Analysis of Homogel Uniaxial Compression Strength on Bio Grouting Material
Abstract
:1. Introduction
1.1. Background and Objective
1.2. Previous Studies
2. Preparation of Specimens and Types of Specimens
2.1. Mixing Ratio of the Bio Grouting Material for Uniaxial Compression Strength Test
2.2. Making of the Bio Grouting Material
3. Result of Laboratory Tests
3.1. Result of the Uniaxial Compression Strength Test for the Grouting Material
3.1.1. Evaluation of the uniaxial compression strengths of OPC, micro cement and bio grouting material
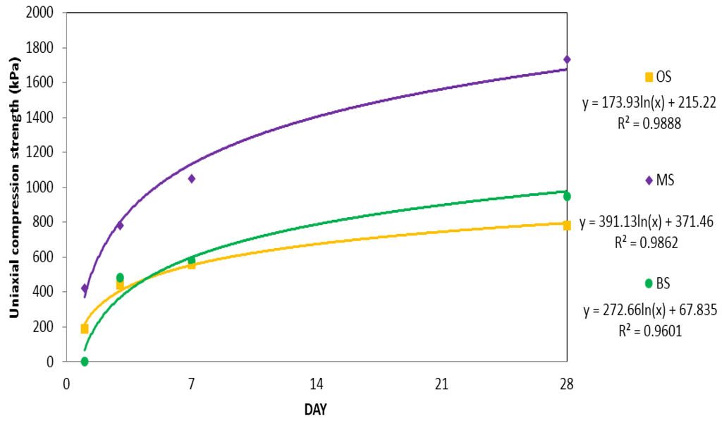
3.1.2. Uniaxial compression strengths of OS, MS and BS containing sodium silicate No. 3
3.1.3. Uniaxial compression strengths of OPC and bio grouting material
3.1.4. Uniaxial compression strengths of micro cement and bio grouting material
4. Conclusions
- Measurements of the homogel uniaxial compression strengths show that OPC 100% + Bio 30% and Micro 100% + Bio have the greatest strength. It is confirmed that the strength of both OPC 100% and Micro 100% is about 15% lower than that of the aforementioned two specimens. It is also confirmed that the strength of OPC 70% + Bio 30% and Micro 70% + Bio 30% is reduced by 15% compared with that of the latter two specimens. This indicates that the use of 30% bio-grouting material instead of cement in the grouting can be a reasonable mixing ratio to save the use of cement, leading to reduction in CO2 emission.
- Calcium carbonate, the main component of the bio grouting material, reacts with calcium silicate in cement to release hydration heat, leading to increased strength. In order to use bio grouting, it has to be used for the purpose of blocking water. For its strength to be increased, the bio grouting material should be used as admixture.
- In future studies, the strength, permeation range and gel time will be determined for different mixing ratios of Bio grouting material, OPC, Micro cement W/C (water/cement) ratio, and sodium silicate No. 3. It is expected that various mixing ratios of the bio grouting material created through microbial reactions can be determined depending on the conditions of the ground to be grouted.
Acknowledgments
Author Contributions
Conflicts of Interest
References
- Ahn, J.H. A Preliminary Study for Model Test of Surface Piercing Propellers at the Cavitation Tunnel. Master’s Thesis, Hanyang University, Seoul, Korea, 2006. [Google Scholar]
- Kim, J.S.; Choi, Y.K.; Park, J.H.; Woo, S.B.; Lee, I.M. Effect of Viscosity and Clogging on Grout Penetration Characteristics. J. Korean Geotech. Soc. 2007, 23, 5–13. [Google Scholar]
- Kim, J.S.; Lee, I.M.; Lee, M.S.; Choi, H.S. A New Groutability Criterion of Cement-based Grout with Consideration of Viscosity and Filtration Phenomenon. In Proceedings of the KGS Spring National Conference 2009, Gyeonggi, Korea, 27 March 2009; pp. 154–163.
