Simultaneous Calibration of European Option Volatility and Fractional Order under the Time Fractional Vasicek Model
Abstract
1. Introduction
2. Pricing Formula under the Time Fractional Vasicek Model
3. Regularization Method
3.1. Existence of Solutions to Optimization Problems
3.2. ADMM Algorithm
- −
- Step 1: minimization with repect to :
- −
- Step 2: minimization with repect to :
- −
- Step 3: update the Lagrange multiplier:where is the step size.
| Algorithm 1: Particle Swarm Optimization (PSO) |
![]() |
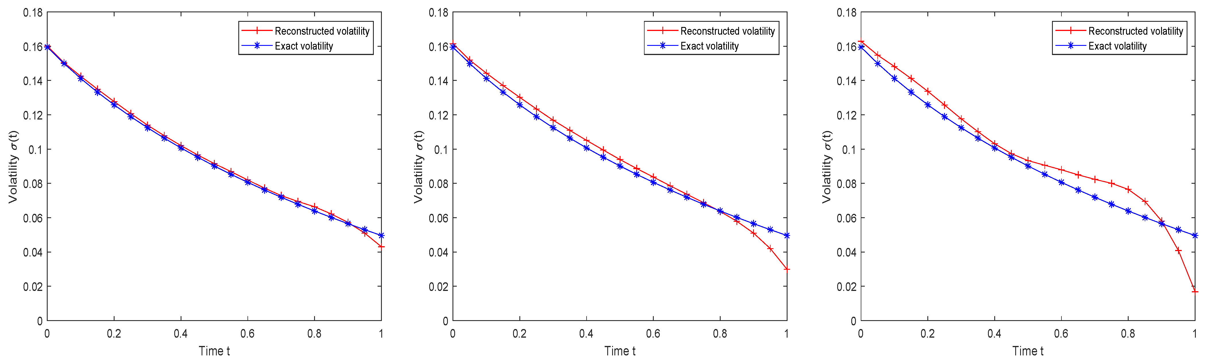
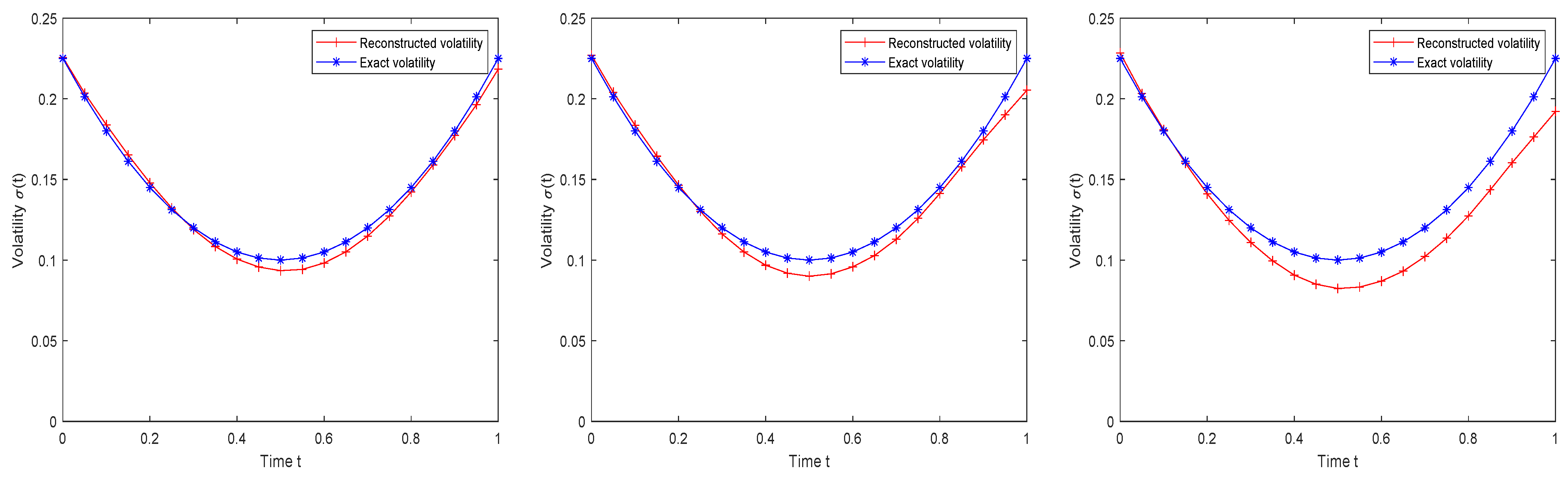
4. Numerical Experiments
4.1. Numerical Simulation
4.2. Empirical Analysis
5. Conclusions
Author Contributions
Funding
Data Availability Statement
Conflicts of Interest
References
- Black, F.; Scholes, M. The pricing of options and corporate liabilities. J. Political Econ. 1973, 81, 637–654. [Google Scholar] [CrossRef]
- Cox, J.C. The constant elasticity of variance option pricing model. J. Portf. Manag. 1996, 23, 15–17. [Google Scholar] [CrossRef]
- Cox, J.C.; Ingersoll, J.E., Jr.; Ross, S.A. A Theory of the Term Structure of Interest Rates, 2nd ed.; World Scientific: Singapore, 2005. [Google Scholar]
- Vasicek, O. An equilibrium characterization of the term structure. J. Financ. Econ. 1977, 5, 177–188. [Google Scholar] [CrossRef]
- Yao, K.; Liang, Y.S.; Zhang, F. On the connection between the order of the fractional derivative and the Hausdorff dimension of a fractal function. Chaos Soliton Fract. 2009, 41, 2538–2545. [Google Scholar] [CrossRef]
- Sene, N. Fractional model for a class of diffusion-reaction equation represented by the fractional-order derivative. Fractal Fract. 2020, 4, 15. [Google Scholar] [CrossRef]
- Cruz-Duarte, J.M.; Rosales-Garcia, J.; Correa-Cely, C.R.; Garcia-Perez, A.; Avina-Cervantes, J.G. A closed form expression for the Gaussian-based Caputo-Fabrizio fractional derivative for signal processing applications. Commun. Nonlinear Sci. 2018, 61, 138–148. [Google Scholar] [CrossRef]
- Nourian, F.; Lakestani, M.; Sabermahani, S.; Ordokhani, Y. Touchard wavelet technique for solving time-fractional Black-Scholes model. Comput. Appl. Math. 2022, 41, 150. [Google Scholar] [CrossRef]
- Roul, P. Design and analysis of a high order computational technique for time-fractional Black-Scholes model describing option pricing. Math. Method Appl. Sci. 2022, 45, 5592–5611. [Google Scholar] [CrossRef]
- Chen, C.; Wang, Z.; Yang, Y. A new operator splitting method for American options under fractional Black-Scholes models. Comput. Math. Appl. 2019, 77, 2130–2144. [Google Scholar] [CrossRef]
- Cao, J.; Li, C. Finite difference scheme for the time-space fractional diffusion equations. Open Phys. 2013, 11, 1440–1456. [Google Scholar] [CrossRef]
- Li, C.; Chen, A.; Ye, J. Numerical approaches to fractional calculus and fractional ordinary differential equation. J. Comput. Phys. 2011, 230, 3352–3368. [Google Scholar] [CrossRef]
