Intrinsic Flame-Retardant and Thermally Stable Epoxy Endowed by a Highly Efficient, Multifunctional Curing Agent
Abstract
:1. Introduction
2. Results and Discussion
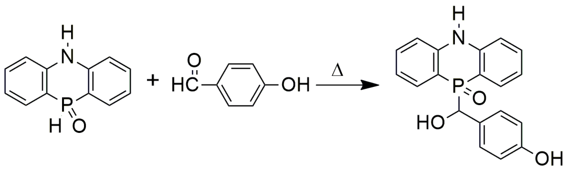
2.1. Synthesis and Characterization
2.2. Curing Behavior
2.3. Flammability
2.4. Thermal Analysis
2.5. Char Layer
3. Experimental Section
3.1. Materials
3.2. Synthesis of HB-DPPA
3.3. Preparation of Cured Epoxy
3.4. Characterization
4. Conclusions
Supplementary Materials
Acknowledgments
Author Contributions
Conflicts of Interest
References
- Pham, H.Q.; Marks, M.J. Epoxy Resins; Wiley-VCH: Weinheim, Germany, 2005. [Google Scholar]
- Levchik, S.V.; Weil, E.D. Thermal decomposition, combustion and flame-retardancy of epoxy resins—A review of the recent literature. Polym. Int. 2004, 53, 1901–1929. [Google Scholar] [CrossRef]
- Rakotomalala, M.; Wagner, S.; Döring, M. Recent developments in halogen free flame retardants for epoxy resins for electrical and electronic applications. Materials 2010, 3, 4300–4327. [Google Scholar] [CrossRef]
- Weil, E.D.; Levchik, S.V. A review of current flame retardant systems for epoxy resins. J. Fire Sci. 2004, 22, 25–40. [Google Scholar] [CrossRef]
- Gérard, C.; Fontaine, G.; Bourbigot, S. New trends in reaction and resistance to fire of fire-retardant epoxies. Materials 2010, 3, 4476–4499. [Google Scholar] [CrossRef]
- Gouri, M.E.; Bachiri, A.E.; Hegazi, S.E.; Rafik, M.; Harfi, A.E. Thermal degradation of a reactive flame retardant based on cyclotriphosphazene and its blend with DGEBA epoxy resin. Polym. Degrad. Stabil. 2009, 94, 2101–2106. [Google Scholar] [CrossRef]
- Liu, R.; Wang, X. Synthesis, characterization, thermal properties and flame retardancy of a novel nonflammable phosphazene-based epoxy resin. Polym. Degrad. Stabil. 2009, 94, 617–624. [Google Scholar] [CrossRef]
- Liu, H.; Wang, X.; Wu, D. Preparation, isothermal, kinetics, and performance of a novel epoxy thermosetting system based on phosphazene-cyclomatrix network for halogen-free flame retardancy and high thermal stability. Thermochim. Acta 2015, 607, 60–73. [Google Scholar] [CrossRef]
- Perez, R.M.; Sandler, J.K.W.; Altstädt, V.; Hoffmann, T.; Pospiech, D.; Ciesielski, M.; Döring, M. Effect of DOP-based compounds on fire retardancy, thermal stability, and mechanical properties of DGEBA cured with 4,4-DDS. J. Mater. Sci. 2006, 42, 341–351. [Google Scholar] [CrossRef]
- Kang, N.; Du, Z.; Li, H.; Zhang, C. Synthesis and characterization of P/Si flame retardant and its application in epoxy systems. Polym. Adv. Technol. 2012, 23, 1329–1334. [Google Scholar] [CrossRef]
- Altarawneh, M.; Dlugogorski, B.Z. Mechanism of thermal decomposition of tetrabromobisphenol A (TBBA). J. Phys. Chem. A 2014, 118, 9338–9346. [Google Scholar] [CrossRef] [PubMed]
- Altarawneh, M.; Dlugogorski, B.Z. Formation of polybrominated dibenzofurans from polybrominated biphenyls. Chemosphere 2015, 119, 1048–1053. [Google Scholar] [CrossRef] [PubMed]
