Supervised Methods for Modeling Spatiotemporal Glacier Variations by Quantification of the Area and Terminus of Mountain Glaciers Using Remote Sensing
Abstract
:1. Introduction
2. Data Collection and Preprocessing
2.1. Landsat Imagery
2.2. Climate Factor Data
3. Methods
3.1. Quantification of Glacier Area and Terminus
3.2. Statistical Modeling
3.2.1. Multiple Regression
3.2.2. Generalized Additive Model (GAM)
4. Results
4.1. Modeling Variations in Franz Josef Terminal Point and Area Using Multiple Regression Model
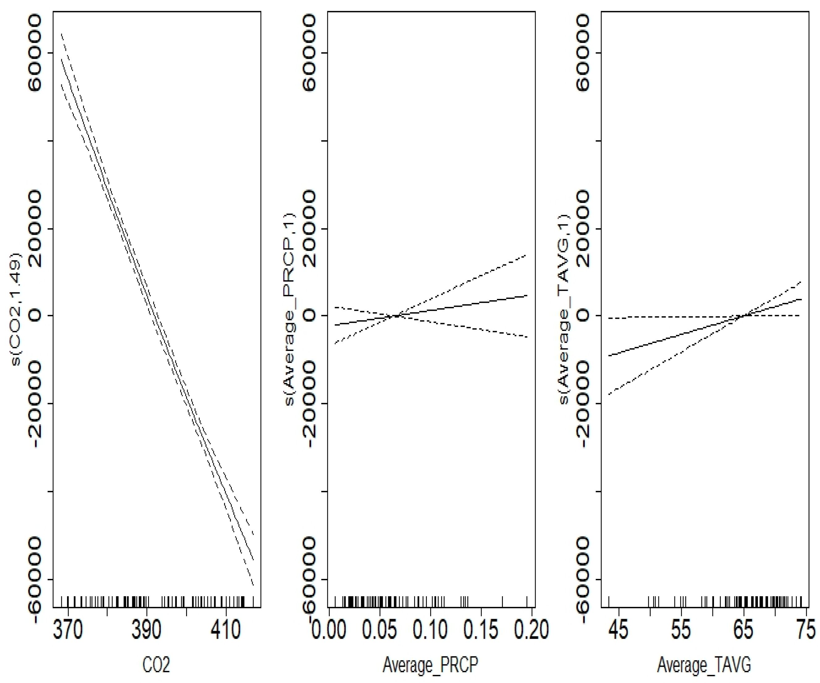
4.2. Modeling Franz Josef Terminal Point’s Variations Using Generalized Additive Model
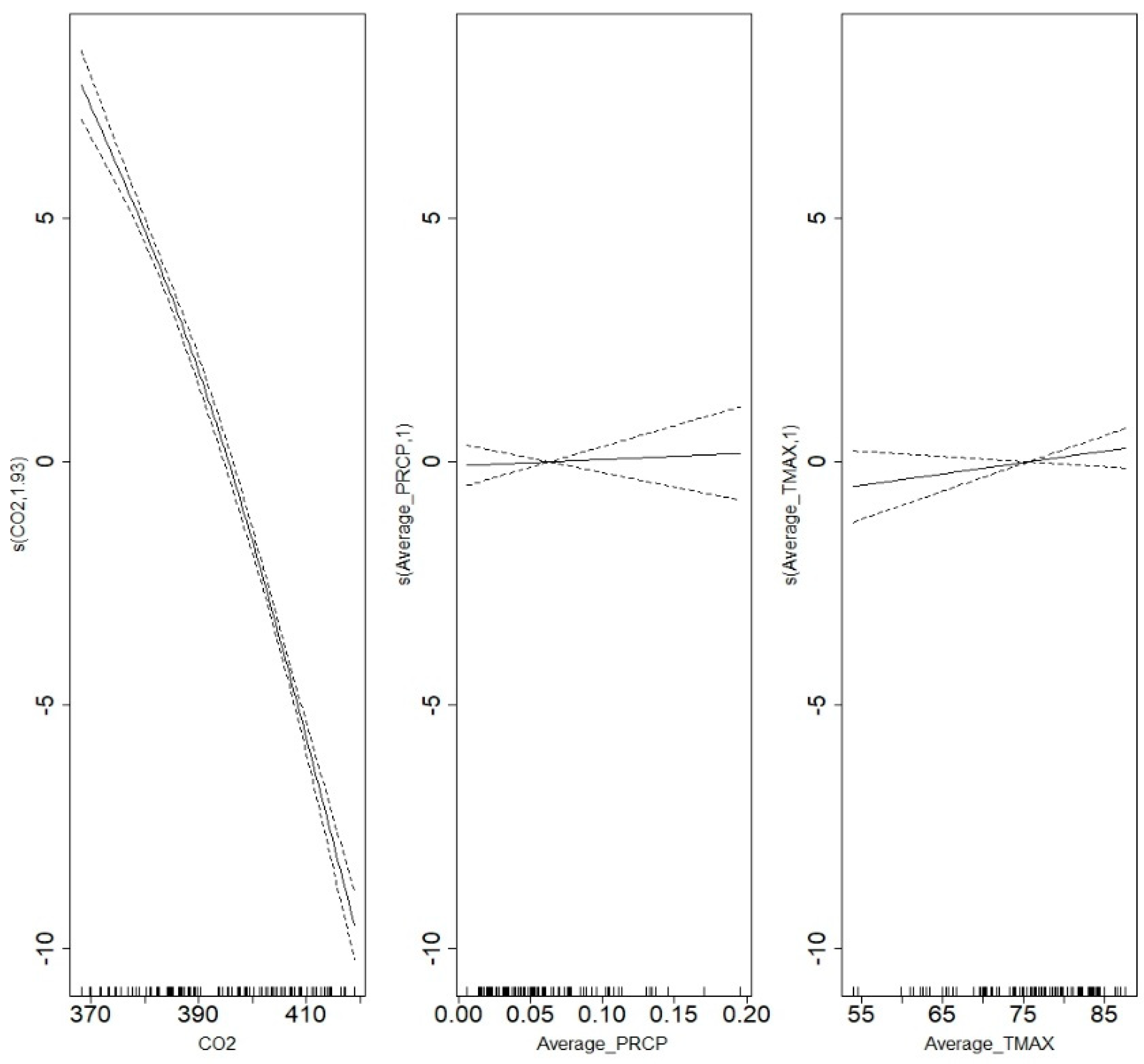
4.3. Modeling Variations in Area of Franz Josef Using Generalized Additive Model
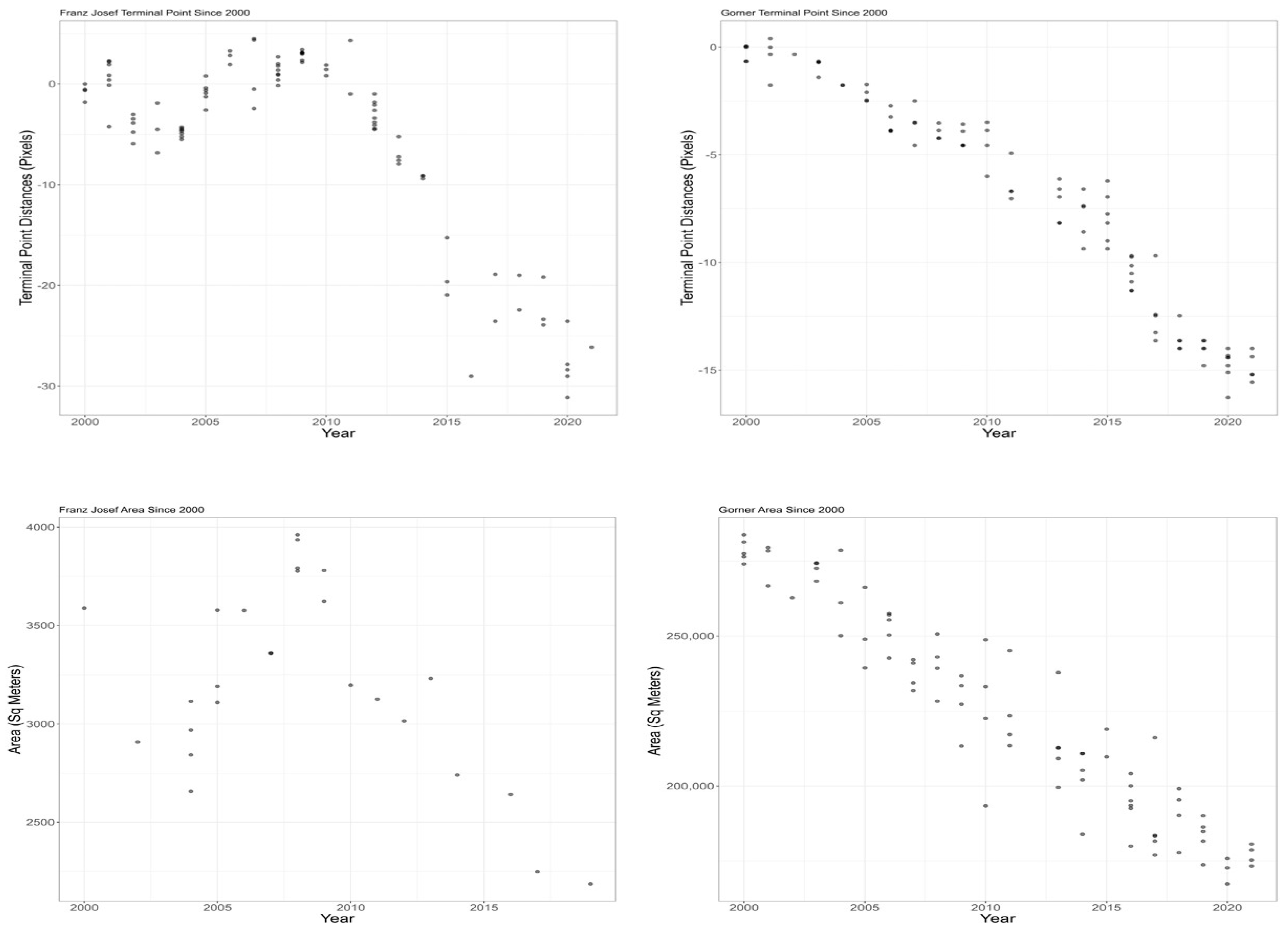
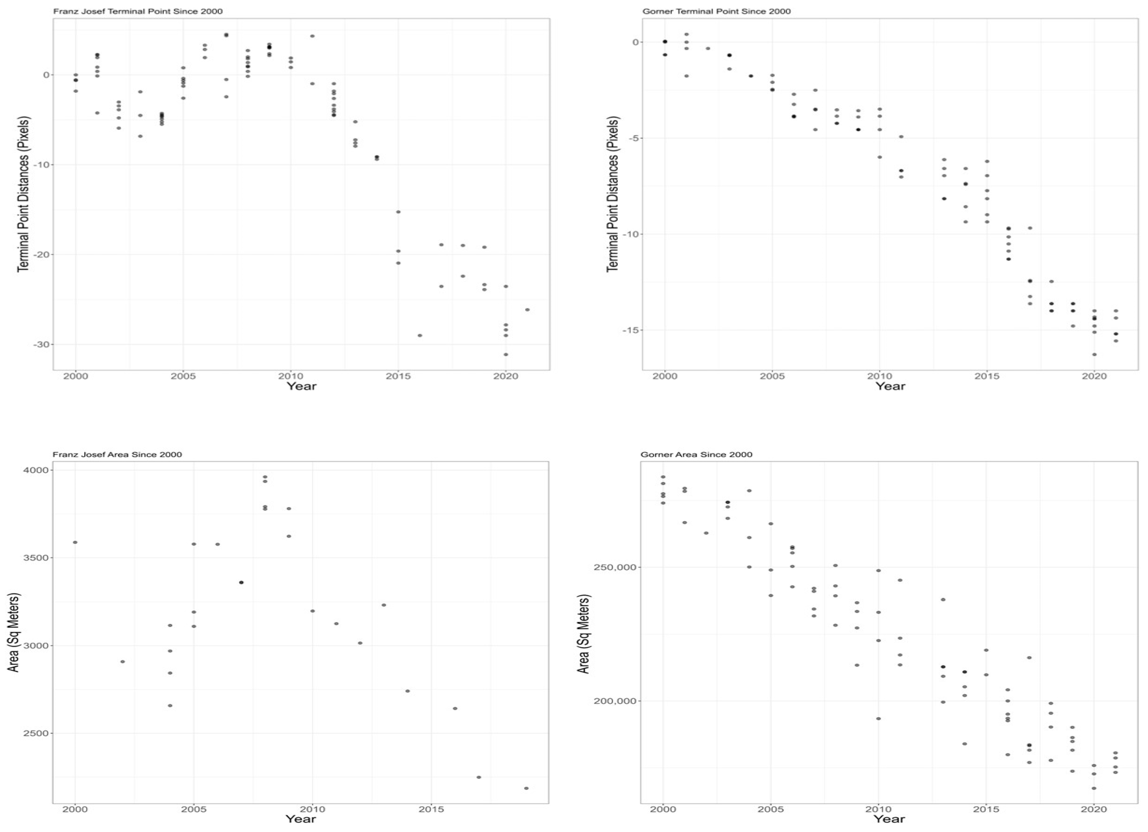
4.4. Variations in Gorner’s Terminal Point
4.5. Variations in Gorner’s Area
5. Discussion
6. Conclusions
Author Contributions
Funding
Data Availability Statement
Conflicts of Interest
Appendix A
| Gorner Area GAM | ||||
| Area ~ s(Average_TAVG) + s(CO2) + s(Average_PRCP) + s(Global_Mean) | ||||
| Parametric coefficients: | Estimate | Std Error | T value | Pr (>|T|) |
| Intercept | 225,484 | 1279 | 176.3 | 2.00 × 10−16 |
| Smooth Terms | edf | ref def | F | p-Value |
| s(Average_TAVG) | 1 | 1 | 3.114 | 0.0817 |
| s(CO2) | 1.186 | 1.347 | 96.1 | 2.00 × 10−16 |
| s(Average_PRCP) | 1 | 1 | 0.419 | 0.5194 |
| s(Global_Mean) | 1 | 1 | 4.944 | 0.0292 |
| Model | AIC | Deviance | Adj R2 | |
| 1706.996 | 89.3 | 88.7 | ||
| Area ~ s(Average_TMAX) + s(CO2) + s(Average_PRCP) + s(Global_Mean) | ||||
| Parametric coefficients: | Estimate | Std Error | T value | Pr (>|T|) |
| Intercept | 225,484 | 1279 | 176.3 | 2.00 × 10−16 |
| Smooth Terms | edf | ref def | F | p-Value |
| s(Average_TMAX) | 1 | 1 | 2.866 | 0.0935 |
| s(CO2) | 1.295 | 1.525 | 83.051 | 2.00 × 10−16 |
| s(Average_PRCP) | 1 | 1 | 0.562 | 0.4555 |
| s(Global_Mean) | 1 | 1 | 5.084 | 0.0271 |
| Model | AIC | Deviance | Adj R2 | |
| 1707.223 | 89.3 | 88.7 | ||
| Area ~ s(Average_TMIN) + s(CO2) + s(Average_PRCP) + s(Global_Mean) | ||||
| Parametric coefficients: | Estimate | Std Error | T value | Pr (>|T|) |
| Intercept | 225,484 | 1285 | 175.5 | 2.00 × 10−16 |
| Smooth Terms | edf | ref def | F | p-Value |
| s(Average_TMIN) | 1 | 1 | 2.094 | 0.1521 |
| s(CO2) | 1.327 | 1.576 | 78.722 | 2.00 × 10−16 |
| s(Average_PRCP) | 1 | 1 | 0.347 | 0.5578 |
| s(Global_Mean) | 1 | 1 | 5.353 | 0.0235 |
| Model | AIC | Deviance | Adj R2 | |
| 1708.029 | 89.2 | 88.6 | ||
| Area ~ s(Average_TAVG) + s(CO2) + s(Global_Mean) | ||||
| Parametric coefficients: | Estimate | Std Error | T value | Pr (>|T|) |
