Microstructure and Characteristic of BiVO4 Prepared under Different pH Values: Photocatalytic Efficiency and Antibacterial Activity
Abstract
:1. Introduction
2. Materials and Methods
2.1. Preparation of BiVO4
2.2. Characterization
2.3. Photocatalytic Degradation of Rhodamine B
2.4. SEM Observation of E. coli
2.5. Changes of Molecules on E. coli envolop Observed by ATR-FTIR
3. Results and Discussion
3.1. XRD Patterns of the BiVO4 Prepared under Different pH Value
3.2. Morphology Variation of BiVO4 Prepared under Different pH
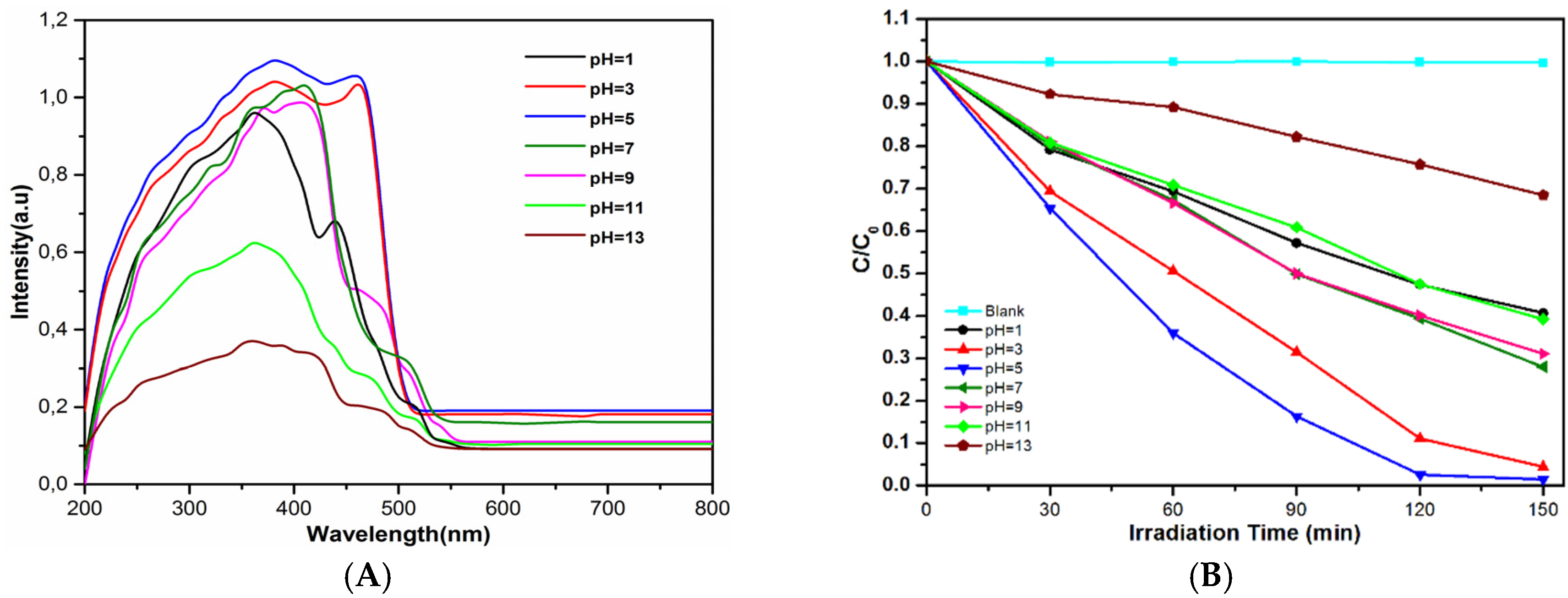
3.3. Degradation Performance of Rhodamine B
3.4. Outer Membrane Damage Observed by FESEM
3.5. Functional Group Changes Observed by ATR-FTIR
4. Conclusions
Acknowledgments
Author Contributions
Conflicts of Interest
References
- Fujishima, A. Electrochemical photolysis of water at a semiconductor electrode. Nature 1972, 238, 37–38. [Google Scholar] [CrossRef] [PubMed]
- Chen, X.; Shen, S.; Guo, L.; Mao, S.S. Semiconductor-based photocatalytic hydrogen generation. Chem. Rev. 2010, 110, 6503–6570. [Google Scholar] [CrossRef] [PubMed]
- Thompson, T.L.; Yates, J.T. Surface science studies of the photoactivation of TiO2-New photochemical processes. Chem. Rev. 2006, 106, 4428–4453. [Google Scholar] [CrossRef]
- Suarez, C.M.; Hernández, S.; Russo, N. General BiVO4 as photocatalyst for solar fuels production through water splitting : A short review. Applied. Catal. A Gen. 2015, 504, 158–170. [Google Scholar] [CrossRef]
- Macwan, D.P.; Dave, P.N.; Chaturvedi, S. A review on nano-TiO2 sol–gel type syntheses and its applications. J. Mater.Sci. 2011, 46, 3669–3686. [Google Scholar] [CrossRef]
- Sugimoto, T.; Zhou, X. Synthesis of uniform anatase TiO2 nanoparticles by the Gel – Sol method. J. Colloid. Interface. Sci. 2002, 252, 347–353. [Google Scholar] [CrossRef] [PubMed]
- Gole, J.L.; Stout, J.D.; Burda, C.; Lou, Y.; Chen, X. Highly efficient formation of visible light tunable TiO2-xNx photocatalysts and their transformation at the nanoscale. J. Phys. Chem. B 2004, 108, 1230–1240. [Google Scholar] [CrossRef]
- Ni, M.; Leung, M.K.H.; Leung, D.Y.C.; Sumathy, K. A review and recent developments in photocatalytic water-splitting using TiO2 for hydrogen production. Renew. Sust. Energ. Rev. 2007, 11, 401–425. [Google Scholar] [CrossRef]
- Iwasaki, M.; Hara, M.; Kawada, H.; Tada, H.; Ito, S. Cobalt ion-doped TiO2 photocatalyst response to visible light. J. Colloid. Interface. Sci. 2000, 224, 202–204. [Google Scholar] [CrossRef] [PubMed]
