The Modeling of Time Series Based on Least Square Fuzzy Cognitive Map
Abstract
1. Introduction
2. Preliminaries
2.1. Fuzzy c-Means Clustering
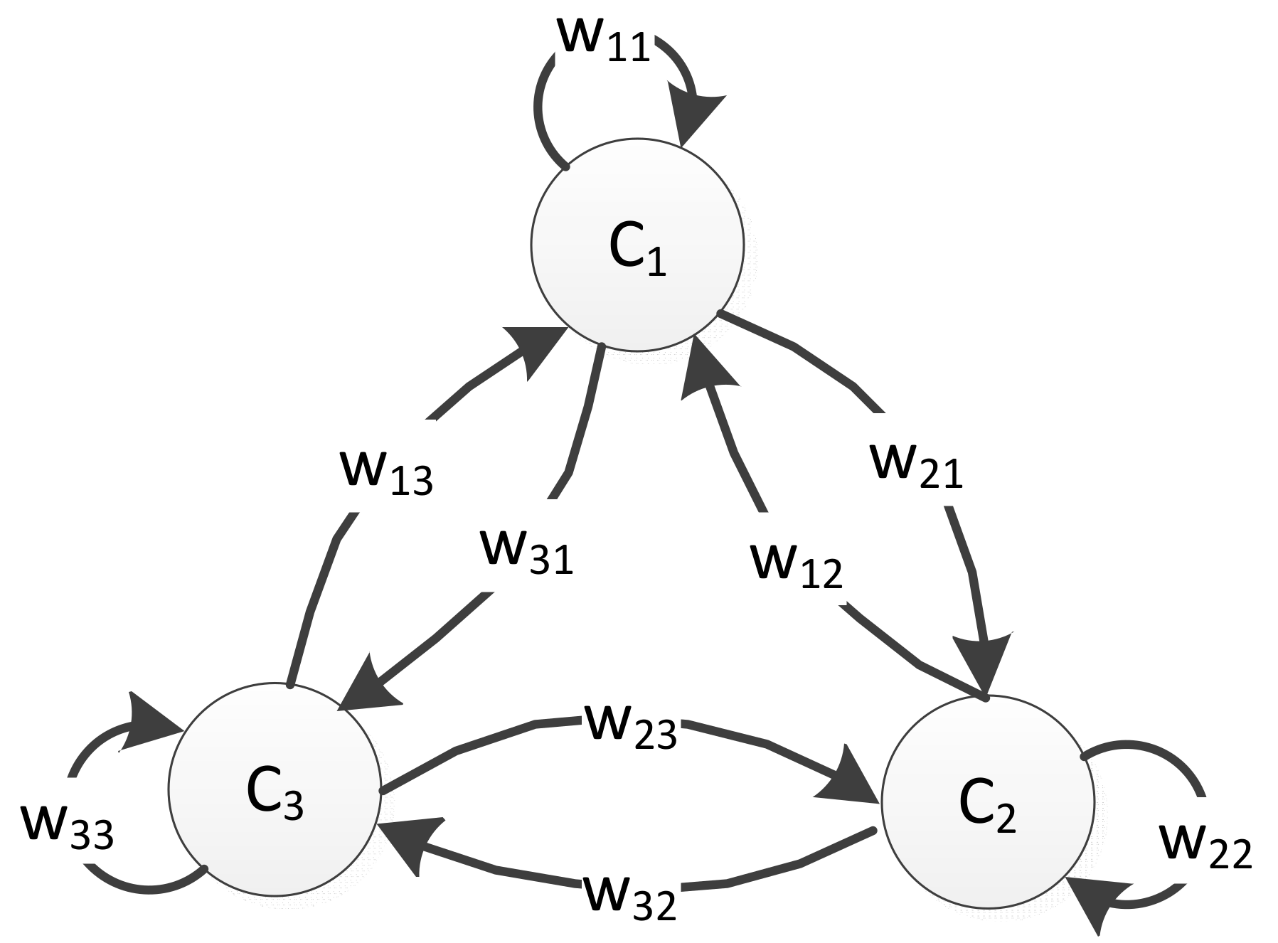
2.2. Fuzzy Cognitive Map
3. The Learning of Least Square Fuzzy Cognitive Map
| Algorithm 1: LSFCM |
| Input: Concepts and its state values matrix . |
| 1 X = ; |
| 2 ; |
| 3 If Then |
| 4 ; |
| 5 Else If Then |
| 6 ; |
| 7 End If |
| 8 ; |
| 9 ; |
| 10 , where ; |
| Return the estimated weight matrix . |
4. Modeling Time Series Using LSFCM
4.1. Constructing the LSFCM Model
4.2. Refinements of LSFCM Model
5. Results
5.1. The Influence of the Parameters of the Proposed Model
5.2. Comparison with Other Methods
6. Conclusions
Author Contributions
Funding
Conflicts of Interest
References
- Yardimci, A. Soft computing in medicine. Appl. Soft Comput. 2009, 9, 1029–1043. [Google Scholar] [CrossRef]
- Song, Q.; Chissom, B.S. Fuzzy time series and its models. Fuzzy Sets Syst. 1993, 54, 269–277. [Google Scholar] [CrossRef]
- Singh, P. A brief review of modeling approaches based on fuzzy time series. Int. J. Mach. Learn. Cybern. 2015, 8, 397–420. [Google Scholar] [CrossRef]
- Bose, M.; Mali, K. Designing fuzzy time series forecasting models: A survey. Int. J. Approx. Reason. 2019, 111, 78–99. [Google Scholar] [CrossRef]
- Kosko, B. Fuzzy cognitive maps. Int. J. Man Mach. Stud. 1986, 24, 65–75. [Google Scholar] [CrossRef]
- Felix, G.; Nápoles, G.; Falcon, R.; Froelich, W.; Vanhoof, K.; Bello, R. A review on methods and software for fuzzy cognitive maps. Artif. Intell. Rev. 2019, 52, 1707–1737. [Google Scholar] [CrossRef]
- Froelich, W.; Salmeron, J.L. Evolutionary learning of fuzzy grey cognitive map for the forecasting of multivariate, interval-valued time series. Int. J. Approx. Reason. 2014, 55, 1319–1335. [Google Scholar] [CrossRef]
- Nápoles, G.; Grau, I.; Papageorgiou, E.; Bello, R.; Vanhoof, K. Rough Cognitive Networks. Knowl. Based Syst. 2016, 91, 46–61. [Google Scholar] [CrossRef]
- Salmeron, J.L.; Vidal, R.; Mena, A.; Mena-Nieto, A. Ranking fuzzy cognitive map based scenarios with TOPSIS. Expert Syst. Appl. 2012, 39, 2443–2450. [Google Scholar] [CrossRef]
- Stach, W.; Kurgan, L.; Pedrycz, W. A divide and conquer method for learning large Fuzzy Cognitive Maps. Fuzzy Sets Syst. 2010, 161, 2515–2532. [Google Scholar] [CrossRef]
- Stach, W.; Kurgan, L.; Pedrycz, W. A Survey of Fuzzy Cognitive Map Learning Methods. Available online: http://128.172.132.65/papers/chapterSurveyFCM2003.pdf (accessed on 20 January 2021).
