An Artificial Neural Network-Based Algorithm for Evaluation of Fatigue Crack Propagation Considering Nonlinear Damage Accumulation
Abstract
:1. Introduction
2. Methodology
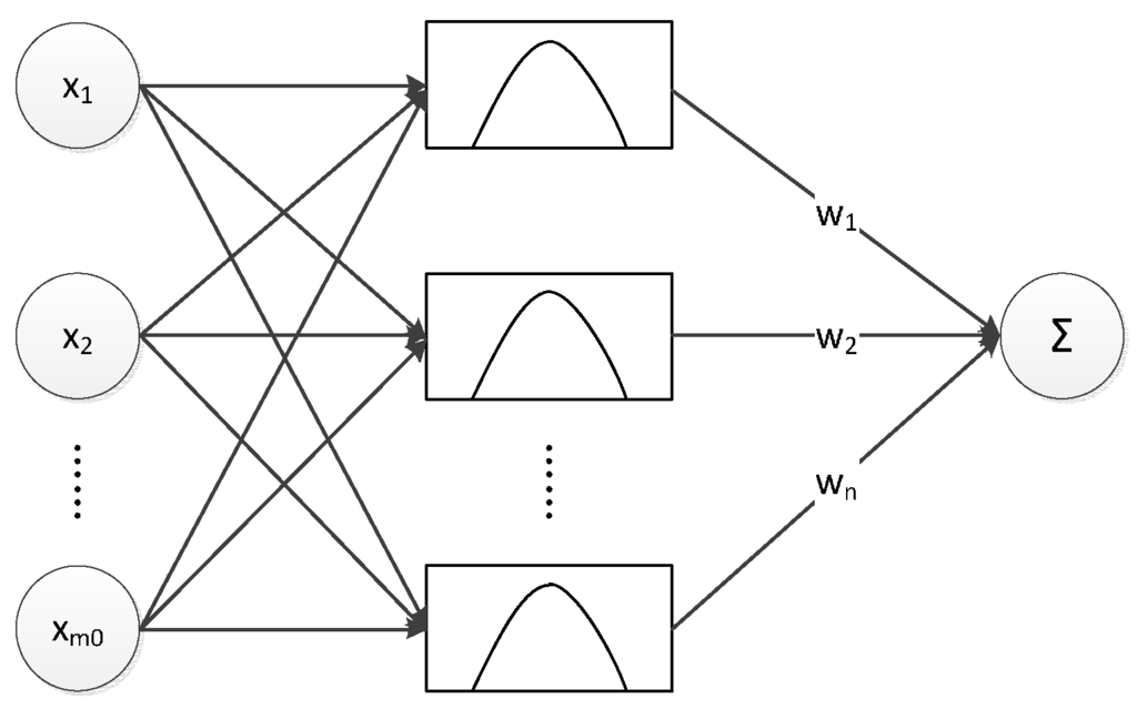
2.1. Radial Basis Function Artificial Neural Network
2.2. The Establishment and Training of the Artificial Neural Network (ANN)
2.2.1. The Constant Amplitude Loading
2.2.2. Single Overload
2.3. A Fatigue Life Prediction Method
3. Validation and Comparison
3.1. Validation and Comparison of the Constant Loading with Different Stress Ratios
3.1.1. ANN Training
3.1.2. Crack Growth Calculation under Constant Amplitude Loading
3.2. Validation and Comparison of the Constant Loading with a Few Overloads
3.2.1. Equivalent Stress Intensity Factor
3.2.2. Single Overload
3.2.3. Multiply Overloads
4. Conclusions and Future Work
Acknowledgment
Author Contributions
Conflicts of Interest
References
- Paris, P.; Erdogan, F. A critical analysis of crack propagation laws. J. Basic Eng. 1963, 85, 528–534. [Google Scholar] [CrossRef]
- Forman, R.G.; Kearney, V.E.; Engle, R.M. Numerical analysis of crack propagation in cyclic-loaded structures. J. Fluids Eng. 1967, 89, 459–463. [Google Scholar] [CrossRef]
- NASGRO® Fracture Mechanics and Fatigue Crack Growth Analysis Software; Version 4.02; NASA-JSC and SwRI: Houston, TX, USA, 2002.
