A Computational Approach to Overtaking Station Track Layout Design Using Graphs: An Extension That Supports Special Turnouts—An Improved Alternative Track Layout Proposal
Abstract
1. Introduction
1.1. Preliminary Railway Concepts
1.2. Related Previous Works
2. Materials and Methods
2.1. The “Special” Turnouts
- crossings, the simplest, that allow two tracks to cross; without allowing to switch tracks (there are no mobile parts);
- double-slip turnouts, that allow two tracks to cross; also allowing to switch tracks from each end of the two tracks, something such as two overlapping opposite turnouts (Figure 7);
- single-slip turnouts, that allow two tracks to cross; also allowing to switch tracks, but just from one of the two ends at each side of the apparatus; something such as half a crossing and an overlapping turnout;
- scissors crossings, a set consisting of four turnouts and a crossing (Figure 8).
2.2. The Approach of Estaciones Package
2.3. Unsuccessful Attempts to Handle a Scissors Crossover
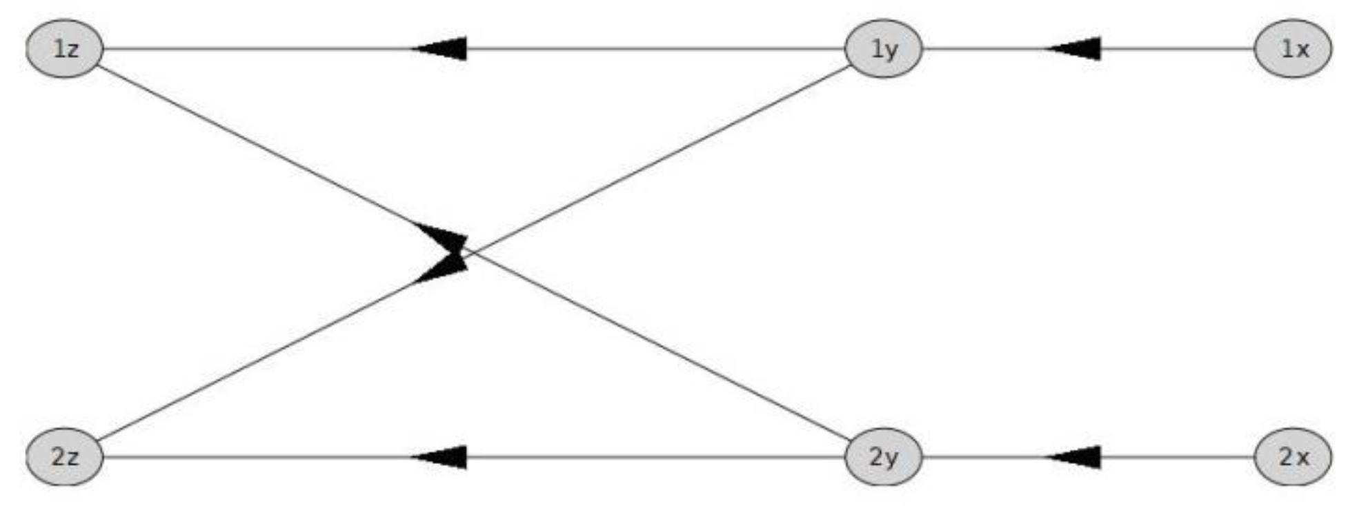
- First attempt: the crossing in the scissors crossing is represented by two directed arcs: (1y,2z) and (2y,1z) (Figure 11).
- The connectivity of the scissors crossing is correctly represented in the digraph; however, there is no way to detect whether the two routes intersect or not at the crossing.