| Intercept | 225,484 | 1273 | 177.2 | 2.00 × 10−16 |
| Smooth Terms | edf | ref def | F | p-Value |
| s(Average_TAVG) | 1 | 1 | 3.73 | 0.0572 |
| s(CO2) | 1.267 | 1.463 | 87.025 | 2.00 × 10−16 |
| s(Global_Mean) | 1 | 1 | 5.292 | 0.0241 |
| Model | AIC | Deviance | Adj R2 | |
| 1705.029 | 89.2 | 88.8 | ||
| Area ~ s(CO2) + s(Global_Mean) | ||||
| Parametric coefficients: | Estimate | Std Error | T value | Pr (>|T|) |
| Intercept | 225,484 | 1287 | 175.3 | 2.00 × 10−16 |
| Smooth Terms | edf | ref def | F | p-Value |
| s(CO2) | 1.648 | 1.876 | 68.22 | 2.00 × 10−16 |
| s(Global_Mean) | 1 | 1 | 9.24 | 0.00324 |
| Model | AIC | Deviance | Adj R2 | |
| 1706.643 | 88.9 | 88.5 | ||
| Area ~ s(CO2) + s(Average_PRCP) + s(Global_Mean) | ||||
| Parametric coefficients: | Estimate | Std Error | T value | Pr (>|T|) |
| Intercept | 225,484 | 1286 | 175.4 | 2.00 × 10−16 |
| Smooth Terms | edf | ref def | F | p-Value |
| s(Average_PRCP) | 1.118 | 1.222 | 1.093 | 0.35734 |
| s(CO2) | 1.615 | 1.852 | 69.493 | 2.00 × 10−16 |
| s(Global_Mean) | 1 | 1 | 8.022 | 0.00591 |
| Model | AIC | Deviance | Adj R2 | |
| 1707.759 | 89.1 | 88.5 | ||
| Gorner Area GAM | ||||
| Area ~ s(CO2) + s(Average_PRCP) + s(Average_TAVG) | ||||
| Parametric coefficients: | Estimate | Std Error | T value | Pr (>|T|) |
| Intercept | 223,144 | 1262 | 176.8 | 2.00 × 10−16 |
| Smooth Terms | edf | ref def | F | p-Value |
| s(Average_PRCP) | 1 | 1 | 0.989 | 0.3232 |
| s(CO2) | 1.492 | 1.742 | 364.248 | 2.00 × 10−16 |
| s(Average_TAVG) | 1 | 1 | 4.356 | 0.0401 |
| Model | AIC | Deviance | Adj R2 | |
| 1794.759 | 89.4 | 88.9 | ||
| Area ~ s(Global_Mean) + s(Average_PRCP) + s(Average_TAVG) | ||||
| Parametric coefficients: | Estimate | Std Error | T value | Pr (>|T|) |
| Intercept | 225,485 | 3150 | 104.9 | 2.00 × 10−16 |
| Smooth Terms | edf | ref def | F | p-Value |
| s(Average_PRCP) | 1 | 1 | 0.065 | 0.8 |
| s(Global_Mean) | 1 | 1 | 165.523 | 2.00 × 10−16 |
| s(Average_TAVG) | 1 | 1 | 1.125 | 0.292 |
| Model | AIC | Deviance | Adj R2 | |
| 1787.65 | 69.2 | 68 | ||
| Gorner Terminal Point Distance GAM | ||||
| Distance ~ s(Average_TMIN) + s(CO2) + s(Average_PRCP) + s(Global_Mean) | ||||
| Parametric coefficients: | Estimate | Std Error | T value | Pr (>|T|) |
| Intercept | −6.9179 | 0.1306 | −52.96 | 2.00 × 10−16 |
| Smooth Terms | edf | ref def | F | p-Value |
| s(Average_TMIN) | 1.485 | 1.818 | 0.623 | 0.616 |
| s(CO2) | 2.503 | 2.823 | 111.873 | 2.00 × 10−16 |
| s(Average_PRCP) | 1 | 1 | 0.037 | 0.848 |
| s(Global_Mean) | 2.21 | 2.598 | 0.879 | 0.535 |
| Model | AIC | Deviance | Adj R2 | |
| 310.1617 | 93.9 | 93.4 | ||
| Distance ~ s(Average_TMAX) + s(CO2) + s(Average_PRCP) + s(Global_Mean) | ||||
