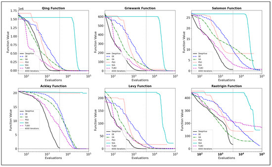
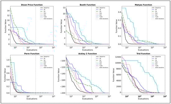
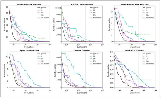
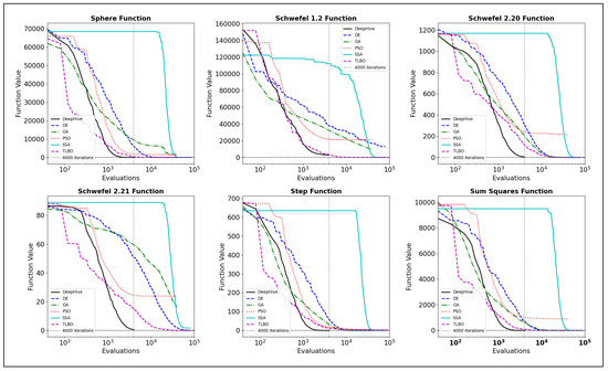
Deephive: A Reinforcement Learning Approach for Automated Discovery of Swarm-Based Optimization Policies
Abstract
Share and Cite
Ikponmwoba, E.; Owoyele, O. Deephive: A Reinforcement Learning Approach for Automated Discovery of Swarm-Based Optimization Policies. Algorithms 2024, 17, 500. https://doi.org/10.3390/a17110500
Ikponmwoba E, Owoyele O. Deephive: A Reinforcement Learning Approach for Automated Discovery of Swarm-Based Optimization Policies. Algorithms. 2024; 17(11):500. https://doi.org/10.3390/a17110500
Chicago/Turabian StyleIkponmwoba, Eloghosa, and Opeoluwa Owoyele. 2024. "Deephive: A Reinforcement Learning Approach for Automated Discovery of Swarm-Based Optimization Policies" Algorithms 17, no. 11: 500. https://doi.org/10.3390/a17110500
APA StyleIkponmwoba, E., & Owoyele, O. (2024). Deephive: A Reinforcement Learning Approach for Automated Discovery of Swarm-Based Optimization Policies. Algorithms, 17(11), 500. https://doi.org/10.3390/a17110500