- Newman, J.C. Prediction of Crack Growth under Variable-Amplitude Loading in Thin-Sheet 2024-T3 Aluminum Alloys; NASA, Langley Research Center: Hampton, VA, USA, 1997. [Google Scholar]
- Wheeler, O.E. Spectrum loading and crack growth. J. Fluids Eng. 1972, 94, 181–186. [Google Scholar] [CrossRef]
- De Koning, A.U. A simple crack closure model for prediction of fatigue crack growth rates under variable-amplitude loading. ASTM STP 1980, 743, 63–85. [Google Scholar]
- Hagan, M.T.; Demuth, H.B.; Beale, M.H. Neural Network Design; PWS Publisher: Boston, MA, USA, 1996. [Google Scholar]
- De Albuquerque, V.H.C.; de Alexandria, A.R.; Cortez, P.C.; Tavares, J.M.R.S. Evaluation of multilayer perceptron and self-organizing map neural network topologies applied on microstructure segmentation from metallographic images. NDT E Int. 2009, 42, 644–651. [Google Scholar] [CrossRef]
- De Albuquerque, V.H.C.; Tavares, J.M.R.S.; Cortez, P.C. Quantification of the microstructures of hypoeutectic white cast iron using mathematical morphology and an artificial neural network. Int. J. Microstruct. Mater. Prop. 2010, 5, 52–64. [Google Scholar] [CrossRef]
- De Albuquerque, V.H.C.; Cortez, P.C.; de Alexandria, A.R.; Tavares, J.M.R.S. A new solution for automatic microstructures analysis from images based on a backpropagation artificial neural network. Nondestruct. Test. Eval. 2008, 23, 273–283. [Google Scholar] [CrossRef]
- Kang, J.Y.; Song, J.H. Neural network applications in determining the fatigue crack opening load. Int. J. Fatigue 1998, 20, 57–69. [Google Scholar] [CrossRef]
- Venkatesh, V.; Rack, H.J. A neural network approach to elevated temperature creep-fatigue life prediction. Int. J. Fatigue 1999, 21, 225–234. [Google Scholar] [CrossRef]
- Artymiak, P.; Bukowski, L.; Feliks, J.; Narberhaus, S.; Zenner, H. Determination of S-N curves with the application of artificial neural networks. Fatigue Fract. Eng. Mater. Struct. 1999, 22, 723–728. [Google Scholar] [CrossRef]
- Pleune, T.T.; Chopra, O.K. Using artificial neural networks to predict the fatigue life of carbon and low-alloy steels. Nucl. Eng. Des. 2000, 197, 1–12. [Google Scholar] [CrossRef]
- Genel, K. Application of artificial neural network for predicting strain-life fatigue properties of steels on the basis of tensile tests. Int. J. Fatigue 2004, 26, 1027–1035. [Google Scholar] [CrossRef]
- Lowe, D.; Broomhead, D. Multivariable functional interpolation and adaptive networks. Complex Syst. 1988, 2, 321–355. [Google Scholar]
- Ghandehari, S.; Montazer-Rahmati, M.M.; Asghari, M. Modeling the Flux Decline during Protein Microfiltration: A. Comparison between Feed-Forward Back Propagation and Radial Basis Function Neural Networks. Sep. Sci. Technol. 2013, 48, 1324–1330. [Google Scholar] [CrossRef]
- Fathi, A.; Aghakouchak, A.A. Prediction of fatigue crack growth rate in welded tubular joints using neural network. Int. J. Fatigue 2007, 29, 261–275. [Google Scholar] [CrossRef]
- Abdalla, J.A.; Hawileh, R. Modeling and simulation of low-cycle fatigue life of steel reinforcing bars using artificial neural network. J. Frankl. Inst. 2011, 348, 1393–1403. [Google Scholar] [CrossRef]
- Porter, T.R. Method of analysis and prediction for variable amplitude fatigue crack growth. Eng. Fract. Mech. 1972, 4, 717–736. [Google Scholar] [CrossRef]
- Zhan, W.; Lu, N.; Zhang, C. A new approximate model for the R-ratio effect on fatigue crack growth rate. Eng. Fract. Mech. 2014, 119, 85–96. [Google Scholar] [CrossRef]
- Hudson, C.M. Effect of Stress Ratio on Fatigue-Crack Growth in 7075-T6 and 2024-T3 Aluminum-Alloy Specimens; National Aeronautics and Space Administration: Washington, DC, USA, 1969.