- Dong, L.; Zhang, X.; Dong, X.; Zhang, X.; Ma, C.; Ma, H.; Xue, M.; Shi, F. Structuring porous “sponge-like” BiVO4 film for efficient photocatalysis under visible light illumination. J. Colloid. Interface. Sci. 2013, 393, 126–129. [Google Scholar] [CrossRef] [PubMed]
- Kumar, S.G.; Devi, L.G. Review on modified TiO2 photocatalysis under UV / Visible light: Selected results and related mechanisms on interfacial charge carrier transfer dynamics. J. Phys. Chem. A 2011, 115, 13211–13241. [Google Scholar] [CrossRef] [PubMed]
- Wang, W.Z.; Meng, S.; Tan, M.; Jia, L.J.; Zhou, Y.X.; Wu, S.; Huang, X.W.; Liang, Y.J.; Shi, H.L. Synthesis and the enhanced visible-light-driven photocatalytic activity of BiVO4 nanocrystals coupled with Ag nanoparticles. Appl. Phys. A Mater. 2014, 118, 1347–1355. [Google Scholar] [CrossRef]
- Zhang, L.; Wang, W.; Zhou, L.; Xu, H. Bi2WO6 nano- and microstructures: Shape control and associated visible-light-driven photocatalytic activities. Small 2007, 3, 1618–1625. [Google Scholar] [CrossRef] [PubMed]
- Yin, J.; Zou, Z.; Ye, J. Synthesis and photophysical properties of barium indium oxides. J. Mater. Res. 2002, 17, 2201–2204. [Google Scholar] [CrossRef]
- Zhang, L.; Chen, D.; Jiao, X. Monoclinic structured BiVO4 nanosheets: Hydrothermal preparation, formation mechanism, and coloristic and photocatalytic properties. J. Phys. Chem. B 2006, 110, 2668–2673. [Google Scholar] [CrossRef] [PubMed]
- Zhang, L.; Fu, H.; Zhang, C.; Zhu, Y. Synthesis, characterization, and photocatalytic properties of InVO4 nanoparticles. J. Solid. State. Chem. 2006, 179, 804–811. [Google Scholar] [CrossRef]
- Chen, D.; Ye, J. Selective-synthesis of high-performance single-crystalline Sr2Nb2O7 nanoribbon and SrNb2O6 nanorod photocatalysts. Chem. Mater. 2009, 21, 2327–2333. [Google Scholar] [CrossRef]
- Mukherji, A.; Seger, B.; Lu, G.Q.; Wang, L. Nitrogen doped Sr2Ta2O7 coupled with graphene sheets as photocatalysts for increased photocatalytic hydrogen production. ACS nano 2011, 5, 3483–3492. [Google Scholar] [CrossRef] [PubMed]
- Xi, G.; Ye, J. Synthesis of bismuth vanadate nanoplates with exposed {001} facets and enhanced visible-light photocatalytic properties. Chem. Commun. 2010, 46, 1893–1895. [Google Scholar] [CrossRef] [PubMed]
- Wang, W.; Yu, Y.; An, T.; Li, G.; Yip, H.Y.; Yu, J.C.; Wong, P.K. Visible-light-driven photocatalytic inactivation of E. coli K-12 by bismuth vanadate nanotubes: Bactericidal performance and mechanism. Environ. Sci. Technol. 2012, 46, 4599–4606. [Google Scholar] [CrossRef] [PubMed]
- Zhou, L.; Wang, W.; Zhang, L.; Xu, H.; Zhu, W. Single-crystalline BiVO4 microtubes with square cross-sections: microstructure, growth mechanism, and photocatalytic property. J. Phys. Chem. C 2007, 111, 13659–13664. [Google Scholar] [CrossRef]
