Novel Mg-Doped SrMoO3 Perovskites Designed as Anode Materials for Solid Oxide Fuel Cells
Abstract
:1. Introduction
2. Experimental Section
3. Result and Discussion
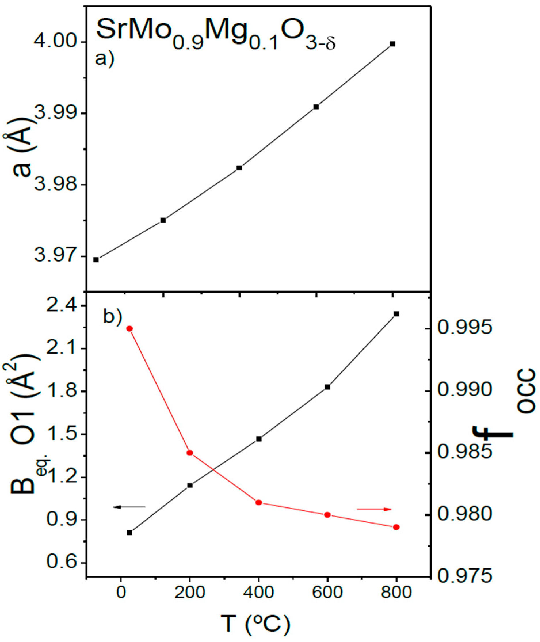
3.1. Crystallographic Characterization
3.2. Thermal Analysis
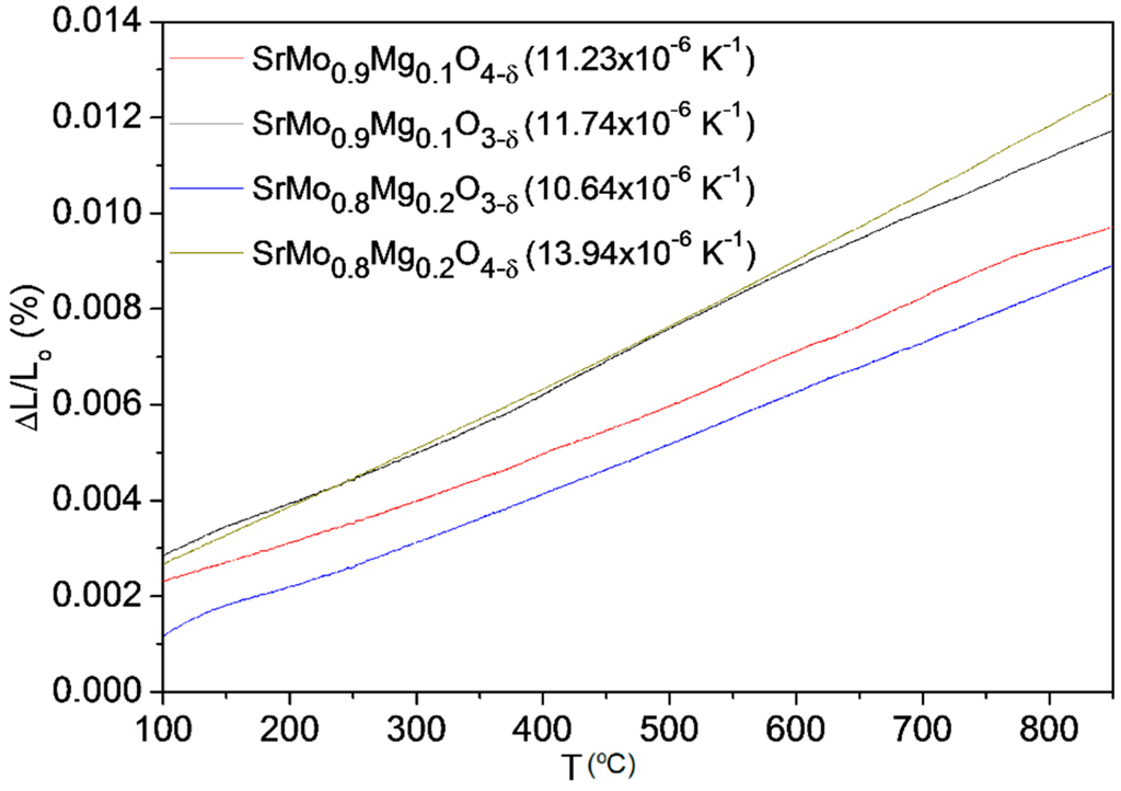
3.3. Thermal Expansion Measurements
3.4. Electrical Conductivity Measurements
3.5. Chemical Compatibility
3.6. Fuel-Cell Tests
4. Conclusions
Acknowledgments
Author Contributions
Conflicts of Interest
References
- Jiang, S.P.; Chan, S.H. Development of Ni/Y2O3-ZrO2 cermet anodes for solid oxide fuel cells. Mater. Sci. Technol. 2004, 20, 1109–1118. [Google Scholar] [CrossRef]
- Steele, B.C.H.; Kelly, I.; Middleton, M.; Rudkin, R. Oxidation of methane in solid state electrochemical reactors. Solid State Ion. 1988, 28–30, 1547–1552. [Google Scholar] [CrossRef]
- Matsuzaki, Y.; Yasuta, I. The poisoning effect of sulfur-containing impurity gas on a SOFC anode: Part I. Dependence on temperature, time, and impurity concentration. Solid State Ion. 2000, 132, 261–269. [Google Scholar] [CrossRef]
- Wang, J.H.; Liu, M. Computational study of sulfur–nickel interactions: A new S–Ni phase diagram. Electrochem. Commun. 2007, 9, 2212–2217. [Google Scholar] [CrossRef]
- Mizoguchi, H.; Fukumi, K.; Kitamura, N.; Takeuchi, T.; Hayakawa, J.; Yamanaka, H.; Hosono, H.; Kawazoe, H. Electronic structure of polycrystalline AMoO3 (A = Sr or Ba). J. Appl. Phys. 2000, 85, 6502–6505. [Google Scholar] [CrossRef]
- Martínez-Coronado, R.; Alonso, J.A.; Aguadero, A.; Fernández-Díaz, M.T. Optimized energy conversion efficiency in solid oxide fuel cells implementing SrMo1−xFexO3−δ perovskites as anodes. J. Power Sources 2012, 208, 153–158. [Google Scholar] [CrossRef]
- Martínez-Coronado, R.; Alonso, J.A.; Aguadero, A.; Fernández-Díaz, M.T. New SrMo1−xCrxO3−δ perovskites as anodes in solid-oxide fuel cells. Int. J. Hydrogen Energy 2014, 39, 4067–4073. [Google Scholar] [CrossRef]
- Shannon, R.D. Revised effective ionic radio and systematic studies of interatomic distances in halides and chalcogenides. Acta. Crystallogr. A 1976, 32, 751–767. [Google Scholar] [CrossRef]
- Rietveld, H.M.A. Profile refinement method for nuclear and magnetic structures. J. Appl. Crystallogr. 1969, 2, 65–71. [Google Scholar] [CrossRef]
- Rodríguez-Carvajal, J. Recent advances in magnetic structure determination by neutron powder diffraction. Physica B 1993, 192, 55–69. [Google Scholar] [CrossRef]
