Data-Driven Load Frequency Control for Multi-Area Power System Based on Switching Method under Cyber Attacks
Abstract
1. Introduction
- (1)
- In this paper, a data-driven load frequency control algorithm based on the switching method is proposed for a multi-area interconnected power system under DoS attack. A switching system model with two subsystems is established to represent the power system under a DoS attack with multi-area interconnection. On this basis, an MFAC algorithm for the switching system is designed.
- (2)
- In this paper, an event-triggered MFAC is developed for the LFC, and the proposed design alleviates the communication and computation burden of the system compared to existing model-free adaptive control (MFAC) methods in the reference [22]. In addition, existing MFAC system stability analyses use the shrinkage mapping technique tool. However, in this paper, stability analysis is given using the Lyapunov theory approach.
2. Problfm Formulation
2.1. Power System Model
2.2. Modeling of LFC System under DoS Attacks
2.3. Dynamic Linearization Scheme
3. Controller Design
4. Convergence Analysis
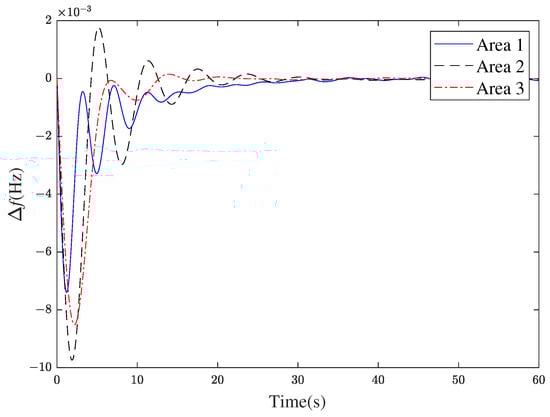
5. Simulation Example
6. Conclusions
Author Contributions
Funding
Data Availability Statement
Conflicts of Interest
References
- Bevrani, H.L. Robust power system frequency control. In Robust Power System Frequency Control; Springer: New York, NY, USA, 2014. [Google Scholar]
- Liu, Y.Z.; Chen, Y.; Li, M.T. Dynamic Event-Based Model Predictive Load Frequency Control for Power Systems under Cyber Attacks. IEEE Trans. Smart Grid 2021, 12, 715–725. [Google Scholar] [CrossRef]
- Tang, X.; Li, Y.; Yang, M.; Wu, Y.; Wen, Y. Adaptive Event-Triggered Model Predictive Load Frequency Control for Power Systems. IEEE Trans. Power Syst. 2023, 38, 4003–4014. [Google Scholar] [CrossRef]
- Shangguan, X.C.; Zhang, C.K.; He, Y.; Jin, L.; Jiang, L.; Spencer, J.W.; Wu, M. Robust Load Frequency Control for Power System Considering Transmission Delay and Sampling Period. IEEE Trans. Ind. Inform. 2021, 17, 5292–5303. [Google Scholar] [CrossRef]
- Kim, H.; Zhu, M.H.; Lian, J.M. Distributed Robust Adaptive Frequency Control of Power Systems with Dynamic Loads. IEEE Trans. Autom. Control 2020, 65, 4887–4894. [Google Scholar] [CrossRef]
- Shangguan, X.C.; He, Y.; Zhang, C.K.; Jiang, L.; Wu, M. Adjustable Event-Triggered Load Frequency Control of Power Systems Using Control Performance Standard Based Fuzzy Logic. IEEE Trans. Fuzzy Syst. 2022, 30, 3297–3311. [Google Scholar] [CrossRef]
- Yan, S.; Gu, Z.; Park, J.H.; Xie, X. Sampled Memory-Event-Triggered Fuzzy Load Frequency Control for Wind Power Systems Subject to Outliers and Transmission Delays. IEEE Trans. Cybern. 2023, 53, 4043–4053. [Google Scholar] [CrossRef]
- Li, X.H.; Ye, D. Event-Based Distributed Fuzzy Load Frequency Control for Multiarea Nonlinear Power Systems with Switching Topology. IEEE Trans. Fuzzy Syst. 2022, 30, 4262–4272. [Google Scholar] [CrossRef]