- Yu, J.; Zhang, Y.; Kudo, A. Synthesis and photocatalytic performances of BiVO4 by ammonia co-precipitation process. J. Solid. State. Chem. 2009, 182, 223–228. [Google Scholar] [CrossRef]
- Zhang, A. Zhang, J. Hydrothermal processing for obtaining of BiVO4 nanoparticles. Mater. Lett. 2009, 63, 1939–1942. [Google Scholar] [CrossRef]
- Liu, J.; Wang, H.; Wang, S.; Yan, H. Hydrothermal preparation of BiVO4 powders. Mat. Sci. Eng. B 2003, 104, 36–39. [Google Scholar] [CrossRef]
- Zhang, A.; Zhang, J.; Cui, N.; Tie, X.; An, Y.; Li, L. Chemical effects of pH on hydrothermal synthesis and characterization of visible-light-driven BiVO4 photocatalyst. J. Mol. Catal. A Chem. 2009, 304, 28–32. [Google Scholar] [CrossRef]
- García-Fernández, I.; Fernández-Calderero, I.; Polo-López, M.I. Disinfection of urban effluents using solar TiO2 photocatalysis : A study of significance of dissolved oxygen, temperature, type of microorganism and water matrix. Cat. Today 2015, 240, 30–38. [Google Scholar] [CrossRef]
- Pigeot-Rémy, S.; Simonet, F.; Atlan, D.; Lazzaroni, J.C.; Guillard, C. Bactericidal efficiency and mode of action: A comparative study of photochemistry and photocatalysis. Water. Res. 2012, 46, 3208–3218. [Google Scholar] [CrossRef] [PubMed]
- Kim, S.; Ghafoor, K.; Lee, J.; Feng, M.; Hong, J.; Lee, D.U.; Park, J. Bacterial inactivation in water, DNA strand breaking, and membrane damage induced by ultraviolet-assisted titanium dioxide photocatalysis. Water. Res. 2013, 47, 4403–4411. [Google Scholar] [CrossRef] [PubMed]
- Mouli, S.; Martinez, C.; Hernández, S.; Bensaid, S.; Saracco, G.; Russo, N. Elucidation of important parameters of BiVO4 responsible for photo-catalytic O2 evolution and insights about the rate of the catalytic process. Chem. Eng. J. 2014, 245, 124–132. [Google Scholar]
- Tan, G.; Zhang, L.; Ren, H.; Wei, S.; Huang, J.; Xia, A. Effects of pH on the hierarchical structures and photocatalytic performance of BiVO4 powders prepared via the microwave hydrothermal method. Appl. Mater. Interfaces 2013, 5, 5186–5193. [Google Scholar] [CrossRef] [PubMed]
- Li, R.; Zhang, F.; Wang, D.; Yang, J.; Li, M.; Zhu, J.; Zhou, X.; Han, H.; Li, C. Spatial separation of photogenerated electrons and holes among {010} and {110} crystal facets of BiVO4. Nat. Commun. 2013, 4, 1432. [Google Scholar] [CrossRef] [PubMed]
- Liu, Y.Y.; Huang, B.B.; Dai, Y.; Zhang, X.Y.; Qin, X.Y.; Jiang, M.H.; Whangbo, M.H. Selective ethanol formation from photocatalytic reduction of carbon dioxide in water with BiVO4 photocatalyst. Catal. Commun. 2009, 11, 210–213. [Google Scholar] [CrossRef]
