Photoassisted Electrochemical Treatment of Azo and Phtalocyanine Reactive Dyes in the Presence of Surfactants
Abstract
:1. Introduction
2. Materials and Methods
2.1. Dyes and Reagents
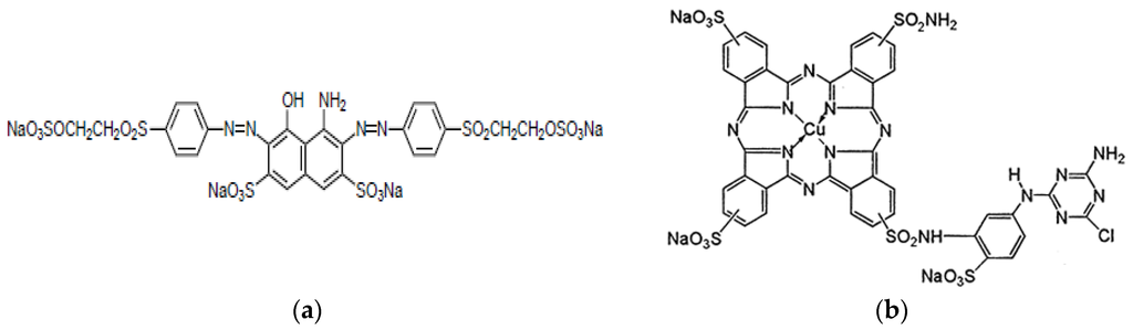
- Color Index Reactive Black 5 (RB5)
- Color Index Reactive Blue 7 (Rb7)
- COTEMOLL TLTR, hereinafter referred as S
2.2. Preparation of Synthetic Effluents
2.3. Electrolytic Cell
2.4. Decolorization on TOC Mesuarements: Kinetic Evaluation
2.5. GCMS Analysis
3. Results and Discussion
3.1. Electrochemical Treatment (EC) of Dyes
3.2. Determination of Haloforms by GCMS
3.3. Photo-Assisted Electrochemical (UVEC) Treatment Of Dyes
3.4. Influence of Surfactants on the EC and UVEC Treatments Of Dyes
4. Conclusions
Acknowledgments
Author Contributions
Conflicts of Interest
Appendix A: Dyeing and Washing Process for Effluent Characterization
Appendix B: Characterization of Dyeing and Washing Effluents
| Bath | RB5 | Rb7 | ||||
|---|---|---|---|---|---|---|
| Dye Conc. (g/L) | Cond. 1 (ms/cm) | Na2SO4 Conc. (g/L) | Dye Conc. (g/L) | Cond. 1 (ms/cm) | Na2SO4 Conc. (g/L) | |
| Dyeing | 0.35 | 80.3 | 109.3 | 0.50 | 76.4 | 107.2 |
| 1st washing | 0.22 | 22.6 | 20.9 | 0.23 | 20.9 | 20.7 |
| 2nd washing | 0.045 | 6.1 | 5.9 | 0.052 | 5.1 | 4.8 |
| soaping * | 0.017 | 2.3 | 1.8 | 0.026 | 2.3 | 1.7 |
| 4th washing | 0.009 | 0.9 | 0.7 | 0.012 | 1.1 | 0.8 |
| 5th washing | 0.006 | 0.7 | 0.5 | 0.008 | 0.9 | 0.6 |
| 6th washing | 0.002 | 0.6 | 0.4 | 0.003 | 0.7 | 0.5 |
- Residual baths of RB dyeing : dye 0.16 g/L and Na2SO4 34.5 g/L;
- Residual baths of CT dyeing: dye 0.20 g/L and Na2SO4 33.6 g/L.