- Altarawneh, M.; Dlugogorski, B.Z. Thermal decomposition of 1,2-Bis(2,4,6-tribromophenoxy)ethane (BTBPE), a novel brominated flame retardant. Environ. Sci. Technol. 2014, 48, 14335–14343. [Google Scholar] [CrossRef] [PubMed]
- Shieh, J.-Y.; Wang, C.-S. Effect of the organosphosphate structure on the physical and flame-retardant properties of an epoxy resin. J. Polym. Sci. A 2002, 40, 369–378. [Google Scholar] [CrossRef]
- Toldy, A.; Tóth, N.; Anna, P.; Marosi, G. Synthesis of phosphorus-based flame retardant systems and their use in an epoxy resin. Polym. Degrad. Stabil. 2006, 91, 585–592. [Google Scholar] [CrossRef]
- Butnaru, I.; Fernández-Ronco, M.P.; Czech-Polak, J.; Heneczkowski, M.; Bruma, M.; Gaan, S. Effect of meltable triazine-DOPO additive on rheological, mechanical, and flammability properties of PA6. Materials 2015, 7, 1541–1563. [Google Scholar] [CrossRef]
- Chen, L.; Wang, Y.-Z. Aryl polyphosphonates: Useful halogen-free flame retardants for polymers. Materials 2010, 3, 4746–4760. [Google Scholar] [CrossRef]
- Schartel, B. Phosphorus-based flame retardancy mechanisms—Old hat or a starting point for future development? Materials 2010, 3, 4710–4745. [Google Scholar] [CrossRef]
- Wirasaputra, A.; Yao, X.; Zhu, Y.; Liu, S.; Yuan, Y.; Zhao, J.; Fu, Y. Flame-Retarded Epoxy Resins with a Curing Agent of DOPO-Triazine Based Anhydride. Macromol. Mater. Eng. 2016. [Google Scholar] [CrossRef]
- Bourbigot, S.; Le Bras, M.; Duquesne, S.; Rochery, M. Recent advances for intumescent polymers. Macromol. Mater. Eng. 2004, 289, 499–511. [Google Scholar] [CrossRef]
- Le Bras, M.; Bourbigot, S.; Revel, B. Comprehensive study of the degradation of an intumescent EVA-based material during combustion. J. Mater. Sci. 1999, 34, 5777–5782. [Google Scholar] [CrossRef]
- Camino, G.; Costa, L.; Luda, M.P. Mechanistic aspects of intumescent fire retardant systems. Makromol. Chem. 1993, 74, 71–83. [Google Scholar] [CrossRef]
- Xu, W.; Wirasaputra, A.; Liu, S.; Yuan, Y.; Zhao, J. Highly effective flame retarded epoxy resin cured by DOPO-based co-curing agent. Polym. Degrad. Stabil. 2015, 122, 44–51. [Google Scholar] [CrossRef]
- Wang, Y.; Zhao, J.; Yuan, Y.; Liu, S.; Feng, Z.; Zhao, Y. Synthesis of maleimido-substituted aromatic s-triazine and its application in flame-retarded epoxy resins. Polym. Degrad. Stabil. 2014, 99, 27–34. [Google Scholar] [CrossRef]
- Carja, I.-D.; Serbezeanu, D.; Vlad-Bubulac, T.; Hamciuc, C.; Coroaba, A.; Lisa, G.; López, C.G.; Soriano, M.F.; Pérez, V.F.; Sánchez, M.D.R. A straightforward, eco-friendly and cost-effective approach towards flame retardant epoxy resins. J. Mater. Chem. A 2014, 2, 16230–16241. [Google Scholar] [CrossRef]
- Luo, Q.; Yuan, Y.; Dong, C.; Liu, S.; Zhao, J. Intumescent flame retardancy of a DGEBA epoxy resin based on 5,10-dihydro-phenophosphazine-10-oxide. RSC Adv. 2015, 5, 68476–68484. [Google Scholar] [CrossRef]
- Zhang, W.; Li, X.; Yang, R. Novel flame retardancy effects of DOPO-POSS on epoxy resins. Polym. Degrad. Stabil. 2011, 96, 2167–2173. [Google Scholar] [CrossRef]
