An Energy-Aware Load Balancing Method for IoT-Based Smart Recycling Machines Using an Artificial Chemical Reaction Optimization Algorithm
Abstract
:1. Introduction
- Applying an artificial chemical reaction optimization for the load balancing of IoT-based smart recycling machines;
- Improving the imbalance degree improvement in IoT-based smart recycling machines;
- Reducing the energy consumption and delay time in IoT-based smart recycling machines.
2. Related Works
3. System Model and Problem Definition
4. Methodology
4.1. Proposed Method
4.1.1. The Basic Concept of the Chemical Reaction Optimization Algorithm
4.1.2. Chemical Reaction Optimization Algorithm
- Step 1: Initialization of algorithm and problem parameters.
- Step 2: Evaluation and regulation of primary reactants.
- Step 3: Applying chemical reactions.
- Step 4: Reactants update.
- Step 5: Check the terms and criteria of termination.
- Initialization of algorithm and problem parameters
- B.
- Evaluation and regulation of primary reactants
- C.
- Applying chemical reactions
- ➢
- Bimolecular reactions: In a bimolecular reaction, the reactants R1 and R2 are engaged. The sorts of bimolecular reaction processes employed in the synthetic chemistry algorithm are discussed in the subsequent sections. For reaction actions, string encoding is equivalent to binary encoding. The artificial chemical reaction optimization technique uses mutation and crossover types.
- ➢
- ➢
- Displacement reaction: Two new reactants are shown as , wherewhen this reaction is conducted, , and = 2.3 ∗ td is elevated by 1 (see Figure 8).
- ➢
- Redox2 reaction: If R1 is the reactant with a better objective function then,where =
- D.
- Monomolecular reactions
- ➢
- Decomposition reaction: R = (r1, ..., ri, ..., rn) illustrated the reactant and ri [li, ui] is an atom or an attribute that will act as a part of a monomolecular reaction. This molecule’s novel atom or a distinct attribute ri’ is a random value from the domain [li, ui] (see Figure 9).
- ➢
- Redox1 Reaction: = where under the conditions that the initial and that {0.0, 0.25, 0.5, 0.75, 1.0} and t is elevated by 1 when this reaction is carried out.
- ➢
- Reactants update: The chemical equilibrium test is carried out at this point. If the newly generated reactants’ function values are better, new reactants are added to the set, and the worse reactants, similar to reversible reactions, are removed.
4.1.3. Load Balance
5. Results for Evaluating the Proposed Method
5.1. Simulation Tool
5.2. Simulation Parameters
5.3. Experiment Results
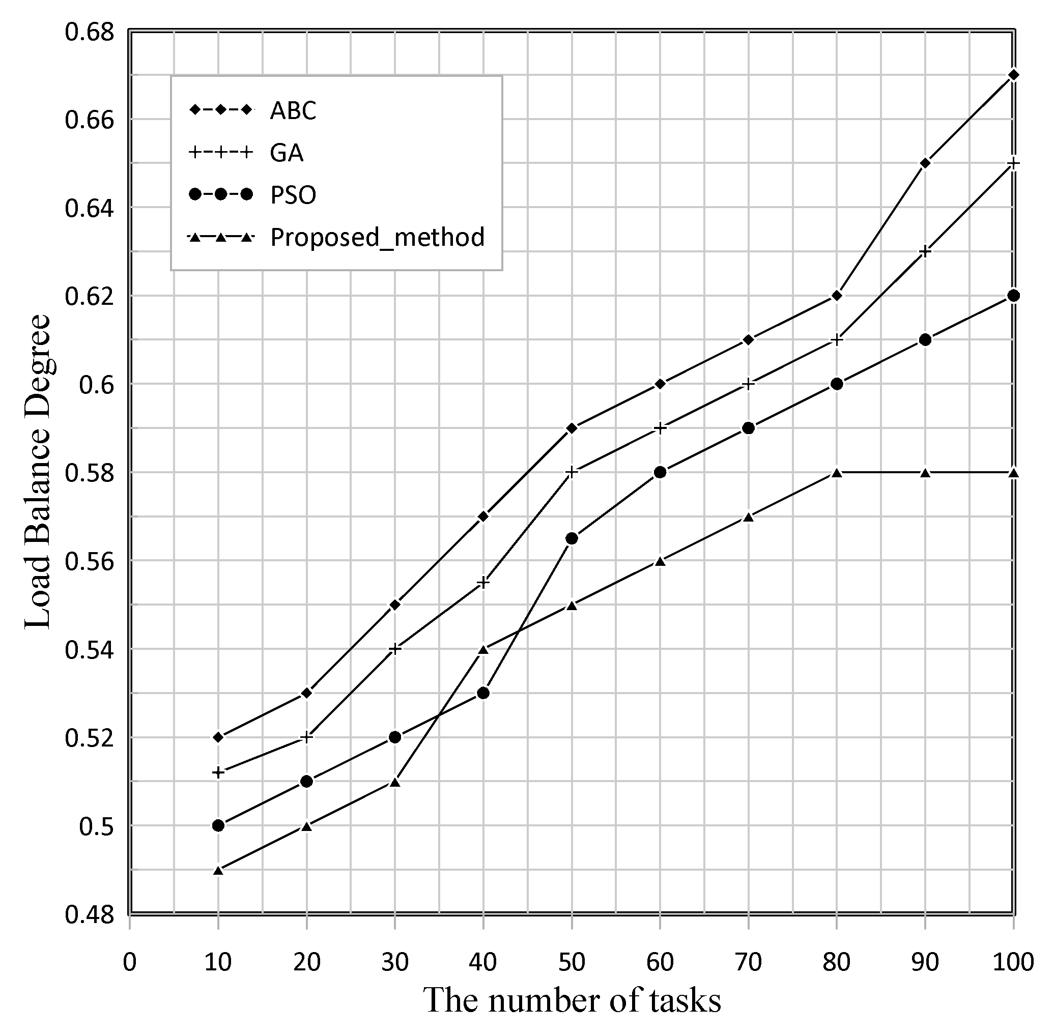
- Load Balance Degree
- Energy consumption
- Delay time
6. Conclusions and Future Work
Author Contributions
Funding
Data Availability Statement
Conflicts of Interest
References
- Lai, Y.-Y.; Yeh, L.-H.; Chen, P.-F.; Sung, P.-H.; Lee, Y.-M. Management and Recycling of Construction Waste in Taiwan. Procedia Environ. Sci. 2016, 35, 723–730. [Google Scholar] [CrossRef]
