Degree-Constrained Minimum Spanning Hierarchies in Graphs
Abstract
1. Introduction
2. Notations and Definitions
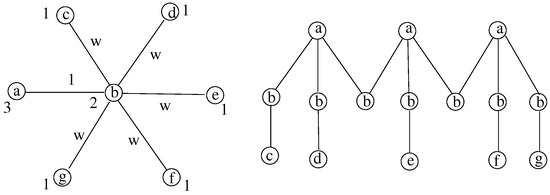
Hierarchies
3. Degree-Constrained Spanning Problems
- budget-like constraints: in this case, the total number of adjacent nodes of the constrained node is limited,
- capacity-like constraints: the number of adjacent nodes is limited for each occurrence of the node.
3.1. Minimum Spanning Trees Under Budget-Like Degree Constraints
3.2. Minimum Spanning Problem Under Capacity-Like Degree Constraints
4. Necessary and Sufficient Conditions for the Existence of a Solution
5. Algorithm Design
5.1. Exact Solution
5.1.1. Verification for the Existence
- (1)
- At first, it is checked that there is no node separated in itself. If there is at least one node in s.t. all its neighbors are also in , it is isolated.
- (2)
- cannot correspond to any separator in G. After removing from G, the number of connected components is calculated. If it is greater than 1, there is a separator and the solution does not exist.
- (3)
- If there is a single node and , there is no solution.
- (4)
- If and the nodes in are in , there is no solution.
5.1.2. Creation of a Digraph
- (1)
- At first, each edge of G is replaced by two arcs, one in each direction and having the same cost as the edge.
- (2)
- A node s is selected as the source of flows. (in the computation a set of flows will be used, one flow to each destination from s)
- (3)
- Potential simplifications of the digraph are possible. If , it can have only one successor and its incoming arcs can be deleted. The other nodes in can have only incoming arcs. Their outgoing arcs can be deleted.
5.1.3. Computation of the Image of the Solution
| : Integer variable. It is equal to the number of occurrences of | |
| arc in the resulted hierarchy. | |
| : Commodity flow variable. It denotes the quantity of flow | |
| transiting on arc . |
5.1.4. Reconstruction of the Optimal Hierarchy
5.2. A Heuristic
5.2.1. A Lower Bound
- Delete the nodes in .
- Compute an MST in the remaining graph.
- Reconnect the nodes in to the MST using the best cost adjacent edges.
- An MSTSL is created.
- The MSTSL is decomposed into a set of edge-disjoint stars.
- A degree-constrained spanning hierarchy with low cost is computed in each star.
- Finally, these spanning hierarchies are connected to form a unique hierarchy spanning the MSTSL. (cf. Figure 6).
5.2.2. Decomposition of the MSTSL into a Set of Edge-Disjoint Stars
5.2.3. Computation of a Degree-Constrained Hierarchy Spanning a Star
- If , the star itself satisfies the degree constraint; there is nothing to do.
- If and there are more than two leaves with degree bound one in S and there is no node with a degree bound greater than two, there is no solution (cf. Theorem 1).
- Otherwise, we propose to cover S by a set of connected, degree constrained small stars.
5.2.4. The Connection of the Hierarchies
6. Approximations
6.1. Case of
6.2. Case of
6.3. Case of
7. Results, Evaluation of the Solutions
7.1. Materials and Methods
Parameter Settings
7.2. Discussion
7.2.1. Effect of the Degree Bounds
7.2.2. Effect of the Edge Costs
7.2.3. Varying the Size of the Graphs
8. Conclusions and Perspectives
Funding
Data Availability Statement
Conflicts of Interest
References
- Deo, N.; Hakimi, S. The shortest generalized Hamiltonian tree. In Proceedings of the Sixth Annual Allerton Conference, Monticello, IL, USA, 2–4 October 1968; pp. 879–888. [Google Scholar]
- Boldon, B.; Deo, N.; Kumar, N. Minimum-Weight Degree-Constrained Spanning Tree Problem: Heuristics and Implementation on an SIMD Parallel Machine. Parallel Comput. 1996, 22, 369–382. [Google Scholar] [CrossRef]
- Ravi, R.; Marathe, M.V.; Ravi, S.S.; Rosenkrantz, D.J.; Iii, H.B.H. Approximation algorithms for degree-constrained minimum-cost network-design problems. Algorithmica 2001, 31, 58–78. [Google Scholar] [CrossRef][Green Version]