- Macquart, R.B.; Kennedy, B.J.; Avdeev, M. Neutron diffraction study of phase transitions in perovskite-type strontium molybdate SrMoO3. J. Solid State Chem. 2010, 183, 250–255. [Google Scholar] [CrossRef]
- Kuepper, K.; Balasz-Mureşan, I.I.; Hesse, H.; Neumann, M. Electronic and magnetic properties of highly ordered Sr2FeMoO6. Phys. Status Solidi 2004, 201, 3252–3256. [Google Scholar] [CrossRef]
- Gong, Y.; Sun, C.; Huang, Q.; Alonso, J.A.; Fernández-Dáaz, M.T.; Chen, L. Dynamic Octahedral Breathing in Oxygen-Deficient Ba0.9Co0.7Fe0.2Nb0.1O3−δ Perovskite Performing as a Cathode in Intermediate-Temperature SOFC. Inorg. Chem. 2016, 55, 3091–3097. [Google Scholar] [CrossRef] [PubMed]
- Huang, Y.H.; Dass, R.I.; Xing, Z.L.; Goodenough, J.B. Double perovskites as anode materials for solid-oxide fuel cells. Science 2006, 312, 254–257. [Google Scholar] [CrossRef] [PubMed]
- Bossche, M.; McIntosh, S. On the methane oxidation activity of Sr2(MgMo)2O6−δ a potential anode material for direct hydrocarbon solid oxide fuel cells. J. Mater. Chem. 2011, 21, 7443–7451. [Google Scholar] [CrossRef]
- Bernuy-Lopez, C.; Allix, M.; Bridges, C.A.; Claridge, J.B.; Rosseinsky, M.J. Sr2MgMoO6−δ: Structure, phase stability and cation site order control od reduction. Chem. Mater. 2007, 19, 1035–1043. [Google Scholar] [CrossRef]
- Smith, B.H.; Gross, M.D. A highly conductive oxide anode for solid oxide fuel cells. Electrochem. Sol.-State Lett 2011, 14, 1–5. [Google Scholar] [CrossRef]













| SrMo1−xMgxO3−δ | x = 0 a | x = 0.1 | x = 0.2 |
|---|---|---|---|
| a (Å) | 3.97629(3) | 3.96948(1) | 3.96494(6) |
| V (Å3) | 62.869(7) | 62.546(1) | 62.332(2) |
| Sr 1b (½, ½, ½) | |||
| Biso (Å2) | 0.77(3) | 0.815(3) | 1.223(3) |
| focc | 1.00 | 1.00 | 1.00 |
| Mo/Mg 1a (0, 0, 0) | |||
| Biso (Å2) | 0.55(4) | 0.245(3) | 0.575(2) |
| Mo/Mg focc | 1.00 | 0.894(1)/0.108(1) | 0.744(1)/0.255(1) |
| O1 3d (½, 0, 0) | |||
| β11 * | - | 41(7) | 103(8) |
| β22 * | - | 172(5) | 219(5) |
| β33 * | - | 172(5) | 219(5) |
| Beq (Å2) | 0.75(10) | 0.81 | 1.14 |
| focc | 1.00 | 0.995(1) | 0.982(1) |
| Reliability factors | |||
| χ2 | - | 5.35 | 1.69 |
| Rp (%) | - | 3.97 | 4.64 |
| Rwp (%) | - | 5.17 | 6.22 |
| Rexp (%) | - | 2.23 | 4.76 |
| RBragg (%) | - | 2.84 | 2.70 |
| Distances (Å) | |||
| (Sr)–(O1) | - | 2.80684(3) | 2.80364(3) |
| (Mo/Mg)–(O1) | 1.98814(1) | 1.98474(2) | 1.98247(3) |