- Zhang, Y.; Fu, J.; Shu, J.; Xie, M.; Zhou, F.; Liu, J.; Zeng, D. A numerical investigation of the effect of natural gas substitution ratio (NGSR) on the in-cylinder chemical reaction and emissions formation process in natural gas (NG)-diesel dual fuel engine. J. Taiwan Inst. Chem. Eng. 2019, 105, 85–95. [Google Scholar] [CrossRef]
- Lau, S.C. Smart Recycling Bin using IoT. 2018. Available online: http://dspace.cityu.edu.hk/handle/2031/9002 (accessed on 9 December 2022).
- Torkayesh, A.E.; Simic, V. Stratified hybrid decision model with constrained attributes: Recycling facility location for urban healthcare plastic waste. Sustain. Cities Soc. 2021, 77, 103543. [Google Scholar] [CrossRef]
- Aguru, A.D.; Babu, E.S.; Nayak, S.R.; Sethy, A.; Verma, A. Integrated Industrial Reference Architecture for Smart Healthcare in Internet of Things: A Systematic Investigation. Algorithms 2022, 15, 309. [Google Scholar] [CrossRef]
- Saha, H.N.; Auddy, S.; Pal, S.; Kumar, S.; Pandey, S.; Singh, R.; Singh, A.K.; Banerjee, S.; Ghosh, D.; Saha, S. Waste management using internet of things (iot). In Proceedings of the 2017 8th Annual Industrial Automation and Electromechanical Engineering Conference (IEMECON), Bangkok, Thailand, 16–18 August 2017. [Google Scholar]
- Aggarwal, V.K.; Sharma, N.; Kaushik, I.; Bhushan, B. Integration of Blockchain and IoT (B-IoT): Architecture, Solutions, & Future Research Direction. IOP Conf. Ser. Mater. Sci. Eng. 2021, 1022, 012103. [Google Scholar]
- Li, C.H.; Mak, S.L.; Tang, W.F.; Wu, M.Y.; Lam, S.K. Development of IoT-based Smart Recycling Machine to collect the wasted Non-woven Fabric Face Mask (NFM). In Proceedings of the 2020 IEEE International Symposium on Product Compliance Engineering-Asia (ISPCE-CN), Chongqing, China, 6–8 November 2020. [Google Scholar]
- Ruiz-Zafra, A.; Benghazi, K.; Noguera, M. IFC+: Towards the integration of IoT into early stages of building design. Autom. Constr. 2022, 136, 104129. [Google Scholar] [CrossRef]
- Rehman, A.; Ma, H.; Ahmad, M.; Irfan, M.; Traore, O.; Chandio, A.A. Towards environmental Sustainability: Devolving the influence of carbon dioxide emission to population growth, climate change, Forestry, livestock and crops production in Pakistan. Ecol. Indic. 2021, 125, 107460. [Google Scholar] [CrossRef]
- Jiang, Y.; Gu, P.; Chen, Y.; He, D.; Mao, Q. Modelling household travel energy consumption and CO2 emissions based on the spatial form of neighborhoods and streets: A case study of Jinan, China. Comput. Environ. Urban Syst. 2019, 77, 101134. [Google Scholar] [CrossRef]
- Milan, S.T.; Rajabion, L.; Ranjbar, H.; Navimipour, N.J. Nature inspired meta-heuristic algorithms for solving the load-balancing problem in cloud environments. Comput. Oper. Res. 2019, 110, 159–187. [Google Scholar] [CrossRef]
- Kaushik, A.; Vidyarthi, D.P. An energy-efficient reliable grid scheduling model using NSGA-II. Eng. Comput. 2015, 32, 355–376. [Google Scholar] [CrossRef]