- Papageorgiou, E.I. Learning Algorithms for Fuzzy Cognitive Maps—A Review Study. IEEE Trans. Syst. Man Cybern. Part C Appl. Rev. 2012, 42, 150–163. [Google Scholar] [CrossRef]
- Papageorgiou, E.; Stylios, C.; Groumpos, P. Fuzzy Cognitive Map Learning Based on Nonlinear Hebbian Rule. In Australasian Joint Conference on Artificial Intelligence; Springer International Publishing: Berlin/Heidelberg, Germany, 2003; pp. 256–268. [Google Scholar]
- Papageorgiou, E.I.; Stylios, C.D.; Groumpos, P.P. Active Hebbian learning algorithm to train fuzzy cognitive maps. Int. J. Approx. Reason. 2004, 37, 219–249. [Google Scholar] [CrossRef]
- Papageorgiou, E.I.; Groumpos, P. A weight adaptation method for fine-tuning Fuzzy Cognitive Map causal links. Soft Comput. 2005, 9, 846–857. [Google Scholar] [CrossRef]
- Stach, W.; Kurgan, L.; Pedrycz, W.; Reformat, M. Genetic learning of fuzzy cognitive maps. Fuzzy Sets Syst. 2008, 153, 371–401. [Google Scholar] [CrossRef]
- Ghazanfari, M.; Alizadeh, S.; Fathian, M.; Koulouriotis, D.E. Comparing simulated annealing and genetic algorithm in learning FCM. Ap-pl. Math. Comput. 2007, 192, 56–68. [Google Scholar] [CrossRef]
- Papageorgiou, E.I.; Parsopoulos, K.E.; Stylios, C.S.; Groumpos, P.P.; Vrahatis, M.N. Fuzzy Cognitive Maps Learning Using Particle Swarm Optimization. J. Intell. Inf. Syst. 2005, 25, 95–121. [Google Scholar] [CrossRef]
- Mateou, N.H.; Moiseos, M.; Andreou, A.S. Multi-objective evolutionary fuzzy cognitive maps for decision support. In Proceedings of the IEEE Congress on Evolutionary Computation, CEC 2005, Edinburgh, UK, 2–4 September 2005; pp. 824–830. [Google Scholar]
- Froelich, W.; Juszczuk, P. Predictive Capabilities of Adaptive and Evolutionary Fuzzy Cognitive Maps—A Comparative Study. In Intelligent Systems for Knowledge Management; Springer: Berlin/Heidelberg, Germany, 2009; pp. 153–174. [Google Scholar]
- Wu, K.; Liu, J. Learning of Sparse Fuzzy Cognitive Maps Using Evolutionary Algorithm with Lasso Initialization. In Asia-Pacific Conference on Simulated Evolution and Learning; Springer: Cham, Switzerland, 2017; pp. 385–396. [Google Scholar]
- Lu, W.; Feng, G.; Liu, X.; Pedrycz, W.; Zhang, L.; Yang, J. Fast and Effective Learning for Fuzzy Cognitive Maps: A Method Based on Solving Constrained Convex Optimization Problems. IEEE Trans. Fuzzy Syst. 2020, 28, 2958–2971. [Google Scholar] [CrossRef]
- Feng, G.; Lu, W.; Pedrycz, W.; Yang, J.; Liu, X. The Learning of Fuzzy Cognitive Maps with Noisy Data: A Rapid and Robust Learning Method with Maximum Entropy. IEEE Trans. Cybern. 2019, 1–13. [Google Scholar] [CrossRef]
