Detection of Irrigated and Non-Irrigated Soybeans Using Hyperspectral Data in Machine-Learning Models
Abstract
1. Introduction
2. Materials and Methods
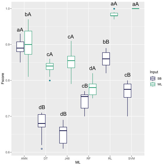
3. Results
4. Discussion
5. Conclusions
Author Contributions
Funding
Data Availability Statement
Conflicts of Interest
References
- Bornhofen, E.; Benin, G.; Galvan, D.; Flores, M.F. Épocas de Semeadura e Desempenho Qualitativo de Sementes de Soja. Pesqui. Agropecu. Trop. 2015, 45, 46–55. [Google Scholar] [CrossRef][Green Version]
- Mertz-Henning, L.M.; Ferreira, L.C.; Henning, F.A.; Mandarino, J.M.G.; Santos, E.D.; Oliveira, M.C.N.D.; Nepomuceno, A.L.; Farias, J.R.B.; Neumaier, N. Effect of Water Deficit-Induced at Vegetative and Reproductive Stages on Protein and Oil Content in Soybean Grains. Agronomy 2017, 8, 3. [Google Scholar] [CrossRef]
- Soba Hidalgo, D.; Arrese-Igor Sánchez, C.; Aranjuelo Michelena, I. Additive Effects of Heatwave and Water Stresses on Soybean Seed Yield Is Caused by Impaired Carbon Assimilation at Pod Formation but Not at Flowering. Plant Sci. 2022, 321, 111320. [Google Scholar] [CrossRef] [PubMed]
- Wijewardana, C.; Reddy, K.R.; Krutz, L.J.; Gao, W.; Bellaloui, N. Drought Stress Has Transgenerational Effects on Soybean Seed Germination and Seedling Vigor. PLoS ONE 2019, 14, e0214977. [Google Scholar] [CrossRef] [PubMed]
- RRodrigues, S.A.; Peiter, M.X.; Robaina, A.D.; Bruning, J.; Piroli, J.D.; Gollo, E.D.A. Oil Content and Economic Water Productivity of Soybean Cultivars under Different Water Availability Conditions. Ciência Rural 2022, 53, e20210836. [Google Scholar] [CrossRef]
- Kumar, L.; Schmidt, K.; Dury, S.; Skidmore, A. Imaging Spectrometry and Vegetation Science. In Imaging Spectrometry: Basic Principles and Prospective Applications; Springer: Berlin/Heidelberg, Germany, 2001; pp. 111–155. [Google Scholar]
- Zhu, L.; Suomalainen, J.; Liu, J.; Hyyppä, J.; Kaartinen, H.; Haggren, H. A Review: Remote Sensing Sensors. In Multi-Purposeful Application of Geospatial Data; IntechOpen: Rijeka, Croatia, 2018; pp. 19–42. [Google Scholar]
- Santana, D.C.; Cotrim, M.F.; Flores, M.S.; Baio, F.H.R.; Shiratsuchi, L.S.; da Silva Junior, C.A.; Teodoro, L.P.R.; Teodoro, P.E. UAV-Based Multispectral Sensor to Measure Variations in Corn as a Function of Nitrogen Topdressing. Remote Sens. Appl. 2021, 23, 100534. [Google Scholar] [CrossRef]
- Karakatič, S.; Podgorelec, V. Improved Classification with Allocation Method and Multiple Classifiers. Inf. Fusion 2016, 31, 26–42. [Google Scholar] [CrossRef]
- Santana, D.C.; Teodoro, L.P.R.; Baio, F.H.R.; dos Santos, R.G.; Coradi, P.C.; Biduski, B.; da Silva Junior, C.A.; Teodoro, P.E.; Shiratsuchi, L.S. Classification of Soybean Genotypes for Industrial Traits Using UAV Multispectral Imagery and Machine Learning. Remote Sens. Appl. 2023, 29, 100919. [Google Scholar] [CrossRef]
- Wei, Y.; Li, X.; Pan, X.; Li, L. Nondestructive Classification of Soybean Seed Varieties by Hyperspectral Imaging and Ensemble Machine Learning Algorithms. Sensors 2020, 20, 6980. [Google Scholar] [CrossRef]
- de Medeiros, A.D.; Capobiango, N.P.; da Silva, J.M.; da Silva, L.J.; da Silva, C.B.; dos Santos Dias, D.C.F. Interactive Machine Learning for Soybean Seed and Seedling Quality Classification. Sci. Rep. 2020, 10, 11267. [Google Scholar] [CrossRef]