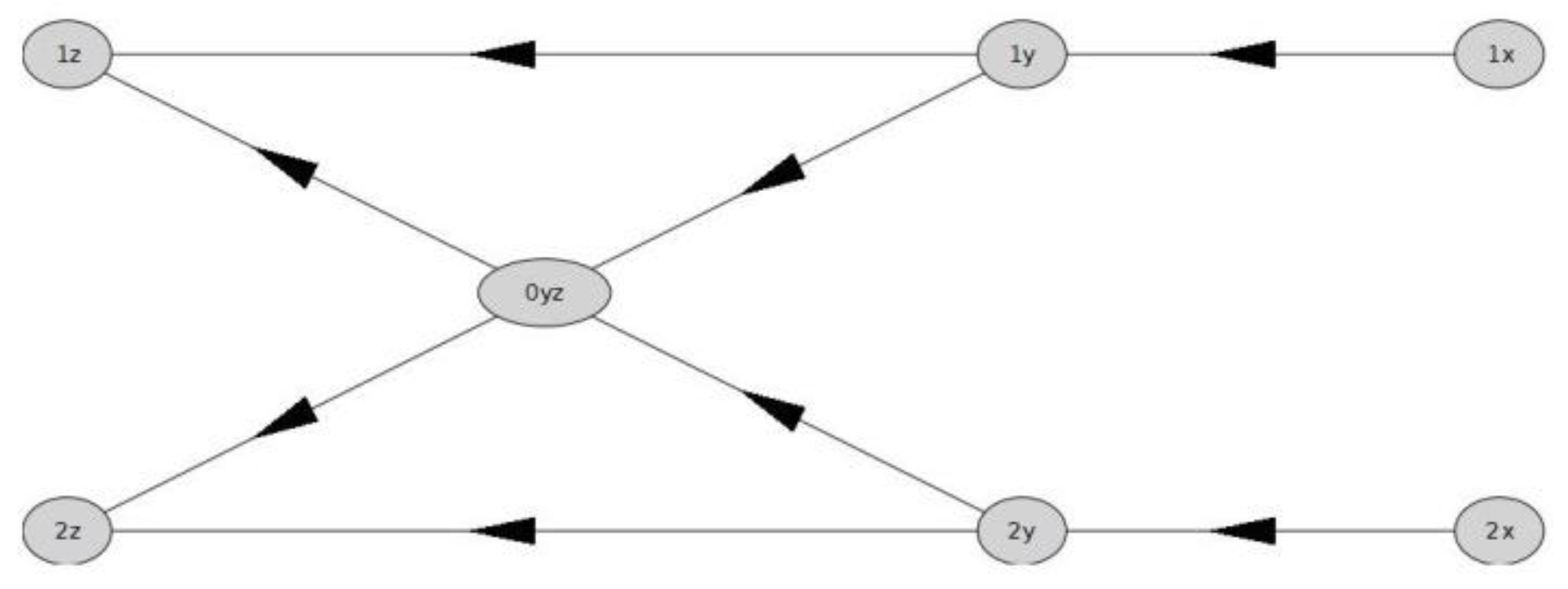
- Second attempt: a new vertex, denoted, for instance, 0yz, is included at the center of the scissors crossing (Figure 12); and the directed arcs (1y,2z) and (2y,1z) are substituted by (1y,0yz), (0yz,2z), (2y,0yz), and (0yz,1z). This way, it is straightforward to detect whether the two routes intersect or not at the crossing (just checking whether vertex 0yz belongs to both routes or not). Unfortunately, the connectivity of the digraph would not be correct, allowing, for instance, the route 1y→0yz→1z if there was a problem in the directed arc (1y,1z); as if the crossing was a double-slip turnout (which, by the way, would be absurd here to install and impossible to install—due to the short length of the crossing).