- Gao, G.; Sun, Z.; Zhang, H. A new fractional numerical differentiation formula to approximate the Caputo fractional derivative and its applications. J. Comput. Phys. 2014, 259, 33–50. [Google Scholar] [CrossRef]
- Alikhanov, A.A. A new difference scheme for the time fractional diffusion equation. J. Comput. Phys. 2015, 280, 424–438. [Google Scholar] [CrossRef]
- Cao, J.; Xu, C.; Wang, Z. A High Order Finite Difference/Spectral Approximations to the Time Fractional Diffusion Equations. Adv. Mater. Res. 2014, 875, 781785. [Google Scholar] [CrossRef]
- Cao, J.; Li, C.; Chen, Y.Q. High-order approximation to Caputo derivatives and Caputo-type advection-diffusion equations (II). Adv. Mater. Res. 2015, 18, 735–761. [Google Scholar] [CrossRef]
- Mokhtari, R.; Mostajeran, F. A High Order Formula to Approximate the Caputo Fractional Derivative. Com. Appl. Math. Comput. 2020, 2, 1–29. [Google Scholar] [CrossRef]
- Li, D.; Wu, C.; Zhang, Z. Linearized Galerkin FEMs for nonlinear time fractional parabolic problems with non-smooth solutions in time direction. J. Sci. Comput. 2019, 80, 403–419. [Google Scholar] [CrossRef]
- Zhang, H.; Zeng, F.; Jiang, X.; Karniadakis, G.E. Convergence analysis of the time-stepping numerical methods for time-fractional nonlinear subdiffusion equations. Fract. Calc. Appl. Anal. 2022, 25, 453–487. [Google Scholar] [CrossRef]
- Yuan, W.; Zhang, C.; Li, D. Linearized fast time-stepping schemes for time-space fractional Schrödinger equations. Phys. D 2023, 454, 133865. [Google Scholar] [CrossRef]
- Zhang, H.; Jiang, X. Convergence analysis of a fast second-order time-stepping numerical method for two-dimensional nonlinear time-space fractional Schrödinger equation. Numer. Methods Partial Differ. Equations 2023, 39, 657–677. [Google Scholar] [CrossRef]
- Dupire, B. Pricing with a smile. Risk 1994, 7, 525–546. [Google Scholar]
- Xu, Z.; Jia, X. The calibration of volatility for option pricing models with jump diffusion processes. Appl. Anal. 2019, 98, 810–827. [Google Scholar] [CrossRef]
- Jiang, L.; Chen, Q.; Wang, L.; Zhang, J. A new well-posed algorithm to recover implied local volatility. Quant. Financ. 2003, 3, 451. [Google Scholar] [CrossRef]
- Li, S.; Zhou, Z. Legendre pseudo-spectral method for optimal control problem governed by a time-fractional diffusion equation. Int. J. Comput. Math. 2017, 95, 1308–1325. [Google Scholar] [CrossRef]
- Zhao, J.; Xu, Z. Simultaneous identification of volatility and mean-reverting parameter for European option under fractional CKLS model. Fractal Fract. 2022, 6, 344. [Google Scholar] [CrossRef]
- Yimamu, Y.; Deng, Z. Convergence of Inverse Volatility Problem Based on Degenerate Parabolic Equation. Mathematics 2022, 10, 2608. [Google Scholar] [CrossRef]
- Jiang, L.; Li, C. Mathematical Modeling and Methods of Option Pricing, 1st ed.; World Scientific: Singapore, 2005. [Google Scholar]
- Zhang, H.; Liu, F.; Turner, I.; Yang, Q. Numerical solution of the time fractional black-scholes model governing European options. Comput. Math. Appl. 2016, 71, 1772–1783. [Google Scholar] [CrossRef]