- Gava, R.; Santana, D.C.; Cotrim, M.F.; Rossi, F.S.; Teodoro, L.P.R.; da Silva Junior, C.A.; Teodoro, P.E. Soybean Cultivars Identification Using Remotely Sensed Image and Machine Learning Models. Sustainability 2022, 14, 7125. [Google Scholar] [CrossRef]
- dos Santos, H.G.; JACOMINE, P.K.T.; Dos Anjos, L.H.C.; De Oliveira, V.A.; Lumbreras, J.F.; Coelho, M.R.; De Almeida, J.A.; de Araujo Filho, J.C.; De Oliveira, J.B.; Cunha, T.J.F. Sistema Brasileiro de Classificação de Solos; Embrapa: Brasília, DF, Brazil, 2018; ISBN 8570358172. [Google Scholar]
- Allen, R.G. Crop Evapotranspiration. FAO Irrig. Drain. Pap. 1998, 56, 60–64. [Google Scholar]
- da Silva Junior, C.A.; Nanni, M.R.; Shakir, M.; Teodoro, P.E.; de Oliveira-Júnior, J.F.; Cezar, E.; de Gois, G.; Lima, M.; Wojciechowski, J.C.; Shiratsuchi, L.S. Soybean Varieties Discrimination Using Non-Imaging Hyperspectral Sensor. Infrared Phys. Technol. 2018, 89, 338–350. [Google Scholar] [CrossRef]
- Gregori, G.S.D.; de Souza Loureiro, E.; Amorim Pessoa, L.G.; Azevedo, G.B.D.; Azevedo, G.T.D.O.S.; Santana, D.C.; Oliveira, I.C.D.; Oliveira, J.L.G.D.; Teodoro, L.P.R.; Baio, F.H.R. Machine Learning in the Hyperspectral Classification of Glycaspis brimblecombei (Hemiptera Psyllidae) Attack Severity in Eucalyptus. Remote Sens. 2023, 15, 5657. [Google Scholar] [CrossRef]
- Bouckaert, R.R.; Frank, E.; Hall, M.; Kirkby, R.; Reutemann, P.; Seewald, A.; Scuse, D. WEKA Manual for Version 3-7-3; The University of WAIKATO: Hamilton, New Zealand, 2010; Volume 327. [Google Scholar]
- Song, G.; Wang, Q. Species Classification from Hyperspectral Leaf Information Using Machine Learning Approaches. Ecol. Inform. 2023, 76, 102141. [Google Scholar] [CrossRef]
- Hennessy, A.; Clarke, K.; Lewis, M. Hyperspectral Classification of Plants: A Review of Waveband Selection Generalisability. Remote Sens. 2020, 12, 113. [Google Scholar] [CrossRef]
- Omeer, A.A.; Deshmukh, R.R. Improving the Classification of Invasive Plant Species by Using Continuous Wavelet Analysis and Feature Reduction Techniques. Ecol. Inform. 2021, 61, 101181. [Google Scholar] [CrossRef]
- Nakaji, T.; Oguma, H.; Nakamura, M.; Kachina, P.; Asanok, L.; Marod, D.; Aiba, M.; Kurokawa, H.; Kosugi, Y.; Kassim, A.R. Estimation of Six Leaf Traits of East Asian Forest Tree Species by Leaf Spectroscopy and Partial Least Square Regression. Remote Sens. Environ. 2019, 233, 111381. [Google Scholar] [CrossRef]
- Staniak, M.; Księżak, J.; Bojarszczuk, J.; Feledyn-Szewczyk, B. Gas Exchange Parameters in Red Cover (Trifolium pratense L.) and Festulolium (Festulolium braunii (K. Richt) A. Camus) under Drought Stress. Appl. Ecol. Environ. Res. 2019, 17, 213–230. [Google Scholar] [CrossRef]
- Khan, M.J.; Khan, H.S.; Yousaf, A.; Khurshid, K.; Abbas, A. Modern Trends in Hyperspectral Image Analysis: A Review. IEEE Access 2018, 6, 14118–14129. [Google Scholar] [CrossRef]
- Sperry, J.S.; Love, D.M. What Plant Hydraulics Can Tell Us about Responses to Climate-change Droughts. New Phytol. 2015, 207, 14–27. [Google Scholar] [CrossRef] [PubMed]
- Dong, Z. A Primary Discussion on High Velocity of Plant Transpiration. Chin. Agric. Sci. Bull. 2010, 26, 131–135. [Google Scholar]
- Ma, X.; He, Q.; Zhou, G. Sequence of Changes in Maize Responding to Soil Water Deficit and Related Critical Thresholds. Front. Plant Sci. 2018, 9, 511. [Google Scholar] [CrossRef] [PubMed]