| Parametric coefficients: | Estimate | Std Error | T value | Pr (>|T|) |
| Intercept | −6.9179 | 0.1306 | −52.98 | 2.00 × 10−16 |
| Smooth Terms | edf | ref def | F | p-Value |
| s(Average_TMAX) | 1 | 1 | 1.542 | 0.218 |
| s(CO2) | 2.532 | 2.842 | 114.937 | 2.00 × 10−16 |
| s(Average_PRCP) | 1 | 1.001 | 0.043 | 0.838 |
| s(Global_Mean) | 2.055 | 2.456 | 0.661 | 0.67 |
| Model | AIC | Deviance | Adj R2 | |
| 308.9078 | 93.4 | 93.9 | ||
| Distance ~ s(Average_TAVG) + s(CO2) + s(Average_PRCP) + s(Global_Mean) | ||||
| Parametric coefficients: | Estimate | Std Error | T value | Pr (>|T|) |
| Intercept | −6.9179 | 0.1308 | −52.9 | 2.00 × 10−16 |
| Smooth Terms | edf | ref def | F | p-Value |
| s(Average_TAVG) | 1.001 | 1.002 | 1.173 | 0.282 |
| s(CO2) | 2.528 | 2.84 | 113.304 | 2.00 × 10−16 |
| s(Average_PRCP) | 1 | 1 | 0.027 | 0.871 |
| s(Global_Mean) | 2.097 | 2.96 | 0.721 | 0.635 |
| Model | AIC | Deviance | Adj R2 | |
| 309.2165 | 93.9 | 93.4 | ||
| Distance ~ s(Average_TAVG) + s(CO2) + s(Average_PRCP) + s(Global_Mean) | ||||
| Parametric coefficients: | Estimate | Std Error | T value | Pr (>|T|) |
| Intercept | −6.9179 | 0.1308 | −52.9 | 2.00 × 10−16 |
| Smooth Terms | edf | ref def | F | p-Value |
| s(Average_TAVG) | 1.001 | 1.002 | 1.173 | 0.282 |
| s(CO2) | 2.528 | 2.84 | 113.304 | 2.00 × 10−16 |
| s(Average_PRCP) | 1 | 1 | 0.027 | 0.871 |
| s(Global_Mean) | 2.097 | 2.96 | 0.721 | 0.635 |
| Model | AIC | Deviance | Adj R2 | |
| 309.2165 | 93.9 | 93.4 | ||
| Distance ~ s(CO2) + s(Global_Mean) | ||||
| Parametric coefficients: | Estimate | Std Error | T value | Pr (>|T|) |
| Intercept | -6.9179 | 0.1319 | −52.44 | 2.00 × 10−16 |
| Smooth Terms | edf | ref def | F | p-Value |
| s(CO2) | 1.938 | 1.996 | 190.109 | 2.00 × 10−16 |
| s(Global_Mean) | 1 | 1 | 0.878 | 0.351 |
| Model | AIC | Deviance | Adj R2 | |
| 306.0558 | 93.5 | 93.3 | ||
| Distance ~ s(CO2) + s(Average_PRCP) + s(Global_Mean) | ||||
| Parametric coefficients: | Estimate | Std Error | T value | Pr (>|T|) |
| Intercept | −6.9179 | 0.1325 | −52.2 | 2.00 × 10−16 |
| Smooth Terms | edf | ref def | F | p-Value |
| s(CO2) | 1.938 | 1.996 | 185.669 | 2.00 × 10−16 |
| s(Average_PRCP) | 1 | 1 | 0.182 | 0.67 |
| s(Global_Mean) | 1 | 1 | 0.713 | 0.401 |
| Model | AIC | Deviance | Adj R2 | |
| 307.846 | 93.5 | 93.2 | ||
| Gorner Terminal Point Distance GAM | ||||
| Distance ~ s(CO2) + s(Average_PRCP) + s(Average_TMAX) | ||||
| Parametric coefficients: | Estimate | Std Error | T value | Pr (>|T|) |
| Intercept | −7.3318 | 0.1289 | −56.87 | 2.00 × 10−16 |
| Smooth Terms | edf | ref def | F | p-Value |
| s(Average_TMAX) | 1 | 1 | 1.908 | 0.17 |
| s(CO2) | 1.933 | 1.995 | 701.255 | 2.00 × 10−16 |