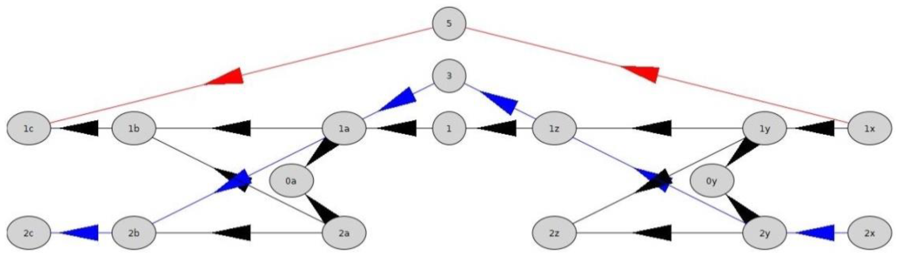
2.4. The Inspiration
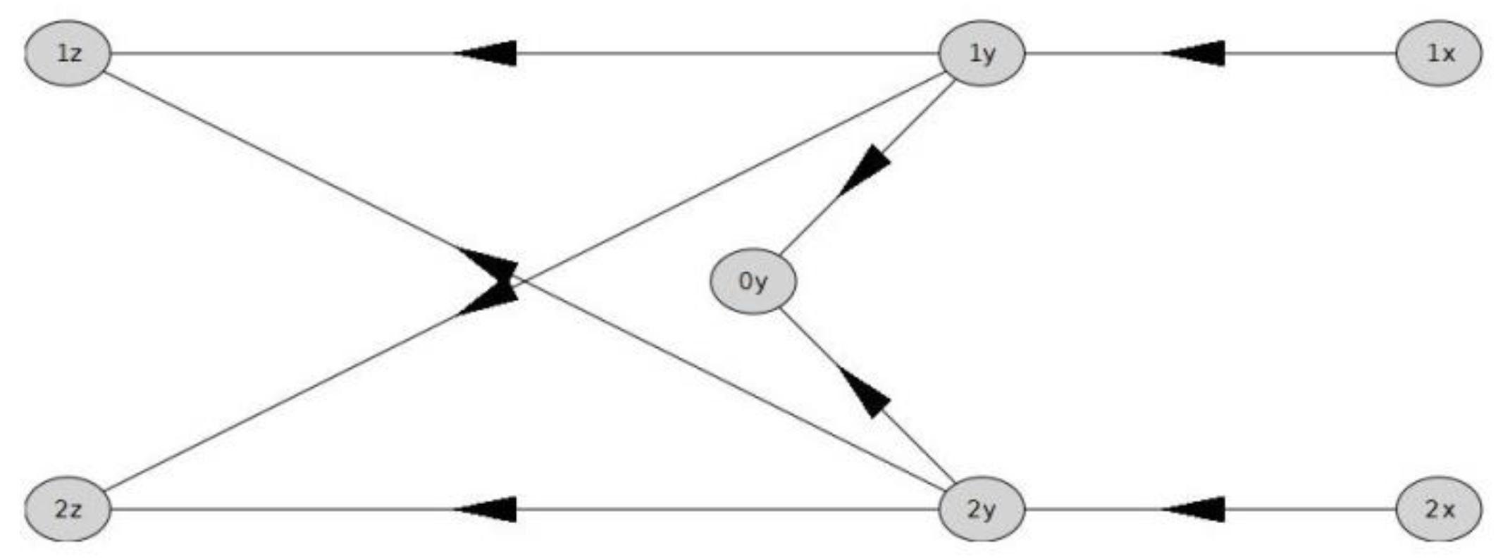
- The two directed arcs, (1y,2z) and (2y,1z), are not split;
- A new virtual end vertex, 0y, is included;
- Two new virtual directed arcs, (1y,0y) and (2y,0y), are added to the graph.
2.5. An Independent Improvement to Estaciones Package
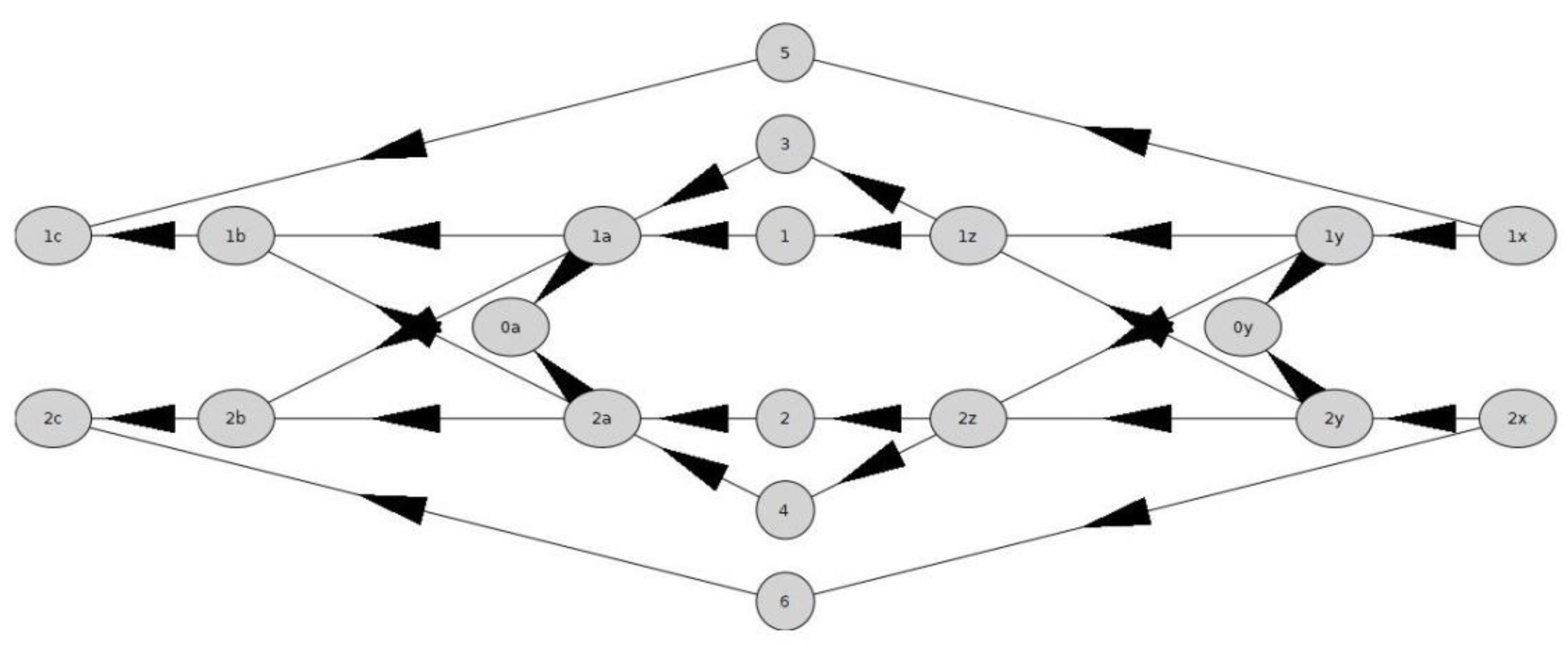
3. Results
4. Discussion
Supplementary Materials
Funding
Data Availability Statement
Conflicts of Interest
References
- Losada, M. Curso de Ferrocarriles: Explotación Técnica; E.T.S.I. Caminos: Madrid, Spain, 1991. [Google Scholar]
- Westwood, J. (Ed.) Trains; Octopus Books Ltd.: London, UK, 1979. [Google Scholar]
- Yi, S. Principles of Railway Location and Design; Academic Press: London, UK, 2018. [Google Scholar]
- Martín Cañizares, M.P. Contribución al Diseño Eficiente de la Configuración en Planta de Líneas de Alta Velocidad. Ph.D. Thesis, Universitat Politécnica de Catalunya, Barcelona, Spain, 2015. Available online: https://vlibre.org/619/01.pdf (accessed on 2 October 2022).