- Blum, A.; Blum, A. Plant Water Relations, Plant Stress and Plant Production. In Plant Breeding for Water-Limited Environments; Springer: Berlin/Heidelberg, Germany, 2011; pp. 11–52. [Google Scholar]
- Pinheiro, C.; Chaves, M.M. Photosynthesis and Drought: Can We Make Metabolic Connections from Available Data? J. Exp. Bot. 2011, 62, 869–882. [Google Scholar] [CrossRef]
- El-Hendawy, S.E.; Al-Suhaibani, N.A.; Elsayed, S.; Hassan, W.M.; Dewir, Y.H.; Refay, Y.; Abdella, K.A. Potential of the Existing and Novel Spectral Reflectance Indices for Estimating the Leaf Water Status and Grain Yield of Spring Wheat Exposed to Different Irrigation Rates. Agric. Water Manag. 2019, 217, 356–373. [Google Scholar] [CrossRef]
- Junttila, S.; Hölttä, T.; Saarinen, N.; Kankare, V.; Yrttimaa, T.; Hyyppä, J.; Vastaranta, M. Close-Range Hyperspectral Spectroscopy Reveals Leaf Water Content Dynamics. Remote Sens. Environ. 2022, 277, 113071. [Google Scholar] [CrossRef]
- Crusiol, L.G.T.; Sun, L.; Sun, Z.; Chen, R.; Wu, Y.; Ma, J.; Song, C. In-Season Monitoring of Maize Leaf Water Content Using Ground-Based and UAV-Based Hyperspectral Data. Sustainability 2022, 14, 9039. [Google Scholar] [CrossRef]
- Ronay, I.; Ephrath, J.E.; Eizenberg, H.; Blumberg, D.G.; Maman, S. Hyperspectral Reflectance and Indices for Characterizing the Dynamics of Crop–Weed Competition for Water. Remote Sens. 2021, 13, 513. [Google Scholar] [CrossRef]
- Sims, D.A.; Gamon, J.A. Estimation of Vegetation Water Content and Photosynthetic Tissue Area from Spectral Reflectance: A Comparison of Indices Based on Liquid Water and Chlorophyll Absorption Features. Remote Sens. Environ. 2003, 84, 526–537. [Google Scholar] [CrossRef]
- Santana, D.C.; de Queiroz Otone, J.D.; Baio, F.H.R.; Teodoro, L.P.R.; Alves, M.E.M.; da Silva Junior, C.A.; Teodoro, P.E. Machine Learning in the Classification of Asian Rust Severity in Soybean Using Hyperspectral Sensor. Spectrochim. Acta Part A Mol. Biomol. Spectrosc. 2024, 313, 124113. [Google Scholar] [CrossRef]
- de Queiroz Otone, J.D.; Theodoro, G.D.F.; Santana, D.C.; Teodoro, L.P.R.; de Oliveira, J.T.; de Oliveira, I.C.; da Silva Junior, C.A.; Teodoro, P.E.; Baio, F.H.R. Hyperspectral Response of the Soybean Crop as a Function of Target Spot (Corynespora cassiicola) Using Machine Learning to Classify Severity Levels. AgriEngineering 2024, 6, 330–343. [Google Scholar] [CrossRef]
- Poornima, S.; Kavitha, S.; Mohanavalli, S.; Sripriya, N. Detection and Classification of Diseases in Plants Using Image Processing and Machine Learning Techniques. AIP Conf. Proc. 2019, 2095, 030018. [Google Scholar]
- Srunitha, K.; Padmavathi, S. Performance of SVM Classifier for Image Based Soil Classification. In Proceedings of the 2016 International Conference on Signal Processing, Communication, Power and Embedded System (SCOPES), Paralakhemundi, India, 3–5 October 2016; pp. 411–415. [Google Scholar]
- Shailendra, R.; Jayapalan, A.; Velayutham, S.; Baladhandapani, A.; Srivastava, A.; Kumar Gupta, S.; Kumar, M. An IoT and Machine Learning Based Intelligent System for the Classification of Therapeutic Plants. Neural Process. Lett. 2022, 54, 4465–4493. [Google Scholar] [CrossRef]
- Kan, H.X.; Jin, L.; Zhou, F.L. Classification of Medicinal Plant Leaf Image Based on Multi-Feature Extraction. Pattern Recognit. Image Anal. 2017, 27, 581–587. [Google Scholar] [CrossRef]