| s(Average_PRCP) | 1 | 1 | 0.132 | 0.717 |
| Model | AIC | Deviance | Adj R2 | |
| 324.23 | 94 | 93.7 | ||
| Distance ~ s(Global_Mean,) + s(Average_PRCP) + s(Average_TMAX) | ||||
| Parametric coefficients: | Estimate | Std Error | T value | Pr (>|T|) |
| Intercept | −6.9179 | 0.2971 | −23.29 | 2.00 × 10−16 |
| Smooth Terms | edf | ref def | F | p-Value |
| s(Average_TMAX) | 1 | 1 | 5.18 | 0.0253 |
| s(Average_PRCP) | 1 | 1 | 0.542 | 0.4636 |
| s(Global_Mean) | 1 | 1 | 176.089 | 2.00 × 10−16 |
| Model | AIC | Deviance | Adj R2 | |
| 453.7315 | 67 | 65.9 | ||
| Franz Josef Area GAM | ||||
| Area ~ s(Average_TMIN) + s(CO2) + s(Average_PRCP) + s(Global_Mean) | ||||
| Parametric coefficients: | Estimate | Std Error | T value | Pr (>|T|) |
| Intercept | 3212 | 64 | 50.19 | 2.00 × 10−16 |
| Smooth Terms | edf | ref def | F | p-Value |
| s(Average_TMIN) | 1 | 1 | 0.295 | 0.5929 |
| s(CO2) | 2.442 | 2.77 | 4 | 2.55 × 10−2 |
| s(Average_PRCP) | 1 | 1 | 3.604 | 0.0721 |
| s(Global_Mean) | 1 | 1 | 2.508 | 0.1289 |
| Model | AIC | Deviance | Adj R2 | |
| 382.8962 | 64.5 | 54.7 | ||
| Franz Josef Area GAM | ||||
| Area ~ s(Average_TMAX) + s(CO2) + s(Average_PRCP) + s(Global_Mean) | ||||
| Parametric coefficients: | Estimate | Std Error | T value | Pr (>|T|) |
| Intercept | 3211.96 | 58.77 | 54.65 | 2.00 × 10−16 |
| Smooth Terms | edf | ref def | F | p-Value |
| s(Average_TMAX) | 1.988 | 2.4 | 1.671 | 0.186 |
| s(CO2) | 2.311 | 2.654 | 4 | 6.33 × 10−2 |
| s(Average_PRCP) | 1.363 | 1.607 | 1.167 | 0.2345 |
| s(Global_Mean) | 1 | 1 | 6.232 | 0.0224 |
| Model | AIC | Deviance | Adj R2 | |
| 380.5743 | 71.9 | 61.8 | ||
| Area ~ s(Average_TMAX) + s(CO2) + s(Average_PRCP) + s(Global_Mean) | ||||
| Parametric coefficients: | Estimate | Std Error | T value | Pr (>|T|) |
| Intercept | 3211.96 | 64.33 | 49.93 | 2.00 × 10−16 |
| Smooth Terms | edf | ref def | F | p-Value |
| s(Average_TAVG) | 1 | 1 | 0.11 | 0.7441 |
| s(CO2) | 2.433 | 2.763 | 4 | 2.94 × 10−2 |
| s(Average_PRCP) | 1 | 1 | 3.363 | 0.0816 |
| s(Global_Mean) | 1 | 1 | 2.264 | 0.148 |
| Model | AIC | Deviance | Adj R2 | |
| 383.1614 | 64.1 | 54.2 | ||
| Area ~ s(Average_TMAX) + s(CO2) + s(Average_PRCP) | ||||
| Parametric coefficients: | Estimate | Std Error | T value | Pr (>|T|) |
| Intercept | 3211.96 | 70.71 | 45.42 | 2.00 × 10−16 |
| Smooth Terms | edf | ref def | F | p-Value |
| s(Average_TMAX) | 1 | 1 | 0.049 | 0.82713 |
| s(CO2) | 1.922 | 1.994 | 10 | 1.08 × 10−3 |
| s(Average_PRCP) | 1 | 1 | 1.466 | 0.23938 |
| Model | AIC | Deviance | Adj R2 | |
| 386.475 | 53.3 | 44.6 | ||
| Area ~ s(CO2) + s(Average_PRCP) | ||||
| Parametric coefficients: | Estimate | Std Error | T value | Pr (>|T|) |
