2024. "Multi-Head Self-Attention-Based Fully Convolutional Network for RUL Prediction of Turbofan Engines" Algorithms 17, no. 8: 321. https://doi.org/10.3390/a17080321
APA StyleLiu, Z., Zheng, X., Xue, A., Ge, M., & Jiang, A. (2024). Multi-Head Self-Attention-Based Fully Convolutional Network for RUL Prediction of Turbofan Engines. Algorithms, 17(8), 321. https://doi.org/10.3390/a17080321