- Roanes-Lozano, E.; González-Franco, I.; Hernando, A.; García-Álvarez, A.; Mesa, L.E. Optimal Route Finding and Rolling-Stock Selection for the Spanish Railways. Comput. Sci. Eng. 2012, 14, 82–89. [Google Scholar] [CrossRef]
- Fundación de los Ferrocarriles Españoles. Available online: https://www.ffe.es/principal_en.asp (accessed on 2 October 2022).
- Calvera, P.J.; Casas Rodríguez, J.C. Las 250 Estaciones Españolas Con Ancho Ibérico Más Importantes; Gestión Ferroviaria S. L.: Barcelona, Spain, 2019. [Google Scholar]
- van Hulzen, J.A.; Calmet, J. Computer algebra systems. In Computer Algebra. Symbolic and Algebraic Manipulation; Buchberger, B., Collins, G.E., Loos, R., Eds.; Springer: Vienna, Austria, 1982; pp. 221–243. [Google Scholar]
- Wester, M.J. Computer Algebra Systems: A Practical Guide; Wiley: Chichester, UK, 1999. [Google Scholar]
- Bernardin, L.; Chin, P.; DeMarco, P.; Geddes, K.O.; Hare, D.E.G.; Heal, K.; Labahn, G.M.; May, J.P.; McCarron, J.; Monagan, M.B.; et al. Maple Programming Guide; Maplesoft, Waterloo Maple Inc.: Waterloo, ON, Canada, 2011; Available online: https://www.maplesoft.com/view.aspx?sf=103828/337201/programmingguide.pdf (accessed on 2 October 2022).