- Zhang, W.; Li, X.; Yang, R. Blowing-out effect and temperature profile in condensed phase in flame retarding epoxy resins by phosphorus-containing oligomeric silsesquioxane. Polym. Adv. Technol. 2013, 24, 951–961. [Google Scholar] [CrossRef]
- Qian, L.; Qiu, Y.; Liu, J.; Xin, F.; Chen, Y. The flame retardant group-synergistic-effect of a phosphaphenanthrene and triazine double-group compound in epoxy resin. J. Appl. Polym. Sci. 2014. [CrossRef]
- Wang, X.; Hu, Y.; Song, L.; Xing, W.; Lu, H. Preparation, flame retardancy, and thermal degradation of epoxy thermosets modified with phosphorous/nitrogen-containing glycidyl derivative. Polym. Adv. Technol. 2012, 23, 190–197. [Google Scholar] [CrossRef]
- Liu, Y.L. Flame-retardant epoxy resins from novel phosphorus-containing novolac. Polymer 2001, 42, 3445–3454. [Google Scholar] [CrossRef]
- Lu, S.-Y.; Hamerton, I. Recent developments in the chemistry of halogen-free flame retardant polymers. Prog. Polym. Sci. 2002, 27, 1661–1712. [Google Scholar] [CrossRef]
- Cayla, A.; Rault, F.; Giraud, S.; Salaün, F.; Fierro, V.; Celzard, A. PLA with intumescent system containing lignin and ammonium polyphosphate for flame retardant textile. Polymers 2016, 8, 331. [Google Scholar] [CrossRef]
- Wang, X.; Hu, Y.; Song, L.; Yang, H.; Xing, W.; Lu, H. Synthesis and characterization of a DOPO-substitued organophosphorus oligomer and its application in flame retardant epoxy resins. Prog. Org. Coat. 2011, 71, 72–82. [Google Scholar] [CrossRef]
- Liang, B.; Cao, J.; Hong, X.D.; Wang, C.S. Synthesis and properties of a novel phosphorous-containing flame-retardant hardener for epoxy resin. J. Appl. Polym. Sci. 2013, 128, 2759–2765. [Google Scholar] [CrossRef]
- Yang, S.; Wang, J.; Huo, S.; Wang, M.; Wang, J. Preparation and flame retardancy of a compounded epoxy resin system composed of phosphorus/nitrogen-containing active compounds. Polym. Degrad. Stabil. 2015, 121, 398–406. [Google Scholar] [CrossRef]
- Xiao, L.; Sun, D.-C.; Niu, T.-L.; Yao, Y.-W. Syntheses of two dopo-based reactive additives as flame retardants and co-curing agents for epoxy resins. Phosphorus Sulfur 2014, 189, 1564–1571. [Google Scholar] [CrossRef]
- Yu, B.; Shi, Y.; Yuan, B.; Qiu, S.; Xing, W.; Hu, W.; Song, L.; Lo, S.; Hu, Y. Enhanced thermal and flame retardant properties of flame-retardant-wrapped graphene epoxy resin nanocomposites. J. Mater. Chem. A 2015, 3, 8034–8044. [Google Scholar] [CrossRef]
- Qian, X.; Song, L.; Yu, B.; Wang, B.; Yuan, B.; Shi, Y.; Hu, Y.; Yuen, R.K.K. Novel organic-inorganic flame retardants containing exfoliated graphene: Preparation and their performance on the flame retardancy of epoxy resins. J. Mater. Chem. A 2013, 1, 6822–6830. [Google Scholar] [CrossRef]
- Perret, B.; Schartel, B.; Stöß, K.; Ciesielski, M.; Diederichs, J.; Döring, M.; Krämer, J.; Altstädt, V. A new halogen-free flame retardant based on 9,10-dihydro-9-oxa-10-phosphaphenanthrene-10-oxide for epoxy resins and their carbon fiber composites for the automotive and aviation industries. Macromol. Mater. Eng. 2011, 296, 14–30. [Google Scholar] [CrossRef]