- Mukherjee, B. Optical WDM Networks (Optical Networks); Springer: Berlin/Heidelberg, Germany, 2006; pp. 26–27. [Google Scholar]
- Ali, M.; Deogun, J. Cost-effective implementation of multicasting in wavelength-routed networks. IEEE J. Light. Technol. Spec. Issue Opt. Netw. 2000, 18, 1628–1638. [Google Scholar] [CrossRef]
- Molnár, M.; Durand, S.; Merabet, M. Approximation of the Degree-Constrained Minimum Spanning Hierarchies. In Proceedings of the SIROCCO, Takayama, Japan, 23–25 July 2014; pp. 96–107. [Google Scholar]
- Garey, M.R.; Johnson, D.S. Computers and Intractability: A Guide to the Theory of NP-Completeness; W. H. Freeman & Co.: New York, NY, USA, 1979. [Google Scholar]
- Cieslik, D. The vertex degrees of minimum spanning trees. Eur. J. Oper. Res. 2000, 125, 278–282. [Google Scholar] [CrossRef]
- Könemann, J.; Ravi, R. A Matter of Degree: Improved Approximation Algorithms for Degree-Bounded Minimum Spanning Trees. SIAM J. Comput. 2002, 31, 1783–1793. [Google Scholar] [CrossRef]
- Könemann, J.; Ravi, R. Primal-Dual Meets Local Search: Approximating MSTs With Nonuniform Degree Bounds. SIAM J. Comput. 2005, 34, 763–773. [Google Scholar] [CrossRef]
- Ravi, R. Matching Based Augmentations for Approximating Connectivity Problems. In Proceedings of the 7th Latin American Symposium on Theoretical Informatics (LATIN’06), Valdivia, Chile, 20–24 March 2006; pp. 13–24. [Google Scholar]
- Ravi, R.; Singh, M. Delegate and Conquer: An LP-Based Approximation Algorithm for Minimum Degree MSTs. In Proceedings of the ICALP, Venice, Italy, 10–14 July 2006; pp. 169–180. [Google Scholar]
- Singh, M.; Lau, L.C. Approximating minimum bounded degree spanning trees to within one of optimal. In Proceedings of the STOC ’07: Proceedings of the Thirty-Ninth Annual ACM Symposium on Theory of Computing, San Diego, CA, USA, 11–13 June 2007; pp. 661–670. [Google Scholar] [CrossRef]
- Fürer, M.; Raghavachari, B. Approximating the minimum-degree Steiner tree to within one of optimal. J. Algorithms 1994, 17, 409–423. [Google Scholar] [CrossRef]
- Russo, L.M.S.; Teixeira, A.S.; Francisco, A.P. Linking and Cutting Spanning Trees. Algorithms 2018, 11, 53. [Google Scholar] [CrossRef]
- Gao, X.; Jia, L. Degree-constrained minimum spanning tree problem with uncertain edge weights. Appl. Soft Comput. 2017, 56, 580–588. [Google Scholar] [CrossRef]
- Merabet, M.; Molnár, M.; Durand, S. ILP formulation of the degree-constrained minimum spanning hierarchy problem. J. Comb. Optim. 2018, 36, 789–811. [Google Scholar] [CrossRef]
- Singh, M.; Zenklusen, R. k-Trails: Recognition, Complexity, and Approximations. In Integer Programming and Combinatorial Optimization; Louveaux, Q., Skutella, M., Eds.; Springer: Liège, Belgium, 1–3 June 2016; pp. 114–125. [Google Scholar]
- Egawa, Y.; Matsuda, H.; Yamashita, T.; Yoshimoto, K. On a Spanning Tree with Specified Leaves. Graphs Comb. 2008, 24, 13–18. [Google Scholar] [CrossRef]
- Albert, R.; Barabási, A.L. Statistical mechanics of complex networks. Rev. Mod. Phys. 2002, 74, 47–97. [Google Scholar] [CrossRef]
- Mehlhorn, K.; Näher, S. LEDA: A Platform for Combinatorial and Geometric Computing; Cambridge University Press: Cambridge, MA, USA, 1999. [Google Scholar]
- Cplex, I.I. V12. 1: User’s Manual for CPLEX. Int. Bus. Mach. Corp. 2009, 46, 157. [Google Scholar]








| : undirected graph given by node set V and edge set E | |
| : edge between nodes n and m | |
| : cost associated with the edge | |
| : degree of the node in G | |
| : degree bound of (positive integer) | |
| M | : the highest degree bound in V |
| : the subset of nodes with degree bound m | |
| : tree with node set P and edge set F | |
| : hierarchy defined by a homomorphic function h | |
| between tree T and graph G | |
| : the set of nodes in P (in T) corresponding to | |
| : i-th occurrence of in a hierarchy (in ) | |