- Kim, D.H.; Jung, D.H.; Jeong, G.H. Evaluation of Engineering Characteristics and Field Applicability of Inorganic Thixotropic-grout for Backfilling of Shield TBM Tail Voids. Korea Tunn. Technol. 2010, 12, 75–85. [Google Scholar]
- Korea Cement Association. Available online: http://www.cement.or.kr (accessed on 28 March 2016).
- Kim, H.C. Cementation Characteristic of Soil using Bacteria. Master’s Thesis, Chosun University, Gwangju, Korea, 2011. [Google Scholar]
- Park, K.H. Evaluation of Applicability of Environment Friendly Biogrouting Methods in Loose Frictional Soils. Ph.D. Thesis, Chosun University, Gwangju, Korea, 2015. [Google Scholar]
- Kim, D.H.; Park, K.H.; Kim, H.C.; Lee, Y.H. Effect of Microbial Treatment Methods on Biogrout. J. Geotech. Geoenviron. Eng. 2012, 13, 51–57. [Google Scholar]
- Kim, D.H.; Sagong, M.; Park, K.H. Improvement Method of Sand Ground Using an Environmental Friendly Bio Grouting Material. J. Korean Soc. Railw. 2013, 16, 473–481. [Google Scholar] [CrossRef]
- Park, K.H.; Kim, D.H. Verification of Calcium Carbonate by Cementation of Silt and Sand using Bacteria. J. Korean Geotech. Soc. 2012, 28, 53–61. [Google Scholar] [CrossRef]
- Park, K.H.; Kim, D.H. Strength and Effectiveness of Grouting of Sand Treated with Bacteria. J. Korean Geotech. Soc. 2013, 29, 65–73. [Google Scholar] [CrossRef]
- Jeon, S.J. Effect of Strength Evaluation of Soil Treated with Calcium Carbonate Created by Microbial Reaction. Master’s Thesis, Chosun University, Gwangju, Korea, 2013. [Google Scholar]
- Mitchell, J.K.; Santamarina, J.C. Biological Considerations in Geotechnical Engineering. J. Geotech. Geoenviron. Eng. 2005, 131, 1222–1233. [Google Scholar] [CrossRef]
- Dejong, J.T.; Fritzges, M.B.; Nüsslein, K. Microbially Induced Cementation to Control Sand Response to Undrained Shear. J. Geotech. Geoenviron. Eng. 2006, 132, 1381–1392. [Google Scholar] [CrossRef]
- Kim, S.T.; Do, J.N.; Jo, H.S.; Chen, B.S. Effects of Ground Strength Increase using Polysaccharide Environmentally Friendly Soil Stabilizer. J. Geotech. Geoenviron. Eng. 2011, 12, 13–21. [Google Scholar]
- Chang, I.H.; Cho, G.C. Strengthening of Korean residual soil with b-1,3/1,6-glucan biopolymer. Constr. Build. Mater. 2012, 30, 30–35. [Google Scholar] [CrossRef]
- Dejong, J.T.; Mortensen, B.M.; Martinez, B.C.; Nelson, D.C. Bio-Mediated Soil Improvement. J. Ecol. Eng. 2010, 36, 197–210. [Google Scholar] [CrossRef]
- Soon, N.G.; Lee, L.M.; Khun, T.C.; Ling, H.S. Improvements in Engineering Properties of Soils through Microbial-Induced Calcite Precipitation. KSCE J. Civil Eng. 2013, 17, 718–728. [Google Scholar] [CrossRef]
- Paassen, L.A.; Harkes, M.P.; Zwieten, G.A.; Zon, W.H.; Star, W.R.L.; Loosdrecht, M.C.M. Scale Up of Biogrout: A Biological Ground Reinforcement Method. In Proceedings of the 17th International Conference on Soil Mechanics and Geotechnical Engineering, Alexandria, Egypt, 5–9 October 2009; pp. 2328–2333.