- Wolf, E. Fatigue crack closure under cyclic tension. Eng. Fract. Mech. 1970, 2, 37–45. [Google Scholar] [CrossRef]
- McEvily, A.J. Phenomenological and microstructural aspects of fatigue. Microstruct. Des. Alloys 1973, W36, 204–225. [Google Scholar]
- Mohanty, J.R.; Mahanta, T.K.; Mohanty, A.; Thatoi, D.N. Prediction of constant amplitude fatigue crack growth life of 2024 T3 Al alloy with R-ratio effect by GP. Appl. Soft Comput. 2015, 26, 428–434. [Google Scholar] [CrossRef]
- Wöhler, A. Über die Festigkeits-Versuche mit Eisen und Stahl [on Strength Tests of Iron and Steel]; Ernst & Korn: Berlin, Germany, 1870; Volume 20, pp. 73–106. [Google Scholar]
- Vecchio, R.S.; Hertzberg, R.W.; Jacard, R. An overload-induced fatigue crack propagation behaviour in aluminium and steel alloy. Fatigue Fract. Eng. Mater. Struct. 1984, 7, 181–194. [Google Scholar] [CrossRef]
- Topper, T.H.; Yu, M.T. The effect of overloads on threshold and crack closure. Int. J. Fatigue 1985, 7, 159–164. [Google Scholar] [CrossRef]
- Schijve, J.; Skorupa, M.; Skorupa, A.; Machniewicz, T.; Gruszczynski, P. Fatigue crack growth in the aluminium alloy D16 under constant and variable amplitude loading. Int. J. Fatigue 2004, 26, 1–15. [Google Scholar] [CrossRef]
- Zhang, W.; Liu, Y. A time-based formulation for real-time fatigue damage prognosis under variable amplitude loadings. In Proceedings of the 54th AIAA/ASME/ASCE/AHS/ASC Structures, Structural Dynamics, and Materials Conference, Boston, MA, USA, 8–11 April 2013.
- Ribeiro, A.S.; Jesus, A.P.; Costa, J.M.; Borrego, L.P.; Maeiro, J.C. Variable Amplitude Fatigue Crack Growth Modelling; Revista da Associação Portuguesa de Análise Experimental de Tensões, Pinhal de Marrocos: Coimbra, Portugal, 2011; Volume 19, pp. 33–44. [Google Scholar]
- Taheri, F.; Trask, D.; Pegg, N. Experimental and analytical investigation of fatigue characteristics of 350 WT steel under constant and variable amplitude loadings. Mar. Struct. 2003, 16, 69–91. [Google Scholar] [CrossRef]























| Material | Al7075-T6 |
|---|---|
| Specimen type | Middle cracked tension specimen |
| Specimen length | 889 mm |
| Specimen width | 305 mm |
| Specimen thickness | 2.28 mm |
| Initial crack length | 2.5 mm |
| Loading type | Tension-tension, constant amplitude |
| The Fitting Indexes | Number |
|---|---|
| r | 0.796 |
| Chi-Square | 0.000513 |
| RMSE | 1.47 × 10−5 |
| SSE | 7.52 × 10−8 |
| DC | 0.796 |
| R | σmin | σmax |
|---|---|---|
| 0.33 | 51.2 MPa | 155 MPa |
| 0.5 | 69 MPa | 138 MPa |
| 0.7 | 168.7 MPa | 241 MPa |
| ac | R | ANN Algorithm | Forman Algorithm |
|---|---|---|---|
| 0.008 | 0.33 | −4.72% | −20.85% |
| 0.5 | −2.18% | 4.73% | |
| 0.75 | −1.20% | −34.34% | |
| 0.01 | 0.33 | −2.59% | −21.38% |