| SrMo0.9Mg0.1O3−δ | 25 °C | 200 °C | 400 °C | 600 °C | 800 °C |
|---|---|---|---|---|---|
| a (Å) | 3.96948(1) | 3.97503(7) | 3.98237(6) | 3.99096(6) | 3.99971(6) |
| V (Å)3 | 62.546(1) | 62.809(2) | 63.158(2) | 63.567(2) | 63.986(2) |
| Sr 1b (½, ½, ½) | |||||
| Biso (Å2) | 0.815(3) | 1.238(3) | 1.633(3) | 2.024(3) | 2.452(4) |
| focc | 1.00 | 1.00 | 1.00 | 1.00 | 1.00 |
| Mo/Mg 1a (0, 0, 0) | |||||
| Biso (Å2) | 0.245(3) | 0.3783) | 0.465(3) | 0.678(3) | 0.886(3) |
| Mo/Mg focc | 0.894(1)/0.108(1) | 0.894(1)/0.108(1) | 0.894(1)/0.108(1) | 0.894(1)/0.108(1) | 0.894(1)/0.108(1) |
| O1 3d (½, 0, 0) | |||||
| β11 * | 41(7) | 81(8) | 97(7) | 137(8) | 170(8) |
| β22 * | 172(5) | 231(6) | 298(5) | 381(6) | 465(6) |
| β33 * | 172(5) | 231(6) | 298(5) | 381(6) | 465(6) |
| Beq (Å2) | 0.81 | 1.14 | 1.47 | 1.83 | 2.34 |
| focc | 0.995(1) | 0.985(3) | 0.988(1) | 0.980(1) | 0.979(1) |
| Reliability factors | |||||
| χ2 | 5.35 | 2.02 | 2.79 | 2.65 | 2.88 |
| Rp (%) | 3.97 | 3.93 | 3.25 | 3.19 | 2.89 |
| Rwp (%) | 5.17 | 5.01 | 4.19 | 4.12 | 3.82 |
| Rexp (%) | 2.23 | 3.53 | 2.51 | 2.53 | 2.25 |
| RBragg (%) | 2.84 | 2.69 | 3.97 | 3.96 | 3.99 |
| Distances (Å) | |||||
| (Sr)-(O1) | 2.80684(3) | 2.81077(4) | 2.81596(3) | 2.82204(3) | 2.82822(3) |
| (Mo/Mg)-(O1) | 1.98474(2) | 1.98752(4) | 1.99119(3) | 1.99548(3) | 1.99986(3) |
© 2016 by the authors; licensee MDPI, Basel, Switzerland. This article is an open access article distributed under the terms and conditions of the Creative Commons Attribution (CC-BY) license (http://creativecommons.org/licenses/by/4.0/).
Share and Cite
Cascos, V.; Alonso, J.A.; Fernández-Díaz, M.T. Novel Mg-Doped SrMoO3 Perovskites Designed as Anode Materials for Solid Oxide Fuel Cells. Materials 2016, 9, 588. https://doi.org/10.3390/ma9070588
Cascos V, Alonso JA, Fernández-Díaz MT. Novel Mg-Doped SrMoO3 Perovskites Designed as Anode Materials for Solid Oxide Fuel Cells. Materials. 2016; 9(7):588. https://doi.org/10.3390/ma9070588
Chicago/Turabian StyleCascos, Vanessa, José Antonio Alonso, and María Teresa Fernández-Díaz. 2016. "Novel Mg-Doped SrMoO3 Perovskites Designed as Anode Materials for Solid Oxide Fuel Cells" Materials 9, no. 7: 588. https://doi.org/10.3390/ma9070588
APA StyleCascos, V., Alonso, J. A., & Fernández-Díaz, M. T. (2016). Novel Mg-Doped SrMoO3 Perovskites Designed as Anode Materials for Solid Oxide Fuel Cells. Materials, 9(7), 588. https://doi.org/10.3390/ma9070588