| Intercept | 3211.96 | 69.14 | 46.45 | 2.00 × 10−16 |
| Smooth Terms | edf | ref def | F | p-Value |
| s(CO2) | 1.927 | 1.995 | 11 | 7.85 × 104 |
| s(Average_PRCP) | 1 | 1 | 1.77 | 0.196995 |
| Model | AIC | Deviance | Adj R2 | |
| 384.5096 | 53.3 | 47.1 | ||
| Area ~ s(Global_Mean) + s(CO2) + s(Average_PRCP) | ||||
| Parametric coefficients: | Estimate | Std Error | T value | Pr (>|T|) |
| Intercept | 3211.96 | 64.58 | 49.73 | 2.00 × 10−16 |
| Smooth Terms | edf | ref def | F | p-Value |
| s(Global_Mean) | 1 | 1 | 4.496 | 0.046 |
| s(CO2) | 1.905 | 1.991 | 5 | 1.92 × 10−2 |
| s(Average_PRCP) | 1.209 | 1.374 | 2.941 | 0.1213 |
| Model | AIC | Deviance | Adj R2 | |
| 382.2663 | 61.4 | 53.8 | ||
| Franz Josef Terminal Point Distance GAM | ||||
| Distance ~ s(Average_TMIN) + s(CO2) + s(Average_PRCP) + s(Global_Mean) | ||||
| Parametric coefficients: | Estimate | Std Error | T value | Pr (>|T|) |
| Intercept | -5.4894 | 0.3898 | −14.1 | 2.00 × 10−16 |
| Smooth Terms | edf | ref def | F | p-Value |
| s(Average_TMIN) | 1.274 | 1.49 | 3.456 | 0.073 |
| s(CO2) | 2.868 | 2.987 | 47.024 | 2.00 × 10−16 |
| s(Average_PRCP) | 1 | 1 | 0.046 | 0.8303 |
| s(Global_Mean) | 1 | 1 | 5.429 | 0.0223 |
| Model | AIC | Deviance | Adj R2 | |
| 480.799 | 86.1 | 85 | ||
| Distance ~ s(CO2) + s(Global_Mean) | ||||
| Parametric coefficients: | Estimate | Std Error | T value | Pr (>|T|) |
| Intercept | −5.2672 | 0.3834 | −13.74 | 2.00 × 10−16 |
| Smooth Terms | edf | ref def | F | p-Value |
| s(CO2) | 1.991 | 2 | 74.292 | 2.00 × 10−16 |
| s(Global_Mean) | 1.25 | 1.437 | 3.905 | 0.0283 |
| Model | AIC | Deviance | Adj R2 | |
| 500.766 | 84.9 | 84.3 | ||
| Distance ~ s(Average_TMIN) + s(CO2) + s(Global_Mean) | ||||
| Parametric coefficients: | Estimate | Std Error | T value | Pr (>|T|) |
| Intercept | −5.2672 | 0.3738 | −14.09 | 2.00 × 10−16 |
| Smooth Terms | edf | ref def | F | p-Value |
| s(Average_TMIN) | 1.208 | 1.372 | 3.662 | 0.0336 |
| s(CO2) | 1.991 | 2 | 75.318 | 2.00 × 10−16 |
| s(Global_Mean) | 1 | 1 | 5.575 | 0.0204 |
| Model | AIC | Deviance | Adj R2 | |
| 497.0568 | 85.8 | 85.1 | ||
| Distance ~ s(CO2) + s(Average_PRCP) + s(Global_Mean) | ||||
| Parametric coefficients: | Estimate | Std Error | T value | Pr (>|T|) |
| Intercept | −5.4894 | 0.3984 | −13.78 | 2.00 × 10−16 |
| Smooth Terms | edf | ref def | F | p-Value |
| s(CO2) | 1.99 | 1.999 | 70.418 | 2.00 × 10−16 |
| s(Average_PRCP) | 1 | 1 | 0.086 | 0.7705 |
| s(Global_Mean) | 1.354 | 1.582 | 2.68 | 0.0608 |
| Model | AIC | Deviance | Adj R2 | |
| 482.9369 | 85.1 | 84.3 | ||
| Distance ~ s(CO2) + s(Average_PRCP) + s(Average_TMIN) | ||||
| Parametric coefficients: | Estimate | Std Error | T value | Pr (>|T|) |