- Jain, N.; Chana, I. Cloud Load Balancing Techniques: A Step Towards Green Computing. Int. J. Comput. Sci. Issues 2012, 9, 238–246. [Google Scholar]
- Ao, H.; Cheng, J.; Yang, Y.; Truong, T.K. The support vector machine parameter optimization method based on artificial chemical reaction optimization algorithm and its application to roller bearing fault diagnosis. J. Vib. Control. 2013, 21, 2434–2445. [Google Scholar] [CrossRef]
- Sangaiah, A.K.; Javadpour, A.; Ja’Fari, F.; Zhang, W.; Khaniabadi, S.M. Hierarchical Clustering Based on Dendrogram in Sustainable Transportation Systems. IEEE Trans. Intell. Transp. Syst. 2022, 1–16. [Google Scholar] [CrossRef]
- Javadpour, A.; Sangaiah, A.K.; Pinto, P.; Ja’Fari, F.; Zhang, W.; Abadi, A.M.H.; Ahmadi, H. An Energy-optimized Embedded load balancing using DVFS computing in Cloud Data centers. Comput. Commun. 2023, 197, 255–266. [Google Scholar] [CrossRef]
- Suddul, G.; Soobhen, N.N. An Energy Efficient and Low Cost Smart Recycling Bin. Int. J. Comput. Appl. 2018, 180, 18–22. [Google Scholar] [CrossRef]
- Harjoseputro, Y.; Julianto, E.; Handarkho, Y.D.; Ritonga, Y.I.T. Design and implementation of smart waste recycling bin for the household environment based on IoT. Sens. Rev. 2020, 40, 657–663. [Google Scholar] [CrossRef]
- González-Briones, A.; Chamoso, P.; Casado-Vara, R.; Rivas, A.; Omatu, S.; Corchado, J.M. Internet of Things Platform to Encourage Recycling in a Smart Cit; Elsevier Inc.: Amsterdam, The Netherlands, 2019. [Google Scholar]
- Angani, A.; Lee, J.C.; Shin, K.J. Vertical Recycling Aquatic System for Internet-of-Things-based Smart Fish Farm. Sens. Mater. 2019, 31, 3987. [Google Scholar] [CrossRef]
- Mao, J.; Liu, R.; Zhang, X. Research on smart surveillance system of Internet of Things of straw recycling process based on optimizing genetic algorithm. J. Intell. Fuzzy Syst. 2019, 37, 4717–4723. [Google Scholar] [CrossRef]
- Ramasamy, D.; Thiagarajah, S.P.; Pillay, S. I-Bin: Weight Based IoT Smart Recycling Scheduler for Guarded Neighbourhood. J. Eng. Technol. Appl. Phys. 2020, 2, 1–6. [Google Scholar] [CrossRef]
- Reuter, M.A.; Boin, U.; Rem, P.; Yang, Y.; Fraunholcz, N.; Van Schaik, A. The optimization of recycling: Integrating the resource, technological, and life cycles. JOM 2004, 56, 33–37. [Google Scholar] [CrossRef]
- Suriya Praba, T.; Pooja Laxmi, S.; Sethukarasi, T.; Harshitha, R.D.; Venkatesh, V. Green IoT (G-IoT): An Insight on Green Computing for Greening the Future. In Advances in Greener Energy Technologies; Bhoi, A., Sherpa, K., Kalam, A., Chae, G.S., Eds.; Springer: Singapore, 2020; pp. 579–600. [Google Scholar]
- Sethi, P.; Sarangi, S.R. Internet of Things: Architectures, Protocols, and Applications. J. Electr. Comput. Eng. 2017, 2017, 9324035. [Google Scholar] [CrossRef]
- Pourghebleh, B.; Hayyolalam, V. A comprehensive and systematic review of the load balancing mechanisms in the Internet of Things. Clust. Comput. 2019, 23, 641–661. [Google Scholar] [CrossRef]
- Vahdat, S. The role of IT-based technologies on the management of human resources in the COVID-19 era. Kybernetes 2021, 51, 2065–2088. [Google Scholar] [CrossRef]