| Sample ID | LOI (%) | t 1 (s) | Dripping | UL-94 Rating |
|---|---|---|---|---|
| EP-0 | 24.1 | >180 | Yes | No Rating |
| EP-0.5 | 28.2 | 36 | No | No Rating |
| EP-1 | 28.3 | 32 | No | No Rating |
| EP-1.5 | 28.8 | 25 | No | V-1 |
| EP-2 | 29.3 | 8 | No | V-0 |
| EP-2.5 | 29.5 | 5 | No | V-0 |
| Sample ID | TTI (s) | Peak HRR (kW/m2) | Mean HRR (kW/m2) | THR (MJ/m2) | Mean MLR (g/s) | Residual Weight (wt %) |
|---|---|---|---|---|---|---|
| EP-0 | 54 | 880 | 312 | 187 | 0.093 | 12.0 |
| EP-2 | 65 | 800 | 285 | 162 | 0.081 | 21.6 |
| Sample ID | T5% (°C) | Tmax (°C) | Rmax (%/min) |
|---|---|---|---|
| EP-0 | 368.9 | 389.6 | 18.5 |
| EP-2 | 364.3 | 383.7 | 16.2 |
| Bonds | Bond Length (Å) | Bonds | Bond Length (Å) | ||
|---|---|---|---|---|---|
| h-HB-DPPA | h-HB-DPPAr | HB-DOPO | HB-DOPOr | ||
| P23–C3 | 1.796 | 1.798 | P21–C8 | 1.808 | 1.816 |
| P23–C8 | 1.796 | 1.797 | P21–O23 | 1.654 | 1.668 |
| P23=O22 | 1.503 | 1.516 | P21=O22 | 1.489 | 1.500 |
| P23–C24 | 1.881 | - | P21–C24 | 1.863 | - |
| Weight Percent (wt %) | Char Layer | ||||
|---|---|---|---|---|---|
| A | B | C | D | E | |
| C | 74.85 | 74.62 | 69.14 | 73.64 | 86.97 |
| O | 23.33 | 18.73 | 17.33 | 14.99 | 11.56 |
| N | - | 5.72 | 11.93 | 10.15 | 0.43 |
| P | 1.82 | 0.93 | 1.60 | 1.22 | 1.04 |
| Sample ID 1 | DGEBA (wt %) | DDM (wt %) | HB-DPPA (wt %) | P (wt %) |
|---|---|---|---|---|
| EP-0 | 79.83 | 20.17 | 0 | 0 |
| EP-0.5 | 79.61 | 19.89 | 0.5 | 0.05 |
| EP-1 | 79.39 | 19.61 | 1.0 | 0.09 |
| EP-1.5 | 79.16 | 19.34 | 1.5 | 0.14 |
| EP-2 | 78.94 | 19.06 | 2.0 | 0.18 |
| EP-2.5 | 78.72 | 18.78 | 2.5 | 0.23 |
© 2016 by the authors; licensee MDPI, Basel, Switzerland. This article is an open access article distributed under the terms and conditions of the Creative Commons Attribution (CC-BY) license (http://creativecommons.org/licenses/by/4.0/).
Share and Cite
Dong, C.; Wirasaputra, A.; Luo, Q.; Liu, S.; Yuan, Y.; Zhao, J.; Fu, Y. Intrinsic Flame-Retardant and Thermally Stable Epoxy Endowed by a Highly Efficient, Multifunctional Curing Agent. Materials 2016, 9, 1008. https://doi.org/10.3390/ma9121008
Dong C, Wirasaputra A, Luo Q, Liu S, Yuan Y, Zhao J, Fu Y. Intrinsic Flame-Retardant and Thermally Stable Epoxy Endowed by a Highly Efficient, Multifunctional Curing Agent. Materials. 2016; 9(12):1008. https://doi.org/10.3390/ma9121008
Chicago/Turabian StyleDong, Chunlei, Alvianto Wirasaputra, Qinqin Luo, Shumei Liu, Yanchao Yuan, Jianqing Zhao, and Yi Fu. 2016. "Intrinsic Flame-Retardant and Thermally Stable Epoxy Endowed by a Highly Efficient, Multifunctional Curing Agent" Materials 9, no. 12: 1008. https://doi.org/10.3390/ma9121008
APA StyleDong, C., Wirasaputra, A., Luo, Q., Liu, S., Yuan, Y., Zhao, J., & Fu, Y. (2016). Intrinsic Flame-Retardant and Thermally Stable Epoxy Endowed by a Highly Efficient, Multifunctional Curing Agent. Materials, 9(12), 1008. https://doi.org/10.3390/ma9121008