| 0.5 | −6.06% | −8.48% | |
| 0.75 | −1.61% | −37.10% | |
| 0.012 | 0.33 | −3.97% | −23.10% |
| 0.5 | −10.92% | −4.76% | |
| 0.75 | −2.03% | −38.07% |
| Specimen Material | D16 Aluminum Alloy |
|---|---|
| Crack type | Middle cracked tension specimen |
| Specimen length | 500 mm |
| Specimen width | 100 mm |
| Specimen thickness | 0.04 mm |
| Initial crack length | 10 mm |
| Loading type | Tension-tension, constant amplitude |
| Index | Number |
|---|---|
| r | 0.984 |
| Chi-Square | 1.93 × 10−6 |
| RMSE | 7.80 × 10−8 |
| SSE | 9.24 × 10−13 |
| DC | 0.964 |
| R | σmin | σmax |
|---|---|---|
| 0.75 | 105 MPa | 140 MPa |
| 0.33 | 96 MPa | 32 MPa |
| 0 | 64 MPa | 0 MPa |
| ac | R | ANN Algorithm | Forman Algorithm |
|---|---|---|---|
| 0.015 | 0 | −1.40% | 120.95% |
| 0.33 | −1.32% | 96.60% | |
| 0.75 | 2.90% | 15.46% | |
| 0.018 | 0 | −1.13% | 111.78% |
| 0.33 | −3.26% | 82.71% | |
| 0.75 | 2.16% | 10.82% | |
| 0.02 | 0 | 1.05% | 105.70% |
| 0.33 | −1.69% | 80.00% | |
| 0.75 | 2.46% | 8.61% |
| Type of Loading | Smin | Smax | ΔS | R | Sol |
|---|---|---|---|---|---|
| CA + single overload | 0 MPa | 64 MPa | 64 MPa | 0 | 128 MPa |
| Specimen Material | 350 WT Steel |
|---|---|
| Crack Type | Center Cracked Tension Specimen |
| Specimen length | 300 mm |
| Specimen width | 100 mm |
| Specimen thickness | 5 mm |
| Initial crack length | 20 mm |
| Type of loading | Tension-tension, Constant amplitude with overload |
| Smin | 11.4 MPa |
| Smax | 114 MPa |
| Sol | 190.95 MPa |
© 2016 by the authors; licensee MDPI, Basel, Switzerland. This article is an open access article distributed under the terms and conditions of the Creative Commons Attribution (CC-BY) license (http://creativecommons.org/licenses/by/4.0/).
Share and Cite
Zhang, W.; Bao, Z.; Jiang, S.; He, J. An Artificial Neural Network-Based Algorithm for Evaluation of Fatigue Crack Propagation Considering Nonlinear Damage Accumulation. Materials 2016, 9, 483. https://doi.org/10.3390/ma9060483
Zhang W, Bao Z, Jiang S, He J. An Artificial Neural Network-Based Algorithm for Evaluation of Fatigue Crack Propagation Considering Nonlinear Damage Accumulation. Materials. 2016; 9(6):483. https://doi.org/10.3390/ma9060483
Chicago/Turabian StyleZhang, Wei, Zhangmin Bao, Shan Jiang, and Jingjing He. 2016. "An Artificial Neural Network-Based Algorithm for Evaluation of Fatigue Crack Propagation Considering Nonlinear Damage Accumulation" Materials 9, no. 6: 483. https://doi.org/10.3390/ma9060483
APA StyleZhang, W., Bao, Z., Jiang, S., & He, J. (2016). An Artificial Neural Network-Based Algorithm for Evaluation of Fatigue Crack Propagation Considering Nonlinear Damage Accumulation. Materials, 9(6), 483. https://doi.org/10.3390/ma9060483