- Chien, W.-C.; Lai, C.-F.; Cho, H.-H.; Chao, H.-C. A SDN-SFC-based service-oriented load balancing for the IoT applications. J. Netw. Comput. Appl. 2018, 114, 88–97. [Google Scholar] [CrossRef]
- Lam, A.Y.S.; Li, V.O.K. Chemical-reaction-inspired metaheuristic for optimization. IEEE Trans. Evol. Comput. 2009, 14, 381–399. [Google Scholar] [CrossRef]
- Han, T.; Ponduru, S.A.; Reka, A.; Huang, J.; Sant, G.; Kumar, A. Predicting Dissolution Kinetics of Tricalcium Silicate Using Deep Learning and Analytical Models. Algorithms 2022, 16, 7. [Google Scholar] [CrossRef]
- Khattab, H.; Mahafzah, B.A.; Sharieh, A. A hybrid algorithm based on modified chemical reaction optimization and best-first search algorithm for solving minimum vertex cover problem. Neural Comput. Appl. 2022, 34, 15513–15541. [Google Scholar] [CrossRef]
- Roy, P.K.; Sultana, S. Optimal reconfiguration of capacitor based radial distribution system using chaotic quasi oppositional chemical reaction optimization. Microsyst. Technol. 2020, 28, 499–511. [Google Scholar] [CrossRef]
- Alatas, B. ACROA: Artificial Chemical Reaction Optimization Algorithm for global optimization. Expert Syst. Appl. 2011, 38, 13170–13180. [Google Scholar] [CrossRef]
- Abbassi, M.; Chaabani, A.; Ben Said, L. An efficient chemical reaction algorithm for multi-objective combinatorial bi-level optimization. Eng. Optim. 2021, 54, 665–686. [Google Scholar] [CrossRef]
- Mühlenbein, H.; Schlierkamp-Voosen, D. Predictive Models for the Breeder Genetic Algorithm I. Continuous Parameter Optimization. Evol. Comput. 1993, 1, 25–49. [Google Scholar] [CrossRef]
- Grigoriev, V.V.; Iliev, O.; Vabishchevich, P.N. On Parameter Identification for Reaction-Dominated Pore-Scale Reactive Transport Using Modified Bee Colony Algorithm. Algorithms 2021, 15, 15. [Google Scholar] [CrossRef]
- dos Anjos, J.C.; Gross, J.L.; Matteussi, K.J.; González, G.V.; Leithardt, V.R.; Geyer, C.F. An Algorithm to Minimize Energy Consumption and Elapsed Time for IoT Workloads in a Hybrid Architecture. Sensors 2021, 21, 2914. [Google Scholar] [CrossRef] [PubMed]














| Paper | Approach | Benefits | Disadvantages |
|---|---|---|---|
| Javadpour, Sangaiah [17] | Using DVFS computing in cloud data centers for an energy-optimized embedded load balancing |
|
|
| Suddul and Soobhen [18] | Applying an energy-efficient technique, using power-down mode on the Arduino microcontroller |
|
|
| Harjoseputro, Julianto [19] | Proposing a smart waste recycling bin based on IoT |
|
|
| Li, Mak [8] | Implementing a creative IoT-based smart recycling machine |
|
|
| González Briones, Chamoso [20] | Using a unique concept of an agent-based IoT platform to stimulate citizen engagement in recycling activities via gamification techniques |
|
|
| Angani, Lee [21] | Applying intelligent fish farm with a water recycling system |
|
|
| Mao, Jiang [22] | Applying genetic algorithm |
|
|