References
- Carneiro, P.A.; Osugi, M.E.; Fugivara, C.S.; Boralle, N.; Furlan, M.; Zanoni, M.V.B. Evaluation of different electrochemical methods on the oxidation and degradation of Reactive Blue 4 in aqueous solution. Chemosphere 2005, 59, 431–439. [Google Scholar] [CrossRef] [PubMed]
- Sala, M.; López-Grimau, V.; Gutiérrez-Bouzán, C. Photo-electrochemical treatment of reactive dyes in wastewater and reuse of the effluent: Method optimization. Materials 2014, 7, 7349–7365. [Google Scholar] [CrossRef]
- Pepió, M.; Gutiérrez-Bouzán, M.C. Empirical models for the decoloration of dyes in an electrochemical batch cell. Ind. Eng. Chem. Res. 2011, 50, 8965–8972. [Google Scholar] [CrossRef]
- Solis, M.; Solis, A.; Perez, H.I.; Manjarrez, N.; Flores, M. Microbial decolouration of azo dyes: A review. Process Biochem. 2012, 47, 1723–1748. [Google Scholar] [CrossRef]
- Lopez-Grimau, V.; Riera-Torres, M.; Lopez-Mesas, M.; Gutierrez-Bouzan, C. Removal of aromatic amines and decolourisation of azo dye baths by electrochemical treatment. Color. Technol. 2013, 129, 267–273. [Google Scholar] [CrossRef]
- International Agency for Research on Cancer (IARC). Overall Evaluations of Carcinogenicity to Humans. In IARC Monographs; IARC: Lyon, France, 2004. [Google Scholar]
- Silva, M.C.; Corrêa, A.D.; Amorim, M.T.S.P.; Parpot, P.; Torres, J.A.; Chagas, P.M.B. Decolorization of the phthalocyanine dye Reactive Blue 21 by turnip peroxidase and assessment of its oxidation products. J. Mol. Catal. B Enzym. 2012, 77, 9–14. [Google Scholar] [CrossRef]
- Petrovic, M.; Gehringer, P.; Eschweiler, H.; Barceló, D. Radiolytic decomposition of multi-class surfactants and their biotransformation products in sewage treatment plant effluents. Chemosphere 2007, 66, 114–122. [Google Scholar] [CrossRef] [PubMed]
- Panizza, M.; Delucchi, M.; Cerisola, G. Electrochemical degradation of anionic surfactants. J. Appl. Electrochem. 2005, 35, 357–361. [Google Scholar] [CrossRef]
- Carvalho, G.; Delée, W.; Novais, J.M.; Pinheiro, H.M. A factorially-designed study of physicochemical reactive dye colour removal from simulated cotton textile processing wastewaters. Color. Technol. 2002, 118, 215–219. [Google Scholar] [CrossRef]
- Golob, V.; Vinder, A.; Simonic, M. Efficiency of the coagulation/flocculation method for the treatment of dyebath effluents. Dyes Pigments 2005, 67, 93–97. [Google Scholar] [CrossRef]
- Malekbala, M.R.; Khan, M.A.; Hosseini, S.; Abdullah, L.C.; Choong, T.S.Y. Adsorption/desorption of cationic dye on surfactant modified mesoporous carbon coated monolith: Equilibrium, kinetic and thermodynamic studies. J. Ind. Eng. Chem. 2015, 21, 369–377. [Google Scholar] [CrossRef]
- Quan, X.; Liu, X.; Bo, L.; Chen, S.; Zhao, Y.; Cui, X. Regeneration of acid orange-7 exhausted granular activated carbons with microwave irradiation. Water Res. 2004, 38, 4484–4490. [Google Scholar] [CrossRef] [PubMed]
- Qin, J.J.; Oo, M.H.; Kekre, K.A. Nanofiltration for recovering wastewater from a specific dyeing facility. Sep. Purif. Technol. 2007, 56, 199–203. [Google Scholar] [CrossRef]
- Ong, Y.K.; Li, F.Y.; Sun, S.P.; Zhao, B.W.; Liang, C.Z.; Chung, T.S. Nanofiltration hollow fiber membranes for textile wastewater treatment: Lab-scale and pilot-scale studies. Chem. Eng. Sci. 2014, 114, 51–57. [Google Scholar] [CrossRef]
- De Faria, L.A.; Santana, M.H.P.; da Silva, L.M.; Freitas, A.C.; Boodts, J.F.C.; Fernandes, K.C. Application of electrochemically generated ozone to the discoloration and degradation of solutions containing the dye Reactive Orange 112. J. Hazard. Mater. 2009, 164, 10–17. [Google Scholar]