- Stach, W.; Kurgan, L.A.; Pedrycz, W. Numerical and Linguistic Prediction of Time Series with the Use of Fuzzy Cognitive Maps. IEEE Trans. Fuzzy Syst. 2008, 16, 61–72. [Google Scholar] [CrossRef]
- Papageorgiou, E.I.; Froelich, W. Application of Evolutionary Fuzzy Cognitive Maps for Prediction of Pulmonary Infections. IEEE Trans. Inf. Technol. Biomed. 2011, 16, 143–149. [Google Scholar] [CrossRef]
- Papageorgiou, E.I.; Froelich, W. Multi-step prediction of pulmonary infection with the use of evolutionary fuzzy cognitive maps. Neurocomputing 2012, 92, 28–35. [Google Scholar] [CrossRef]
- Yang, S.; Liu, J. Time-Series Forecasting Based on High-Order Fuzzy Cognitive Maps and Wavelet Transform. IEEE Trans. Fuzzy Syst. 2018, 26, 3391–3402. [Google Scholar] [CrossRef]
- Lu, W.; Yang, J.; Liu, X.; Pedrycz, W. The modeling and prediction of time series based on synergy of high-order fuzzy cognitive map and fuzzy c-means clustering. Knowl. Based Syst. 2014, 70, 242–255. [Google Scholar] [CrossRef]
- Lu, W. The Hybrids Algorithm Based on Fuzzy Cognitive Map for Fuzzy Time Series Prediction. J. Inf. Comput. Sci. 2014, 11, 357–366. [Google Scholar] [CrossRef]
- Homenda, W.; Jastrzębska, A.; Pedrycz, W. Nodes Selection Criteria for Fuzzy Cognitive Maps Designed to Model Time Series. In Intelligent Systems’ 2014; Springer: Cham, Switzerland, 2015; Volume 323, pp. 859–870. [Google Scholar]
- Salmeron, J.L.; Froelich, W. Dynamic optimization of fuzzy cognitive maps for timeseries forecasting. Knowl. Based Syst. 2016, 105, 29–37. [Google Scholar] [CrossRef]
- Froelich, W.; Papageorgiou, E.I.; Samarinas, M.; Skriapas, K. Application of evolutionary fuzzy cognitive maps to the long-term prediction of prostate cancer. Appl. Soft Comput. 2012, 12, 3810–3817. [Google Scholar] [CrossRef]
- Homenda, W.; Jastrzebska, A.; Pedrycz, W. Modeling time series with fuzzy cognitive maps. In Proceedings of the 2014 IEEE International Conference on Fuzzy Systems (FUZZ-IEEE), Beijing, China, 6–11 July 2014; pp. 2055–2062. [Google Scholar]
- Bezdek, J.C.; Ehrlich, R.; Full, W. FCM: The fuzzy c-means clustering algorithm. Comput. Geosci. 1984, 10, 191–203. [Google Scholar] [CrossRef]
- Pedrycz, W.; Jastrzebska, A.; Homenda, W. Design of fuzzy cognitive maps for modeling time series. IEEE Trans. Fuzzy Syst. 2016, 24, 120–130. [Google Scholar] [CrossRef]







| NO. | Time Series | Size |
|---|---|---|
| (a) | Mean daily flow, Oldman River near Brocket, Jan 01, 1988 to Dec 31, 1991 | 1461 |
| (b) | Monthly Boston armed robberies Jan.1966-Oct.1975 | 118 |