| Intercept | −5.7241 | 0.3942 | −14.52 | 2.00 × 10−16 |
| Smooth Terms | edf | ref def | F | p-Value |
| s(Average_TMIN) | 1.471 | 1.721 | 2.972 | 0.0414 |
| s(CO2) | 2 | 2 | 225.629 | 2.00 × 10−16 |
| s(Average_PRCP) | 1 | 1 | 0.001 | 0.9839 |
| Model | AIC | Deviance | Adj R2 | |
| 487.6997 | 85.9 | 85.1 | ||
Appendix B




References
- Bhattacharya, A.; Bolch, T.; Mukherjee, K.; King, O.; Menounos, B.; Kapitsa, V.; Neckel, N.; Yang, W.; Yao, T. High Mountain Asian glacier response to climate revealed by multi-temporal satellite observations since the 1960s. Nat. Commun. 2021, 12, 4133. [Google Scholar] [CrossRef] [PubMed]
- Bolivia’s Tuni Glacier Is Disappearing, and So Is the Water It Supplies. Reuters. 2021. Available online: https://www.reuters.com/article/us-bolivia-environment-glacier/bolivias-tuni-glacier-is-disappearing-and-so-is-the-water-it-supplies-idUSKBN29929U (accessed on 20 October 2022).
- Laghari, J. Climate change: Melting glaciers bring energy uncertainty. Nature 2013, 502, 617–618. [Google Scholar] [CrossRef] [PubMed]
- GLIMS; NSIDC. Global Land Ice Measurements from Space Glacier Database; International GLIMS Community and the National Snow and Ice Data Center: Boulder, CO, USA, 2005; updated 2018. [Google Scholar] [CrossRef]
- Raup, B.; Racoviteanu, A.; Khalsa, S.J.; Helm, C.; Armstrong, R.; Arnaud, Y. The GLIMS geospatial glacier database: A new tool for studying glacier change. Glob. Planet. Chang. 2007, 56, 101–110. [Google Scholar] [CrossRef]
- Chen, L.; Zhang, W.; Yi, Y.; Zhang, Z.; Chao, S. Long time-series glacier outlines in the three-rivers headwater region from 1986 to 2021 based on deep learning. IEEE J. Sel. Top. Appl. Earth Obs. Remote Sens. 2022, 15, 5734–5752. [Google Scholar] [CrossRef]
- Kachouie, N.N.; Gerke, T.; Huybers, P.; Schwartzman, A. Nonparametric regression for estimation of spatiotemporal mountain glacier retreat from satellite images. IEEE Trans. Geosci. Remote Sens. 2014, 53, 1135–1149. [Google Scholar] [CrossRef]
- Kachouie, N.N.; Huybers, P.; Schwartzman, A. Localization of mountain glacier termini in Landsat multi-spectral images. Pattern Recognit. Lett. 2013, 34, 94–106. [Google Scholar] [CrossRef]
- Onyejekwe, O.; Holman, B.; Kachouie, N.N. Multivariate models for predicting glacier termini. Environ. Earth Sci. 2017, 76, 807. [Google Scholar] [CrossRef]
- Lea, J.M.; Mair, D.W.; Rea, B.R. Evaluation of existing and new methods of tracking glacier terminus change. J. Glaciol. 2014, 60, 323–332. [Google Scholar] [CrossRef]
- Landsat 8 Data Users, Handbook|U.S. Geological Survey. Available online: https://www.usgs.gov/landsat-missions/landsat-8-data-users-handbook (accessed on 9 October 2023).