- Wu, J.; Doan, H.; Upreti, S. Decolorization of aqueous textile reactive dye by ozone. Chem. Eng. J. 2008, 142, 156–160. [Google Scholar] [CrossRef]
- Papic, S.; Vujevic, D.; Koprivanac, N.; Sinko, D. Decolourization and mineralization of commercial reactive dyes by using homogeneous and heterogeneous Fenton and UV/Fenton processes. J. Hazard. Mater. 2009, 164, 1137–1145. [Google Scholar] [CrossRef] [PubMed]
- Li, Y.; Zhou, T.; Lu, X.; Wang, J.; Wong, F.-S. Rapid decolorization and mineralization of simulated textile wastewater in a heterogeneous Fenton like system with/without external energy. J. Hazard. Mater. 2009, 165, 193–199. [Google Scholar]
- Visa, T.; Sanchez, M.; López-Grimau, V.; Navarro, R.; Reche, S.; Gutiérrez-Bouzán, M.C. Photocatalysis with titanium dioxide to remove colour of exhausted reactive dyebaths without pH modification. Desalin. Water Treat. 2012, 45, 91–99. [Google Scholar] [CrossRef]
- Rosales, E.; Pazos, M.; Sanromán, M.A. Comparative efficiencies of the decolourisation of leather dyes by enzymatic and electrochemical treatments. Desalination 2011, 278, 312–317. [Google Scholar] [CrossRef]
- Champagne, P.P.; Nesheim, M.E.; Ramsay, J.A. Effect of a non-ionic surfactant, Merpol, on dye decolorization of Reactive Blue 19 by laccase. Enzym. Microb. Technol. 2010, 46, 147–152. [Google Scholar] [CrossRef] [PubMed]
- Martinez-Huitle, C.A.; Ferro, S. Electrochemical oxidation of organic pollutants for the wastewater treatment: Direct and indirect processes. Chem. Soc. Rev. 2006, 35, 1324–1340. [Google Scholar] [CrossRef] [PubMed]
- Ramírez, C.; Saldaña, A.; Hernández, B.; Acero, R.; Guerra, R.; Garcia-Segura, S.; Brillas, E.; Peralta-Hernández, J.M. Electrochemical oxidation of methyl orange azo dye at pilot flow plant using BDD technology. J. Ind. Eng. Chem. 2013, 19, 571–579. [Google Scholar] [CrossRef]
- Vilaseca, M.; Gutierrez, M.C.; Lopez-Grimau, V.; Lopez-Mesas, M.; Crespi, M. Biologial treatment of a textile effluent after electrochemical oxidation of reactive dyes. Water Environ. Res. 2009, 82, 176–182. [Google Scholar] [CrossRef]
- Petrucci, E.; Di Palma, L.; Lavecchia, R.; Zuorro, A. Treatment of diazo dye Reactive Green 19 by anodic oxidation on a boron-doped diamond electrode. J. Ind. Eng. Chem. 2015, 26, 116–121. [Google Scholar] [CrossRef]
- Riera-Torres, M.; Gutierrez, M.C. Colour removal of three reactive dyes by UV exposure after electrochemical treatment. Chem. Eng. J. 2010, 156, 114–120. [Google Scholar] [CrossRef]
- Lopez-Grimau, V.; Gutierrez, M.C. Decolourisation of simulated reactive dyebath effluents by electrochemical oxidation assisted by UV light. Chemosphere 2006, 62, 106–112. [Google Scholar] [CrossRef] [PubMed]
- Kong, W.; Wang, B.; Hongzhu, M.; Lin, G. Electrochemical treatment of anionic surfactants in synthetic wastewater with three-dimensional electrodes. J. Hazard. Mater. 2006, 137, 1532–1537. [Google Scholar] [CrossRef] [PubMed]
- Yuksel, E.; Sengil, I.A.; Ozacar, M. The removal of sodium dodecyl sulfate in synthetic wastewater by peroxi-electrocoagulation method. Chem. Eng. J. 2009, 152, 347–353. [Google Scholar] [CrossRef]
- Montanaro, D.; Petrucci, E. Electrochemical treatment of Remazol Brilliant Blue on a boron-doped diamond electrode. Chem. Eng. J. 2009, 153, 138–144. [Google Scholar] [CrossRef]
- Fidelao, M.; Lavecchia, R.; Petrucci, E.; Zuorro, A. Apllication of a novel definitive screening design to decolorization of an azo dye on boron-doped diamond electrodes. Int. J. Environ. Sci. Technol. 2016, 13, 835–842. [Google Scholar] [CrossRef]