- Booshehri, A.Y.; Goh, C.S.; Hong, J.D.; Jiang, R.R.; Xu, R. Effect of depositing silver nanoparticles on BiVO4in enhancing visible light photocatalytic inactivation of bacteria in water. J. Mater. Chem. A 2014, 2, 6209–6217. [Google Scholar] [CrossRef]
- Kiwi, J.; Nadtochenko, V. Evidence for the Mechanism of Photocatalytic Degradation of the Bacterial Wall Membrane at the TiO2 Interface by ATR-FTIR and Laser Kinetic Spectroscopy. Langmuir 2005, 21, 4631–4641. [Google Scholar] [CrossRef] [PubMed]
- Nadtochenko, V.A.; Rincon, A.G.; Stanca, S.E.; Kiwi, J. Dynamics of E. coli membrane cell peroxidation during TiO2 photocatalysis studied by ATR-FTIR spectroscopy and AFM microscopy. J. Photoch. Photobio. A 2005, 169, 131–137. [Google Scholar] [CrossRef]
- Suwalsky, M.; Schneider, C. Evidence for the hydration effect at the semiconductor phospholipid-bilayer interface by TiO2 photocatalysis. J. Photoch. Photobio. B 2005, 78, 253–258. [Google Scholar] [CrossRef] [PubMed]







| pH | Length (µm) | Thickness (µm) |
|---|---|---|
| 0.5 | 20–30 | 2 |
| 1 | 10–20 | 1 |
| 3 | 1–9 | 0.5 |
| 5 | 0.8–1.0 | 0.1 |
| 7 | 0.1–1.0 | 0.05 |
| 9 | 0.05 | 0.01 |
| 11 | 1–3 | 0.01 |
| 13 | 5–10 | 0.01 |
© 2016 by the authors; licensee MDPI, Basel, Switzerland. This article is an open access article distributed under the terms and conditions of the Creative Commons by Attribution (CC-BY) license (http://creativecommons.org/licenses/by/4.0/).
Share and Cite
Qu, Z.; Liu, P.; Yang, X.; Wang, F.; Zhang, W.; Fei, C. Microstructure and Characteristic of BiVO4 Prepared under Different pH Values: Photocatalytic Efficiency and Antibacterial Activity. Materials 2016, 9, 129. https://doi.org/10.3390/ma9030129
Qu Z, Liu P, Yang X, Wang F, Zhang W, Fei C. Microstructure and Characteristic of BiVO4 Prepared under Different pH Values: Photocatalytic Efficiency and Antibacterial Activity. Materials. 2016; 9(3):129. https://doi.org/10.3390/ma9030129
Chicago/Turabian StyleQu, Zhengyao, Peng Liu, Xiaoyu Yang, Fazhou Wang, Wenqin Zhang, and Chenggang Fei. 2016. "Microstructure and Characteristic of BiVO4 Prepared under Different pH Values: Photocatalytic Efficiency and Antibacterial Activity" Materials 9, no. 3: 129. https://doi.org/10.3390/ma9030129
APA StyleQu, Z., Liu, P., Yang, X., Wang, F., Zhang, W., & Fei, C. (2016). Microstructure and Characteristic of BiVO4 Prepared under Different pH Values: Photocatalytic Efficiency and Antibacterial Activity. Materials, 9(3), 129. https://doi.org/10.3390/ma9030129