- Tikhonov, A.N. On the solution of ill-posed problems and the method of regularization. Russ. Acad. Sci. 1963, 151, 501–504. [Google Scholar]
- Lagnado, R.; Osher, S. A technique for calibrating derivative security pricing models: Numerical solution of an inverse problem. J. Comput. Financ. 1997, 1, 13–25. [Google Scholar] [CrossRef]
- Kharrat, M.; Arfaoui, H. A new stabled relaxation method for pricing European options under the time-fractional Vasicek model. Comput. Econ. 2023, 61, 1745–1763. [Google Scholar] [CrossRef]






| RMSE | |||||
|---|---|---|---|---|---|
| 9.4106 × | 9.4772 × | 1.836 × | 0.700 | 1.07 × | |
| 9.8816 × | 0.0026 | 6.565 × | 0.700 | 1.249 × | |
| 9.9998 × | 0.0052 | 1.9694 × | 0.697 | 9.465 × | |
| 1.0000 × | 0.0090 | 3.2824 × | 0.696 | 1.309 × |
| 9.9770 × | 0.0030 | 4.621 × | 0.364 | 2.855 × | |
| 9.9975 × | 0.0044 | 7.820 × | 0.367 | 5.162 × | |
| 9.9999 × | 0.0073 | 1.9694 × | 0.372 | 1.9478 × | |
| 4.8906 × | 0.0156 | 3.2824 × | 0.359 | 3.4620 × |
| K | ||||
|---|---|---|---|---|
| 0.0021 | 0.0099 | 0.0255 | 0.0411 | |
| 0.0060 | 0.0189 | 0.0391 | 0.0569 | |
| 0.0177 | 0.0353 | 0.0578 | 0.0759 | |
| 0.0421 | 0.0588 | 0.0816 | 0.0986 | |
| 0.0796 | 0.0902 | 0.1107 | 0.1241 | |
| 0.1241 | 0.1290 | 0.1442 | 0.1542 | |
| 0.1712 | 0.1714 | 0.1827 | 0.1885 | |
| 0.2206 | 0.2182 | 0.2238 | 0.2256 | |
| 0.2695 | 0.2651 | 0.2668 | 0.2648 | |
| 0.3191 | 0.3145 | 0.3140 | 0.3092 |
| 9.9351 × | 0.120 | 1.810 × |
Disclaimer/Publisher’s Note: The statements, opinions and data contained in all publications are solely those of the individual author(s) and contributor(s) and not of MDPI and/or the editor(s). MDPI and/or the editor(s) disclaim responsibility for any injury to people or property resulting from any ideas, methods, instructions or products referred to in the content. |
© 2024 by the authors. Licensee MDPI, Basel, Switzerland. This article is an open access article distributed under the terms and conditions of the Creative Commons Attribution (CC BY) license (https://creativecommons.org/licenses/by/4.0/).
Share and Cite
Du, Y.; Xu, Z. Simultaneous Calibration of European Option Volatility and Fractional Order under the Time Fractional Vasicek Model. Algorithms 2024, 17, 54. https://doi.org/10.3390/a17020054
Du Y, Xu Z. Simultaneous Calibration of European Option Volatility and Fractional Order under the Time Fractional Vasicek Model. Algorithms. 2024; 17(2):54. https://doi.org/10.3390/a17020054
Chicago/Turabian StyleDu, Yunkang, and Zuoliang Xu. 2024. "Simultaneous Calibration of European Option Volatility and Fractional Order under the Time Fractional Vasicek Model" Algorithms 17, no. 2: 54. https://doi.org/10.3390/a17020054
APA StyleDu, Y., & Xu, Z. (2024). Simultaneous Calibration of European Option Volatility and Fractional Order under the Time Fractional Vasicek Model. Algorithms, 17(2), 54. https://doi.org/10.3390/a17020054