- Zuorro, A.; Lavecchia, R. Evaluation of UV/H2O2 advanced oxidation process (AOP) for the degradation of diazo dye Reactive Green 19 in aqueous solution. Desalin. Water Treat. 2014, 52, 1571–1577. [Google Scholar] [CrossRef]






| Compound | CAS Number | D.L. (μg/L) | Retention Time (min) |
|---|---|---|---|
| Bromomethane | 74-83-9 | 10 | 2.50 |
| Chloroethane | 75-00-3 | 1.0 | 2.65 |
| Trichlorofluoromethane | 75-69-4 | 2.5 | 3.00 |
| 1,1-Dichloroethene | 75-35-4 | 2.5 | 3.86 |
| Dichloromethane | 75-09-2 | 1.0 | 4.90 |
| 1,1-Dichloroethane | 75-34-3 | 2.5 | 6.55 |
| Trichloromethane | 67-66-3 | 1.0 | 9.69 |
| 1,1,1-Trichloroethane | 71-55-6 | 2.5 | 10.07 |
| Tetrachloromethane | 56-23-5 | 2.5 | 10.63 |
| Benzene | 71-43-2 | 2.5 | 11.67 |
| 1,2-Dichloroethane | 107-06-2 | 10 | 12.02 |
| Trichloroethene | 79-01-6 | 1.0 | 14.29 |
| Bromodichloromethane | 75-27-4 | 5 | 16.52 |
| c-1,3-Dichloropropene | 10061-01-5 | 10 | 18.22 |
| Tetrachloroethene | 127-18-4 | 1.0 | 21.03 |
| Dibromochloromethane | 124-48-1 | 10 | 22.32 |
| Chlorobenzene | 108-90-7 | 1.0 | 24.32 |
| Ethylbenzene | 100-41-4 | 1.0 | 24.82 |
| Tribromomethane | 75-25-2 | 10 | 27.45 |
| 1-bromo,3-fluorobenzene | 1073-06-9 | 2.5 | 28.61 |
| 1,3-Dichlorobenzene | 541-73-1 | 1.0 | 32.48 |
| 1,4-Dichlorobenzene | 106-46-7 | 0.5 | 32.85 |
| 1,2-Dichlorobenzene | 95-50-1 | 0.5 | 34.17 |
| Sample | Intensity (A) | Q (A·h/L) | Decolorization (%) | kD (min−1) | TOC Removal (%) | kM (min−1) |
|---|---|---|---|---|---|---|
| RB5 | 2 | 2.1 | 95 | 0.0108 | 6.7 | 0.0004 |
| 10 | 0.8 | 99 | 0.2636 | 28 | 0.0059 | |
| Rb7 | 2 | 2.8 | 93 | 0.0098 | 5.4 | 0.0003 |
| 10 | 2.5 | 99 | 0.0892 | 19 | 0.0027 |
| Sample | Treatment | Decolorization (%) | kD (min−1) | TOC Removal (%) | Chloroform (mg/L) |
|---|---|---|---|---|---|
| RB5 | EC | 99 | 0.2636 | 28 | 1.35 |
| UVEC | 99 | 0.1325 | 26 | 0.13 | |
| Rb7 | EC | 99 | 0.0892 | 19 | 1.11 |
| UVEC | 99 | 0.0423 | 18 | 0.12 |
| Sample | Treatment | Decolorization (%) | kD (min−1) | TOC Removal (%) | Chloroform (mg/L) |
|---|---|---|---|---|---|
| RB5 + S | EC | 99 | 0.0461 | 17 | 0.16 |
| UVEC | 99 | 0.0471 | 17 | 0.14 | |
| Rb7 + S | EC | 99 | 0.0282 | 16 | 0.13 |
| UVEC | 99 | 0.0276 | 16 | 0.11 |
© 2016 by the authors; licensee MDPI, Basel, Switzerland. This article is an open access article distributed under the terms and conditions of the Creative Commons by Attribution (CC-BY) license (http://creativecommons.org/licenses/by/4.0/).
Share and Cite
Sala, M.; López-Grimau, V.; Gutiérrez-Bouzán, C. Photoassisted Electrochemical Treatment of Azo and Phtalocyanine Reactive Dyes in the Presence of Surfactants. Materials 2016, 9, 211. https://doi.org/10.3390/ma9030211
Sala M, López-Grimau V, Gutiérrez-Bouzán C. Photoassisted Electrochemical Treatment of Azo and Phtalocyanine Reactive Dyes in the Presence of Surfactants. Materials. 2016; 9(3):211. https://doi.org/10.3390/ma9030211
Chicago/Turabian StyleSala, Mireia, Víctor López-Grimau, and Carmen Gutiérrez-Bouzán. 2016. "Photoassisted Electrochemical Treatment of Azo and Phtalocyanine Reactive Dyes in the Presence of Surfactants" Materials 9, no. 3: 211. https://doi.org/10.3390/ma9030211
APA StyleSala, M., López-Grimau, V., & Gutiérrez-Bouzán, C. (2016). Photoassisted Electrochemical Treatment of Azo and Phtalocyanine Reactive Dyes in the Presence of Surfactants. Materials, 9(3), 211. https://doi.org/10.3390/ma9030211