- Corless, R. Essential Maple. An Introduction for Scientific Programmers; Springer: New York, NY, USA, 1995. [Google Scholar]
- Heck, A. Introduction to Maple; Springer: New York, NY, USA, 2003. [Google Scholar]
- Maplesoft. Maple User Manual; Maplesoft, Waterloo Maple Inc.: Waterloo, ON, Canada, 2020; Available online: https://www.maplesoft.com/documentation_center/maple2020/UserManual.pdf (accessed on 2 October 2022).
- Roanes-Lozano, E. Looking for compatible routes in the railway interlocking system of an overtaking station using a computer algebra system. In Computer Algebra in Scientific Computing. CASC 2020; Boulier, F., England, M., Sadykov, T.M., Vorozhtsov, Eds.; Lecture Notes in Computer Science; Springer International Publishing Switzerland: Cham, Switzerland, 2020; Volume 12291, pp. 528–542. [Google Scholar] [CrossRef]
- Kavithaa, T.; Liebchenb, C.; Mehlhornc, K.; Michaild, D.; Rizzie, R.; Ueckerdtf, T.; Zweig, K.A. Cycle bases in graphs characterization, algorithms, complexity, and applications. Comp. Sci. Rev. 2009, 3, 199–243. [Google Scholar] [CrossRef]
- Roanes-Lozano, E.; Galán-García, J.L.; Aguilera-Venegas, G. A computer approach to overtaking station track layout diagram design using graphs. An alternative track diagram proposal for these stations. J. Comp. Appl. Math. 2021, 391, 113455. [Google Scholar] [CrossRef]
- Ebrahimi, M.; Ghebleh, M.; Javadi, M.; Monagan, M.; Wittkopf, A. A Graph Theory Package for Maple, Part II: Graph Coloring, Graph Drawing, Support Tools, and Networks. In Proceedings of the 2006 Maple Conference, Waterloo, ON, Canada, 23–26 July 2006; Maplesoft: Waterloo, ON, Canada, 2006; pp. 99–112. [Google Scholar]
- Farr, J.; Khatarinejad Fard, M.; Khodadad, S.; Monagan, M. A Graph Theory Package for Maple. In Proceedings of the 2005 Maple Conference, Waterloo, ON, Canada, 17–20 July 2005; Maplesoft: Waterloo, ON, Canada, 2005; pp. 260–271. [Google Scholar]
- Adif. Available online: http://www.adif.es/ (accessed on 2 October 2022).
- Estudio Informativo del Nuevo Complejo Ferroviario de la Estación de Madrid-Chamartín. Ministerio de Transportes, Movilidad y Agenda Urbana. Available online: https://www.mitma.gob.es/ferrocarriles/estudios-en-tramite/estudios-y-proyectos-en-tramite/chamartin (accessed on 2 October 2022).
- Adjudicada la Modificación de Las Instalaciones de Seguridad, ERTMS, Comunicaciones y Energía de Madrid-Chamartín. Boletín Vía Libre 30 July 2021. Available online: https://www.vialibre-ffe.com/noticias.asp?not=33047&cs=infr (accessed on 2 October 2022).
- Briginshaw, D. Adif Awards Madrid Track Remodelling Planning Contract. Int. Railw. J. 5 February 2020. Available online: https://www.railjournal.com/passenger/commuter-rail/adif-awards-madrid-track-remodelling-planning-contract/ (accessed on 2 October 2022).
- Comienzan las Obras del Nuevo Esquema de Vías de Estacionamiento de Ancho Convencional de Barcelona Sants. Boletín Vía Libre 25 May 2020. Available online: https://www.vialibre-ffe.com/noticias.asp?not=29524 (accessed on 2 October 2022).
- Segunda Fase del Nuevo Esquema de Vías de Estacionamiento de Ancho Convencional de Barcelona-Sants. Boletín Vía Libre 7 September 2020. Available online: https://www.vialibre.org/noticias.asp?not=30025 (accessed on 2 October 2022).
- Licitada la Ampliación de las Vías de Estacionamiento de Trenes AVE en Sevilla Santa Justa y Majarabique. Boletín Vía Libre 25 May 2020. Available online: https://www.vialibre.org/noticias.asp?not=29527 (accessed on 2 October 2022).