| Ramasamy, Thiagarajah [23] | Developing a weight-based smart recycling system using a single-board computer |
|
|
| Parameter | Amount |
|---|---|
| Number of IoT nodes | 10–300 |
| Number of servers in each IoT node | 1–5 |
| Number of tasks | 50–500 |
| Data Size | 10–15 Mb |
| Computing intensity | 300 cycle/bit |
| Cost | 1–10$ |
| Energy | 1–10 mj |
| Processing time | 1–10 s |
| Parameters of the proposed algorithm | |
| Iteration | 100 |
| popSize | 50 |
| KELossRate | 0.85 |
| MoleColl | 0.50 |
| InitialKE | 0 |
| alpha | 1 |
| beta | 10 |
| buffer | 0 |
| GA parameters | |
| Number of chromosomes (solutions) | 100 |
| Selection operator | Roulette wheel |
| Cutting operator | Single point |
| Probability of crossover | 0.8 |
| Mutation rate | 0.1 |
| Maximum number of generations | 100 |
| PSO parameters | |
| Number of particles (solutions) | 100 |
| Inertial weight | First 0.9 then decrease to 0.4 |
| C1 | Rand ∗ 2 |
| C2 (C1 + C2 ≤ 4) | Rand ∗ 1.5 |
| Maximum speed | Number of Rand tasks |
| Maximum number of generations | 100 |
| ABC Parameters | |
| Number of bees (solutions) | Three times higher the number of IoT nodes |
| Maximum number of generations | 100 |
| Onlooker | 50 |
| Scout bee | 1 |
| Employed bees | 50 |
Disclaimer/Publisher’s Note: The statements, opinions and data contained in all publications are solely those of the individual author(s) and contributor(s) and not of MDPI and/or the editor(s). MDPI and/or the editor(s) disclaim responsibility for any injury to people or property resulting from any ideas, methods, instructions or products referred to in the content. |
© 2023 by the authors. Licensee MDPI, Basel, Switzerland. This article is an open access article distributed under the terms and conditions of the Creative Commons Attribution (CC BY) license (https://creativecommons.org/licenses/by/4.0/).
Share and Cite
Tabaghchi Milan, S.; Darbandi, M.; Jafari Navimipour, N.; Yalcın, S. An Energy-Aware Load Balancing Method for IoT-Based Smart Recycling Machines Using an Artificial Chemical Reaction Optimization Algorithm. Algorithms 2023, 16, 115. https://doi.org/10.3390/a16020115
Tabaghchi Milan S, Darbandi M, Jafari Navimipour N, Yalcın S. An Energy-Aware Load Balancing Method for IoT-Based Smart Recycling Machines Using an Artificial Chemical Reaction Optimization Algorithm. Algorithms. 2023; 16(2):115. https://doi.org/10.3390/a16020115
Chicago/Turabian StyleTabaghchi Milan, Sara, Mehdi Darbandi, Nima Jafari Navimipour, and Senay Yalcın. 2023. "An Energy-Aware Load Balancing Method for IoT-Based Smart Recycling Machines Using an Artificial Chemical Reaction Optimization Algorithm" Algorithms 16, no. 2: 115. https://doi.org/10.3390/a16020115
APA StyleTabaghchi Milan, S., Darbandi, M., Jafari Navimipour, N., & Yalcın, S. (2023). An Energy-Aware Load Balancing Method for IoT-Based Smart Recycling Machines Using an Artificial Chemical Reaction Optimization Algorithm. Algorithms, 16(2), 115. https://doi.org/10.3390/a16020115