- Qiao, S.; Liu, X.; Liang, Y.; Xiao, G.; Kang, Y.; Ge, S.S. Event-Triggered Sliding Mode Load Frequency Control of Multiarea Power Systems under Periodic Denial-of-Service Attacks. IEEE Syst. J. 2023, 17, 2803–2814. [Google Scholar] [CrossRef]
- Yang, F.; Shao, X.; Muyeen, S.M.; Li, D.; Lin, S.; Fang, C. Disturbance observer based fractional-order integral sliding mode frequency control strategy for interconnected power system. IEEE Trans. Power Syst. 2008, 36, 5922–5932. [Google Scholar] [CrossRef]
- Xiong, L.Y.; Li, H.; Wang, J. LMI based robust load frequency control for time delayed power system via delay margin estimation. Int. J. Electr. Power Energy Syst. 2018, 100, 91–103. [Google Scholar] [CrossRef]
- Ojaghi, P.; Rahmani, M. LMI-Based Robust Predictive Load Frequency Control for Power Systems with Communication Delays. IEEE Trans. Power Syst. 2017, 32, 4091–4100. [Google Scholar] [CrossRef]
- Li, J.W.; Zhou, T.; Cui, H.Y. Brain-Inspired Deep Meta-Reinforcement Learning for Active Coordinated Fault-Tolerant Load Frequency Control of Multi-Area Grids. IEEE Trans. Autom. Sci. Eng. 2023, 1–13. [Google Scholar] [CrossRef]
- Yan, Z.M.; Xu, Y. Data-Driven Load Frequency Control for Stochastic Power Systems: A Deep Reinforcement Learning Method with Continuous Action Search. IEEE Trans. Power Syst. 2019, 34, 1653–1656. [Google Scholar] [CrossRef]
- Peng, C.; Li, J.C.; Fei, M.R. Resilient Event-Triggering Load Frequency Control for Multi-Area Power Systems with Energy-Limited DoS Attacks. IEEE Trans. Power Syst. 2017, 32, 4110–4118. [Google Scholar] [CrossRef]
- Hu, S.; Ge, X.; Li, Y.; Chen, X.; Xie, X.; Yue, D. Resilient Load Frequency Control of Multi-Area Power Systems under DoS Attacks. IEEE Trans. Inf. Forensics Secur. 2023, 18, 936–947. [Google Scholar] [CrossRef]
- Wang, X.; Ding, D.; Ge, X.; Dong, H. Neural-Network-Based Control with Dynamic Event-Triggered Mechanisms under DoS Attacks and Applications in Load Frequency Control. IEEE Trans. Circuits Syst. Regul. Pap. 2022, 69, 5312–5324. [Google Scholar] [CrossRef]
- Shangguan, X.C.; He, Y.; Zhang, C.K.; Yao, W.; Zhao, Y.; Jiang, L.; Wu, M. Resilient load frequency control of power systems to compensate random time delays and time-delay attacks. IEEE Trans. Ind. Electron. 2022, 70, 5115–5128. [Google Scholar] [CrossRef]
- Jin, L.; He, Y.; Zhang, C.K.; Jiang, L.; Yao, W.; Wu, M. Delay-dependent stability of load frequency control with adjustable computation accuracy and complexity. Control Eng. Pract. 2023, 135, 105518. [Google Scholar] [CrossRef]
- Shangguan, X.C.; He, Y.; Zhang, C.K.; Jin, L.; Yao, W.; Jiang, L.; Wu, M. Control performance standards-oriented event-triggered load frequency control for power systems under limited communication bandwidth. IEEE Trans. Control Syst. Technol. 2021, 30, 860–868. [Google Scholar] [CrossRef]
- ShangGuan, X.C.; He, Y.; Zhang, C.K.; Jin, L.; Jiang, L.; Wu, M.; Spencer, J.W. Switching system-based load frequency control for multi-area power system resilient to denial-of-service attacks. Control Eng. Pract. 2021, 107, 104678. [Google Scholar] [CrossRef]