- Inaugurados la Nueva Estación y el Nuevo Haz de Vías de Canfranc, en Huesca. Boletín Vía Libre 16 April 2021. Available online: https://www.vialibre-ffe.com/noticias.asp?not=31308&cs=infr (accessed on 2 October 2022).
- Licitadas las Obras Para la Sustitución de Desvíos Para Mejorar la Circulación Entre Granada y Almería. Boletín Vía Libre 11 March 2021. Available online: https://www.vialibre-ffe.com/noticias.asp?not=31123&cs=infr (accessed on 2 October 2022).
- Roanes-Lozano, E.; González-Martín, R.; Montero, J. A Knowledge-Based System for DC Railway Electrification Verification. Math. Comp. Sci. 2019, 13, 449–457. [Google Scholar] [CrossRef]
- Powell, S.; Wong, H.Y. A deterministic approach to evaluating transport infrastructure at a terminus. Trans. Res. A 2000, 34, 287–302. [Google Scholar] [CrossRef]
- Falcón, R.; Barrena, E.; Canca, D.; Laporte, G. Counting and enumerating feasible rotating schedules by means of Gröbner bases. Math. Comput. Simul. 2016, 125, 139–151. [Google Scholar] [CrossRef]
- Laporte, G.; Mesa, J.A.; Ortega, F.A.; Pozo, M.A. Locating a metro line in a historical city centre: Application to Sevilla. J. Oper. Res. Soc. 2009, 60, 1462–1466. [Google Scholar] [CrossRef]
- Xiangxian, C.; Yulin, H.; Huang, H. A component-based topology model for railway interlocking systems. Math. Comput. Simul. 2011, 81, 1892–1900. [Google Scholar] [CrossRef]

















| Standard 2 Sidings (Each Side) Track Layout (Figure 4) | Alternative 2 Sidings (Each Side) Track Layout from [16] (Figure 6) | New Alternative 2 Sidings (Each Side) Layout (Figure 14) | |
|---|---|---|---|
| Flexibility index (sum of the amounts below) | 9 | 17 | 21 |
| Disjoint trails with t.s.p.t. section 1 | 0 | 1 | 3 |
| Disjoint trails with t.s.p.t. section 2 | 0 | 1 | 3 |
| Disjoint trails with t.s.p.t. section 3 | 0 | 4 | 4 |
| Disjoint trails with t.s.p.t. section 4 | 3 | 3 | 3 |
| Disjoint trails with t.s.p.t. section 5 | 3 | 3 | 3 |
| Disjoint trails with t.s.p.t. section 6 | 3 | 5 | 5 |
Publisher’s Note: MDPI stays neutral with regard to jurisdictional claims in published maps and institutional affiliations. |
© 2022 by the author. Licensee MDPI, Basel, Switzerland. This article is an open access article distributed under the terms and conditions of the Creative Commons Attribution (CC BY) license (https://creativecommons.org/licenses/by/4.0/).
Share and Cite
Roanes-Lozano, E. A Computational Approach to Overtaking Station Track Layout Design Using Graphs: An Extension That Supports Special Turnouts—An Improved Alternative Track Layout Proposal. Algorithms 2022, 15, 368. https://doi.org/10.3390/a15100368
Roanes-Lozano E. A Computational Approach to Overtaking Station Track Layout Design Using Graphs: An Extension That Supports Special Turnouts—An Improved Alternative Track Layout Proposal. Algorithms. 2022; 15(10):368. https://doi.org/10.3390/a15100368
Chicago/Turabian StyleRoanes-Lozano, Eugenio. 2022. "A Computational Approach to Overtaking Station Track Layout Design Using Graphs: An Extension That Supports Special Turnouts—An Improved Alternative Track Layout Proposal" Algorithms 15, no. 10: 368. https://doi.org/10.3390/a15100368
APA StyleRoanes-Lozano, E. (2022). A Computational Approach to Overtaking Station Track Layout Design Using Graphs: An Extension That Supports Special Turnouts—An Improved Alternative Track Layout Proposal. Algorithms, 15(10), 368. https://doi.org/10.3390/a15100368