- Hastie, T.; Tibshirani, R. Generalized Additive Models. Stat. Sci. 1986, 1, 297–310. Available online: https://www.jstor.org/stable/2245459 (accessed on 9 October 2023). [CrossRef]
- Marra, G.; Wood, S.N. Practical variable selection for generalized additive models. Comput. Stat. Data Anal. 2011, 55, 2372–2387. [Google Scholar] [CrossRef]
- Wood, S.N. Generalized Additive Models: An Introduction with R; CRC Press: Boca Raton, FL, USA, 2017. [Google Scholar]
- Nychka, D. Bayesian confidence intervals for smoothing splines. J. Am. Stat. Assoc. 1988, 83, 1134–1143. [Google Scholar] [CrossRef]
- Patterson, H.D.; Thompson, R. Recovery of inter-block information when block sizes are unequal. Biometrika 1971, 58, 545–554. [Google Scholar] [CrossRef]
- Sutton, R.; Suckling, E.; Hawkins, E. What Does Global Mean Temperature Tell Us about Local Climate? Philos. Trans. R. Soc. A 2015, 373, 20140426. [Google Scholar] [CrossRef] [PubMed]
- Hooke, R.L. Principles of Glacier Mechanics; Cambridge University Press: Cambridge, UK, 2019. [Google Scholar]
- Moon, T.; Joughin, I. Changes in ice front position on Greenland’s outlet glaciers from 1992 to 2007. J. Geophys. Res. Earth Surf. 2008, 113. [Google Scholar] [CrossRef]
- Cuffey, K.M.; Paterson, W.S. The Physics of Glaciers; Academic Press: Cambridge, MA, USA, 2010. [Google Scholar]
- Robson, B.A.; Bolch, T.; MacDonell, S.; Hölbling, D.; Rastner, P.; Schaffer, N. Automated detection of rock glaciers using deep learning and object-based image analysis. Remote Sens. Environ. 2020, 250, 112033. [Google Scholar] [CrossRef]
- Ren, J.; Jing, Z.; Pu, J.; Qin, X. Glacier variations and climate change in the central Himalaya over the past few decades. Ann. Glaciol. 2006, 43, 218–222. [Google Scholar] [CrossRef]
- Lovell, A.M.; Stokes, C.R.; Jamieson, S.S. Sub-decadal variations in outlet glacier terminus positions in Victoria Land, Oates Land and George V Land, East Antarctica (1972–2013). Antarct. Sci. 2017, 29, 468–483. [Google Scholar] [CrossRef]
- Schild, K.M.; Hamilton, G.S. Seasonal variations of outlet glacier terminus position in Greenland. J. Glaciol. 2013, 59, 759–770. [Google Scholar] [CrossRef]
- Meng, Q.; Chen, X.; Huang, X.; Huang, Y.; Peng, Y.; Zhang, Y.; Zhen, J. Monitoring glacier terminus and surface velocity changes over different time scales using massive imagery analysis and offset tracking at the Hoh Xil World Heritage Site, Qinghai-Tibet Plateau. Int. J. Appl. Earth Obs. Geoinf. 2022, 112, 102913. [Google Scholar] [CrossRef]
- Yang, R.; Hock, R.; Kang, S.; Guo, W.; Shangguan, D.; Jiang, Z.; Zhang, Q. Glacier surface speed variations on the Kenai Peninsula, Alaska, 2014–2019. J. Geophys. Res. Earth Surf. 2022, 127, e2022JF006599. [Google Scholar] [CrossRef]











| (a) | |||||||||||
| Franz Josef Terminal Point | |||||||||||
| Model Index Predictors | |||||||||||
| 1 | CO2 | ||||||||||
| 2 | CO2 Global_Mean | ||||||||||
| 3 | CO2 Average_TMAX Global_Mean | ||||||||||
| 4 | Average_PRCP CO2 Average_TMAX Global_Mean | ||||||||||
| Subsets Regression | |||||||||||
| Model | R-Square | Adj. R-Square | Pred. R-Square | C(p) | AIC | SBIC | SBC | MSEP | FPE | HSP | APC |
| 1 | 0.58 | 0.57 | 0.56 | 19.07 | 599 | 338 | 607 | 3495 | 38.82 | 0.43 | 0.44 |
| 2 | 0.64 | 0.63 | 0.61 | 1.93 | 577 | 319 | 587 | 2871 | 32.59 | 0.36 | 0.39 |
| 3 | 0.65 | 0.63 | 0.61 | 2.21 | 577 | 319 | 590 | 2847 | 32.65 | 0.36 | 0.39 |
| 4 | 0.65 | 0.64 | 0.61 | 5.00 | 555 | 308 | 569 | 2779 | 33.77 | 0.39 | 0.39 |
| (b) | |||||||||||
| Franz Josef Area | |||||||||||
| Model Index Predictors | |||||||||||
| 1 | Global_Mean | ||||||||||
| 2 | Average_TMAX Global_Mean | ||||||||||
| 3 | Average_PRCP Average_TMAX Global_Mean | ||||||||||
| 4 | Average_PRCP CO2 Average_TMAX Global_Mean | ||||||||||
| Subsets Regression | |||||||||||
| Model | R-Square | Adj. R-Square | Pred. R-Square | C(p) | AIC | SBIC | SBC | MSEP | FPE | HSP | APC |
| 1 | 0.34 | 0.31 | 0.24 | 4.74 | 389 | 315 | 393 | 4,213,050 | 174,460 | 7043 | 0.77 |
| 2 | 0.43 | 0.38 | 0.27 | 3.02 | 387 | 314 | 392 | 3,792,603 | 162,351 | 6616 | 0.72 |
| 3 | 0.47 | 0.40 | 0.26 | 3.25 | 387 | 315 | 393 | 3,667,008 | 62,052 | 6687 | 0.72 |
| 4 | 0.48 | 0.38 | 0.20 | 5.00 | 389 | 317 | 396 | 3,805,281 | 173,374 | 7270 | 0.77 |
| (c) | |||||||||||
| Gorner Terminal Point | |||||||||||
| Model Index Predictors | |||||||||||
| 1 | CO2 | ||||||||||
| 2 | CO2 Average_TMAX | ||||||||||
| 3 | Average_PRCP CO2 Average_TMAX | ||||||||||
| 4 | Average_PRCP CO2 Average_TMAX Global_Mean | ||||||||||
| Subsets Regression | |||||||||||
| Model | R-Square | Adj. R-Square | Pred. R-Square | C(p) | AIC | SBIC | SBC | MSEP | FPE | HSP | APC |
| 1 | 0.93 | 0.93 | 0.93 | −2.00 | 333 | 61 | 341 | 174 | 1.85 | 0.0195 | 0.07 |
| 2 | 0.93 | 0.93 | 0.93 | −0.82 | 334 | 62 | 344 | 174 | 1.87 | 0.0197 | 0.07 |