- Hou, Z.S.; Chi, R.H.; Gao, H.J. An Overview of Dynamic-Linearization-Based Data-Driven Control and Applications. IEEE Trans. Ind. Electron. 2017, 64, 4076–4090. [Google Scholar] [CrossRef]
- Qi, Y.; Zhao, X.; Huang, J. Data-driven event-triggered control for switched systems based on neural network disturbance compensation. Neurocomputing 2022, 490, 370–379. [Google Scholar] [CrossRef]
- Ye, J.X.; Xie, L.R.; Wang, H.W. Model-Free Adaptive Ouasi Sliding Mode Control for Non-uniformly Sampled Systems. Electron. Opt. Control 2023, 30, 35–41. [Google Scholar]
- Bu, X.; Yu, W.; Cui, L.; Hou, Z.; Chen, Z. Event-Triggered Data-Driven Load Frequency Control for Multiarea Power Systems. IEEE Trans. Ind. Inform. 2022, 18, 5982–5991. [Google Scholar] [CrossRef]












| Symbolic | Meaning |
|---|---|
| Frequency deviation | |
| The amount of mechanical power variation in the generator | |
| The governor increases the power | |
| The governor increases the power | |
| Governor time constant | |
| Synchronous coefficient of tie line | |
| Prime mover time constant | |
| Equivalent inertia coefficient | |
| Load disturbance | |
| Equivalent damping coefficient | |
| Equivalent damping coefficient | |
| Frequency deviation factor | |
| Control input |
| Parameters | Area 1 | Area 2 | Area 3 |
|---|---|---|---|
| 1.0 | 1.5 | 1.8 | |
| s) | 10 | 12 | 12 |
| 0.05 | 0.05 | 0.05 | |
| s | 0.30 | 0.17 | 0.20 |
| s | 0.37 | 4 | 0.35 |
| Control Program | IAE | ITAE |
|---|---|---|
| SSMFAC | 0.00014845 | 0.00078395 |
| ET-SSMFAC | 0.00015734 | 0.00083537 |
| PI | 0.00016796 | 0.0017093 |
Disclaimer/Publisher’s Note: The statements, opinions and data contained in all publications are solely those of the individual author(s) and contributor(s) and not of MDPI and/or the editor(s). MDPI and/or the editor(s) disclaim responsibility for any injury to people or property resulting from any ideas, methods, instructions or products referred to in the content. |
© 2024 by the authors. Licensee MDPI, Basel, Switzerland. This article is an open access article distributed under the terms and conditions of the Creative Commons Attribution (CC BY) license (https://creativecommons.org/licenses/by/4.0/).
Share and Cite
Tian, G.; Wang, F. Data-Driven Load Frequency Control for Multi-Area Power System Based on Switching Method under Cyber Attacks. Algorithms 2024, 17, 233. https://doi.org/10.3390/a17060233
Tian G, Wang F. Data-Driven Load Frequency Control for Multi-Area Power System Based on Switching Method under Cyber Attacks. Algorithms. 2024; 17(6):233. https://doi.org/10.3390/a17060233
Chicago/Turabian StyleTian, Guangqiang, and Fuzhong Wang. 2024. "Data-Driven Load Frequency Control for Multi-Area Power System Based on Switching Method under Cyber Attacks" Algorithms 17, no. 6: 233. https://doi.org/10.3390/a17060233
APA StyleTian, G., & Wang, F. (2024). Data-Driven Load Frequency Control for Multi-Area Power System Based on Switching Method under Cyber Attacks. Algorithms, 17(6), 233. https://doi.org/10.3390/a17060233