- Whiffin, V.S.; Paasen, L.A.; Harkes, M.P. Microbial Carbonate Precipitation as a Soil Improvement Technique. Geomicrobiol. J. 2007, 24, 417–423. [Google Scholar] [CrossRef]
- Whiffin, V.S. Microbial CaCO3 Precipitation for the Production of Biocement. Ph.D. Thesis, Murdoch University, Perth, Australia, 2004. [Google Scholar]
- Scholl, M.A.; Mills, A.L.; Herman, J.S.; Hornberger, G.M. The Influence of Mineralogy and Solution Chemistry on the Attachment of Bacteria to Representative Aquifer Materials. J. Contam. Hydrol. 1990, 6, 321–336. [Google Scholar] [CrossRef]
- Torkzaban, S.; Tazehkand, S.S.; Walker, S.L.; Bradford, S.A. Transport and Fate of Bacteria in Porous Media: Coupled Effects of Chemical Conditions and Pore Space Geometry. Water Resour. Res. 2008, 44, 12–18. [Google Scholar] [CrossRef]
- Hamdan, N. Carbonate Mineral Precipitation for Soil Improvement through Microbial Denitrification. Master’s Thesis, Arizona State University, Tempe, AZ, USA, 2013. [Google Scholar]
- Anthonisen, A.C.; Loehr, R.C.; Prakasam, T.B.S.; Srinath, E.G. Inhibition of Nitrification by Ammonia and Nitrous Acid. Water Pollut. Control Fed. 1976, 48, 835–852. [Google Scholar]
- Antoniou, P.; Hamilton, J.; Koopman, B.; Jain, R.; Hooloway, B.; Lyberatos, G.; Svoronos, S.A. Effect of Temperature and pH on the Effective Maximum Specific Growth Rate of Nitrifying Bacteria. Water Res. 1990, 24, 97–101. [Google Scholar] [CrossRef]
- Colwell, F.S.; Smith, R.W.; Ferris, G.F.; Reysenbach, A.L.; Fujita, Y.; Tyler, T.L.; Taylor, J.L.; Banta, A.; Delwiches, M.E.; McLing, T.L.; et al. Microbially Mediated Subsurface Calcite Precipitation for Removal of Hazardous Divalent Cations. Subsurf. Contam. Remediat. 2005, 904, 117–137. [Google Scholar]
- Fujita, Y.; Ferris, F.G.; Lawson, R.D.; Colwell, F.S.; Smith, R.W. Calcium Carbonate Precipitation by Ureolytic Subsurface Bacteria. Geomicrobiol. J. 2000, 17, 305–318. [Google Scholar] [CrossRef]
- Fujita, Y.; Redden, G.D.; Ingram, J.C.; Cortez, M.M.; Ferris, F.G.; Smith, R.W. Strontium Incorporation into Calcite Generated by Bacterial Ureolysis. Geochim. Cosmochim. Acta 2004, 68, 3261–3270. [Google Scholar] [CrossRef]
- Mitchell, A.C.; Ferris, F.G. The Coprecipitation of Sr into Calcite Precipitates induced by Bacterial Ureolysis in Artificial Groundwater: Temperature and Kinetic Dependence. Geomicrobiol. J. 2005, 69, 4199–4210. [Google Scholar] [CrossRef]
- Bundur, Z.B.; Kirisits, M.J.; Ferron, R.D. Biomineralized Cement-based Materials: Impact of Inoculating Vegetative Bacterial Cells on Hydration and Strength. Cement Concrete Res. 2015, 67, 237–245. [Google Scholar] [CrossRef]
- Jung, B.Y. Development of Concrete with Microcrack Self-healing Ability Based on Bacterial Calcium Carbonate Formation. Master’s Thesis, Seoul University, Seoul, Korea, 2014. [Google Scholar]
- Korean Standard KS F 2403. In Standard Test Method for Making and Curing Concrete Specimens; Korean Agency for Technology and Standards (KATS): Seoul, Korea, 2014.