| (c) | Nigeria power consumption | 123 |
| (d) | Annual water use in New York city, liters per capita per day, 1898–1968 | 71 |
| (e) | Annual sheep population (1000s) in England and Wales 1867–1939 | 73 |
| (f) | Births per 10,000 of 23-year-old women, U.S., 1917–1975 | 59 |
| (g) | Daily open prices of the S&P 500 stock index, May 16, 2017 to May 15, 2020 | 756 |
| (h) | Daily close prices of the Dow Jones industrial index, May 1, 2019 to April 29, 2020 | 252 |
| Data | PSO-FCM | GA-FCM | LSFCM | LSFCM-Ref |
|---|---|---|---|---|
| (a) (c = 10) | 11.66 | 12.4 | 11.48 | 10.47 |
| (b) (c = 10) | 38.5 | 38.4 | 41.6 | 37.46 |
| (c) (c = 7) | 8328 | 8386 | 8999 | 7753 |
| (d) (c = 7) | 23.5 | 23.6 | 26.1 | 22.8 |
| (e) (c = 7) | 79.28 | 80.39 | 80.55 | 73.23 |
| (f)(c = 6) | 11.8 | 13.1 | 12.89 | 10.51 |
| (g)(c = 9) | 34.14 | 35.02 | 34.58 | 33.21 |
| (h)(c = 10) | 543.82 | 545.83 | 542.79 | 518.88 |
| Data | Naive | ARIMA | SES | Holt–Winters | LSFCM | LSFCM-Ref |
|---|---|---|---|---|---|---|
| (a) | 13.12 | 10.51 | 22.13 | 13.14 | 11.48 | 10.47 |
| (b) | 61.92 | 60.67 | 62.79 | 64.02 | 41.6 | 37.46 |
| (c) | 11,435 | 10945 | 14320 | 10605 | 8999 | 7753 |
| (d) | 27.31 | 28.50 | 28.33 | 28.78 | 26.1 | 22.8 |
| (e) | 82.34 | 82.65 | 82.34 | 105.27 | 80.55 | 73.23 |
| (f) | 13.14 | 12.63 | 13.15 | 13.65 | 12.89 | 10.51 |
| (g) | 46.13 | 46.49 | 96.55 | 46.75 | 34.58 | 33.21 |
| (h) | 949.61 | 939.64 | 1464.15 | 1042.99 | 542.79 | 518.88 |
Publisher’s Note: MDPI stays neutral with regard to jurisdictional claims in published maps and institutional affiliations. |
© 2021 by the authors. Licensee MDPI, Basel, Switzerland. This article is an open access article distributed under the terms and conditions of the Creative Commons Attribution (CC BY) license (http://creativecommons.org/licenses/by/4.0/).
Share and Cite
Feng, G.; Lu, W.; Yang, J. The Modeling of Time Series Based on Least Square Fuzzy Cognitive Map. Algorithms 2021, 14, 69. https://doi.org/10.3390/a14030069
Feng G, Lu W, Yang J. The Modeling of Time Series Based on Least Square Fuzzy Cognitive Map. Algorithms. 2021; 14(3):69. https://doi.org/10.3390/a14030069
Chicago/Turabian StyleFeng, Guoliang, Wei Lu, and Jianhua Yang. 2021. "The Modeling of Time Series Based on Least Square Fuzzy Cognitive Map" Algorithms 14, no. 3: 69. https://doi.org/10.3390/a14030069
APA StyleFeng, G., Lu, W., & Yang, J. (2021). The Modeling of Time Series Based on Least Square Fuzzy Cognitive Map. Algorithms, 14(3), 69. https://doi.org/10.3390/a14030069