| 3 | 0.93 | 0.93 | 0.93 | 1.18 | 336 | 64 | 349 | 176 | 1.91 | 0.0202 | 0.08 |
| 4 | 0.92 | 0.92 | 0.91 | 5.00 | 323 | 65 | 338 | 172 | 2.00 | 0.0223 | 0.09 |
| (d) | |||||||||||
| Gorner Area | |||||||||||
| Model Index Predictors | |||||||||||
| 1 | CO2 | ||||||||||
| 2 | CO2 Average_TMAX | ||||||||||
| 3 | Average_PRCP CO2 Average_TMAX | ||||||||||
| 4 | Average_PRCP CO2 Average_TMAX Global_Mean | ||||||||||
| Subsets Regression | |||||||||||
| Model | R-Square | Adj. R-Square | Pred. R-Square | C(p) | AIC | SBIC | SBC | MSEP | FPE | HSP | APC |
| 1 | 0.88 | 0.88 | 0.88 | 10.5 | 1798 | 1562 | 1805 | 11,904,380,369 | 146,881,258 | 1,792,815 | 0.12 |
| 2 | 0.89 | 0.89 | 0.88 | 6.0 | 1794 | 1558 | 1803 | 11,200,129,510 | 139,795,855 | 1,707,838 | 0.12 |
| 3 | 0.89 | 0.89 | 0.88 | 6.7 | 1794 | 1559 | 1806 | 11,145,284,672 | 140,706,326 | 1,720,988 | 0.12 |
| 4 | 0.89 | 0.89 | 0.88 | 5.0 | 1706 | 1483 | 1721 | 10,264,439,570 | 138,078,149 | 1,778,893 | 0.12 |
| (a) | ||||
| Franz Josef Terminal Point Distance GAM | ||||
| Distance ~ s(Average_TMIN) + s(CO2) + s(Average_PRCP) + s(Global_Mean) | ||||
| Parametric coefficients: | Estimate | Std Error | T value | Pr (>|T|) |
| Intercept | −5.4894 | 0.3898 | −14.1 | 2 × 10−16 |
| Smooth Terms | EDF | REF DEF | F | p-Value |
| s(Average_TMIN) | 1.274 | 1.49 | 3.456 | 0.073 |
| s(CO2) | 2.868 | 2.987 | 47.024 | 2 × 10−16 |
| s(Average_PRCP) | 1 | 1 | 0.046 | 0.8303 |
| s(Global_Mean) | 1 | 1 | 5.429 | 0.0223 |
| Model | AIC | Deviance | Adj R2 | |
| 480.799 | 86.1 | 85 | ||
| (b) | ||||
| Franz Josef Area GAM | ||||
| Area ~ s(Average_TMAX) + s(CO2) + s(Average_PRCP) + s(Global_Mean) | ||||
| Parametric coefficients: | Estimate | Std Error | T value | Pr (>|T|) |
| Intercept | 3211.96 | 58.77 | 54.65 | 2 × 10−16 |
| Smooth Terms | EDF | REF DEF | F | p-Value |
| s(Average_TMAX) | 1.988 | 2.4 | 1.671 | 0.186 |
| s(CO2) | 2.311 | 2.654 | 4 | 6.33 × 10−2 |
| s(Average_PRCP) | 1.363 | 1.607 | 1.167 | 0.2345 |
| s(Global_Mean) | 1 | 1 | 6.232 | 0.0224 |
| Model | AIC | Deviance | Adj R2 | |
| 380.5743 | 71.9 | 61.8 | ||
| (c) | ||||
| Gorner Terminal Point Distance GAM | ||||
| Distance ~ s(CO2) + s(Average_PRCP) + s(Average_TMAX) | ||||
| Parametric coefficients: | Estimate | Std Error | T value | Pr (>|T|) |
| Intercept | −7.3318 | 0.1289 | −56.87 | 2 × 10−16 |
| Smooth Terms | EDF | REF DEF | F | p-Value |
| s(Average_TMAX) | 1 | 1 | 1.908 | 0.17 |
| s(CO2) | 1.933 | 1.995 | 701.255 | 2 × 10−16 |
| s(Average_PRCP) | 1 | 1 | 0.132 | 0.717 |
| Model | AIC | Deviance | Adj R2 | |
| 324.23 | 94 | 93.7 | ||
| (d) | ||||
| Gorner Area GAM | ||||
| Area ~ s(CO2) + s(Average_PRCP) + s(Average_TAVG) | ||||
| Parametric coefficients: | Estimate | Std Error | T value | Pr (>|T|) |
| Intercept | 223,144 | 1262 | 176.8 | 2 × 10−16 |
| Smooth Terms | EDF | REF DEF | F | p-Value |
| s(Average_PRCP) | 1 | 1 | 0.989 | 0.3232 |
| s(CO2) | 1.492 | 1.742 | 364.248 | 2 × 10−16 |
| s(Average_TAVG) | 1 | 1 | 4.356 | 0.0401 |
| Model | AIC | Deviance | Adj R2 | |
| 1794.759 | 89.4 | 88.9 | ||
Disclaimer/Publisher’s Note: The statements, opinions and data contained in all publications are solely those of the individual author(s) and contributor(s) and not of MDPI and/or the editor(s). MDPI and/or the editor(s) disclaim responsibility for any injury to people or property resulting from any ideas, methods, instructions or products referred to in the content. |
© 2023 by the authors. Licensee MDPI, Basel, Switzerland. This article is an open access article distributed under the terms and conditions of the Creative Commons Attribution (CC BY) license (https://creativecommons.org/licenses/by/4.0/).
Share and Cite
Robbins, E.; Hlaing, T.T.; Webb, J.; Kachouie, N.N. Supervised Methods for Modeling Spatiotemporal Glacier Variations by Quantification of the Area and Terminus of Mountain Glaciers Using Remote Sensing. Algorithms 2023, 16, 486. https://doi.org/10.3390/a16100486
Robbins E, Hlaing TT, Webb J, Kachouie NN. Supervised Methods for Modeling Spatiotemporal Glacier Variations by Quantification of the Area and Terminus of Mountain Glaciers Using Remote Sensing. Algorithms. 2023; 16(10):486. https://doi.org/10.3390/a16100486
Chicago/Turabian StyleRobbins, Edmund, Thu Thu Hlaing, Jonathan Webb, and Nezamoddin N. Kachouie. 2023. "Supervised Methods for Modeling Spatiotemporal Glacier Variations by Quantification of the Area and Terminus of Mountain Glaciers Using Remote Sensing" Algorithms 16, no. 10: 486. https://doi.org/10.3390/a16100486
APA StyleRobbins, E., Hlaing, T. T., Webb, J., & Kachouie, N. N. (2023). Supervised Methods for Modeling Spatiotemporal Glacier Variations by Quantification of the Area and Terminus of Mountain Glaciers Using Remote Sensing. Algorithms, 16(10), 486. https://doi.org/10.3390/a16100486