- Britz, R.; Barta, N.; Klingler, A.; Schaumberger, A.; Bauer, A.; Pötsch, E.M.; Gronauer, A.; Motsch, V. Hyperspectral-Based Classification of Managed Permanent Grassland with Multilayer Perceptrons: Influence of Spectral Band Count and Spectral Regions on Model Performance. Agriculture 2022, 12, 579. [Google Scholar] [CrossRef]
- Narkhede, M.V.; Bartakke, P.P.; Sutaone, M.S. A Review on Weight Initialization Strategies for Neural Networks. Artif. Intell. Rev. 2022, 55, 291–322. [Google Scholar] [CrossRef]
- Huixian, J. The Analysis of Plants Image Recognition Based on Deep Learning and Artificial Neural Network. IEEE Access 2020, 8, 68828–68841. [Google Scholar] [CrossRef]
- García-Martínez, H.; Flores-Magdaleno, H.; Ascencio-Hernández, R.; Khalil-Gardezi, A.; Tijerina-Chávez, L.; Mancilla-Villa, O.R.; Vázquez-Peña, M.A. Corn Grain Yield Estimation from Vegetation Indices, Canopy Cover, Plant Density, and a Neural Network Using Multispectral and RGB Images Acquired with Unmanned Aerial Vehicles. Agriculture 2020, 10, 277. [Google Scholar] [CrossRef]
- Abraham, E.R.; Mendes dos Reis, J.G.; Vendrametto, O.; Oliveira Costa Neto, P.L.D.; Carlo Toloi, R.; Souza, A.E.D.; Oliveira Morais, M.D. Time Series Prediction with Artificial Neural Networks: An Analysis Using Brazilian Soybean Production. Agriculture 2020, 10, 475. [Google Scholar] [CrossRef]







Disclaimer/Publisher’s Note: The statements, opinions and data contained in all publications are solely those of the individual author(s) and contributor(s) and not of MDPI and/or the editor(s). MDPI and/or the editor(s) disclaim responsibility for any injury to people or property resulting from any ideas, methods, instructions or products referred to in the content. |
© 2024 by the authors. Licensee MDPI, Basel, Switzerland. This article is an open access article distributed under the terms and conditions of the Creative Commons Attribution (CC BY) license (https://creativecommons.org/licenses/by/4.0/).
Share and Cite
Oliveira, I.C.d.; Gava, R.; Santana, D.C.; Seron, A.C.d.S.C.; Teodoro, L.P.R.; Cotrim, M.F.; Santos, R.G.d.; Alvarez, R.d.C.F.; Junior, C.A.d.S.; Baio, F.H.R.; et al. Detection of Irrigated and Non-Irrigated Soybeans Using Hyperspectral Data in Machine-Learning Models. Algorithms 2024, 17, 542. https://doi.org/10.3390/a17120542
Oliveira ICd, Gava R, Santana DC, Seron ACdSC, Teodoro LPR, Cotrim MF, Santos RGd, Alvarez RdCF, Junior CAdS, Baio FHR, et al. Detection of Irrigated and Non-Irrigated Soybeans Using Hyperspectral Data in Machine-Learning Models. Algorithms. 2024; 17(12):542. https://doi.org/10.3390/a17120542
Chicago/Turabian StyleOliveira, Izabela Cristina de, Ricardo Gava, Dthenifer Cordeiro Santana, Ana Carina da Silva Cândido Seron, Larissa Pereira Ribeiro Teodoro, Mayara Favero Cotrim, Regimar Garcia dos Santos, Rita de Cássia Félix Alvarez, Carlos Antonio da Silva Junior, Fábio Henrique Rojo Baio, and et al. 2024. "Detection of Irrigated and Non-Irrigated Soybeans Using Hyperspectral Data in Machine-Learning Models" Algorithms 17, no. 12: 542. https://doi.org/10.3390/a17120542
APA StyleOliveira, I. C. d., Gava, R., Santana, D. C., Seron, A. C. d. S. C., Teodoro, L. P. R., Cotrim, M. F., Santos, R. G. d., Alvarez, R. d. C. F., Junior, C. A. d. S., Baio, F. H. R., & Teodoro, P. E. (2024). Detection of Irrigated and Non-Irrigated Soybeans Using Hyperspectral Data in Machine-Learning Models. Algorithms, 17(12), 542. https://doi.org/10.3390/a17120542