| : directed graph, equivalent to G, two arcs and | |
| correspond to the edge of G | |
| : the set of predecessor nodes at the node a in | |
| : the set of successor nodes at the node a in |
| Dmax | |V1| | |AG′A| | nb(H) | nb(T) | c(MSTSL) | c(Heur) | c(DCMSH) | c(DCMST) |
|---|---|---|---|---|---|---|---|---|
| 3 | 34.06 | 613.06 | 86 | 50 | 150.116 | 201.151 | 178.43 | 181.8 |
| 4 | 25.14 | 689.67 | 96 | 96 | 142.188 | 180.656 | 153.802 | 156.979 |
| 5 | 19.29 | 751.69 | 100 | 100 | 136.61 | 166.21 | 143.63 | 144.66 |
| 6 | 17.1 | 768.76 | 100 | 100 | 134.19 | 157.54 | 139.32 | 139.9 |
| 7 | 14.01 | 797.2 | 99 | 99 | 131.778 | 149.162 | 135.273 | 135.657 |
| 8 | 12.9 | 807.07 | 100 | 100 | 131.05 | 145.46 | 133.8 | 134.12 |
| 9 | 11.54 | 822.09 | 100 | 100 | 130.39 | 144.9 | 132.9 | 133.09 |
| 10 | 9.92 | 835.36 | 99 | 99 | 130.162 | 140.222 | 132.061 | 132.172 |
| 11 | 9.12 | 841.31 | 100 | 100 | 128.51 | 139.73 | 130.42 | 130.54 |
| 12 | 8.32 | 849.74 | 100 | 100 | 127.17 | 135.76 | 128.67 | 128.76 |
| Cmax | |EG′A| | dupl | nb(H) | nb(T) | c(MSTSL) | c(Heur) | c(DCMSH) | c(DCMST) |
|---|---|---|---|---|---|---|---|---|
| 1 | 100.725 | 1.242 | 91 | 57 | 99 | 144.176 | 101.143 | 99 |
| 2 | 102.349 | 1.542 | 83 | 57 | 104.675 | 141.265 | 111.458 | 109.088 |
| 3 | 105.556 | 2.044 | 90 | 63 | 116.5 | 154.589 | 132.644 | 132.746 |
| 4 | 107.536 | 2.369 | 84 | 53 | 132.417 | 174.774 | 155.643 | 158.585 |
| 5 | 108.837 | 2.5 | 92 | 55 | 147.804 | 194.859 | 176.652 | 181.709 |
| 6 | 109.209 | 2.813 | 91 | 61 | 165.934 | 220.824 | 197.593 | 206.541 |
| 7 | 108.965 | 3.012 | 85 | 63 | 180.365 | 240.624 | 215.153 | 228.381 |
| 8 | 110.022 | 3.198 | 91 | 61 | 199.56 | 264.835 | 240.495 | 259.279 |
| 9 | 109.683 | 3.598 | 82 | 54 | 219.646 | 290.707 | 263.268 | 283.13 |
| M | |E| | |V1| | |EG′A| | nb(H) | nb(T) | c(MSTSL) | c(Heur) | c(DCMSH) | c(DCMST) |
|---|---|---|---|---|---|---|---|---|---|
| 80 | 364.5 | 20.14 | 543.69 | 97 | 97 | 113.381 | 146.34 | 122.124 | 124.351 |
| 90 | 414.71 | 22.16 | 625.29 | 98 | 98 | 125.673 | 159.673 | 135.408 | 137.969 |
| 100 | 463.67 | 24.98 | 694.83 | 97 | 96 | 139.897 | 177.093 | 150.351 | 152.802 |
| 110 | 513.32 | 27.62 | 768.61 | 98 | 98 | 153.735 | 195.276 | 165.847 | 168.888 |
| 120 | 562.41 | 29.21 | 849.71 | 98 | 98 | 167.571 | 211.327 | 180.347 | 183.306 |
| 130 | 612.35 | 33.19 | 912.57 | 97 | 97 | 182.34 | 231.216 | 196.505 | 200.412 |
| 140 | 661.74 | 35.55 | 990.49 | 94 | 94 | 211.351 | 265.606 | 227.915 | 232.457 |
| 160 | 760.62 | 40.5 | 1139.45 | 98 | 97 | 223.867 | 283.52 | 241.643 | 246.649 |
| 170 | 810.81 | 42.95 | 1212.8 | 96 | 96 | 236.906 | 304.094 | 257.229 | 262.969 |
Disclaimer/Publisher’s Note: The statements, opinions and data contained in all publications are solely those of the individual author(s) and contributor(s) and not of MDPI and/or the editor(s). MDPI and/or the editor(s) disclaim responsibility for any injury to people or property resulting from any ideas, methods, instructions or products referred to in the content. |
© 2024 by the author. Licensee MDPI, Basel, Switzerland. This article is an open access article distributed under the terms and conditions of the Creative Commons Attribution (CC BY) license (https://creativecommons.org/licenses/by/4.0/).
Share and Cite
Molnar, M. Degree-Constrained Minimum Spanning Hierarchies in Graphs. Algorithms 2024, 17, 467. https://doi.org/10.3390/a17100467
Molnar M. Degree-Constrained Minimum Spanning Hierarchies in Graphs. Algorithms. 2024; 17(10):467. https://doi.org/10.3390/a17100467
Chicago/Turabian StyleMolnar, Miklos. 2024. "Degree-Constrained Minimum Spanning Hierarchies in Graphs" Algorithms 17, no. 10: 467. https://doi.org/10.3390/a17100467
APA StyleMolnar, M. (2024). Degree-Constrained Minimum Spanning Hierarchies in Graphs. Algorithms, 17(10), 467. https://doi.org/10.3390/a17100467