- Kim, D.H.; Park, K.H. Injection Effect of Bio-Grout for Soft Ground. Adv. Sci. Lett. 2013, 19, 468–472. [Google Scholar] [CrossRef]
- Lee, K.H. A Study of Injected Material for Tunnel Enforcement Using Slag Cement. Ph.D. Thesis, Baejae University, Daejeon, Korea, 2013. [Google Scholar]
- Kim, D.S.; No, J.S. Characteristic of Cement Mortar addition CaCO3. Proc. Korea Concr. Ins. 2000, 27, 14–20. [Google Scholar]
- Daimon, H. Properties and Its Application of Calcium Carbonate Particles. Concr. Eng. 1998, 36, 8–9. [Google Scholar]







| Classification | Solution A | Solution B | |||||
|---|---|---|---|---|---|---|---|
| Sodium Silicate No. 3 (mL) | Bio Grouting Material (g) | Water (mL) | OPC (g) | Micro Cement (g) | Bio Grouting Material (g) | Water (mL) | |
| O | - | - | - | 200 | - | - | 200 | 
| M | - | - | - | - | 200 | - | 200 | 
| B | - | - | - | - | - | 200 | 200 | 
| OS | 65 | - | - | 200 | - | - | 200 | 
| MS | 65 | - | - | - | 200 | - | 200 | 
| BS | 65 | - | - | - | - | 200 | 200 | 
| OB-1 | - | 65 | - | 200 | - | - | 200 | 
| OB-2 | - | 65 | - | 135 | - | - | 200 | 
| MB-1 | - | 65 | - | - | 200 | - | 200 | 
| MB-2 | - | 65 | - | - | 135 | - | 200 | 
| Curing Time (day) | Uniaxial Compression Strength (kPa) | ||
|---|---|---|---|
| OPC | Micro Cement | Bio Grouting Material | |
| 1 | 630 | 1230 | - | 
| 3 | 780 | 1450 | 100 | 
| 7 | 1350 | 1980 | 110 | 
| 28 | 1680 | 2650 | 300 | 
| Curing Time (day) | Uniaxial Compression Strength (kPa) | ||
|---|---|---|---|
| OS | MS | BS | |
| 1 | 190 | 420 | - | 
| 3 | 440 | 780 | 480 | 
| 7 | 560 | 1050 | 580 | 
| 28 | 780 | 1730 | 950 | 
| Curing Time (day) | Uniaxial Compression Strength (kPa) | |||
|---|---|---|---|---|
| OPC | OS | OB-1 | OB-2 | |
| 1 | 630 | 190 | 810 | 540 | 
| 3 | 780 | 440 | 1010 | 650 | 
| 7 | 1350 | 560 | 1520 | 1040 | 
| 28 | 1680 | 780 | 1930 | 1430 | 
| Curing Time (day) | Uniaxial Compression Strength (kPa) | |||
|---|---|---|---|---|
| Micro | MS | MB-1 | MB-2 | |
| 1 | 1230 | 420 | 1320 | 1040 | 
| 3 | 1450 | 780 | 1670 | 1250 | 
| 7 | 1980 | 1050 | 2350 | 1680 | 
| 28 | 2650 | 1730 | 3540 | 2240 | 
© 2016 by the authors; licensee MDPI, Basel, Switzerland. This article is an open access article distributed under the terms and conditions of the Creative Commons by Attribution (CC-BY) license (http://creativecommons.org/licenses/by/4.0/).
Share and Cite
Park, K.; Kim, D. Analysis of Homogel Uniaxial Compression Strength on Bio Grouting Material. Materials 2016, 9, 244. https://doi.org/10.3390/ma9040244
Park K, Kim D. Analysis of Homogel Uniaxial Compression Strength on Bio Grouting Material. Materials. 2016; 9(4):244. https://doi.org/10.3390/ma9040244
Chicago/Turabian StylePark, Kyungho, and Daehyeon Kim. 2016. "Analysis of Homogel Uniaxial Compression Strength on Bio Grouting Material" Materials 9, no. 4: 244. https://doi.org/10.3390/ma9040244
APA StylePark, K., & Kim, D. (2016). Analysis of Homogel Uniaxial Compression Strength on Bio Grouting Material. Materials, 9(4), 244. https://doi.org/10.3390/ma9040244
 
         
                                                

 
       