Photovoltaic and Impedance Spectroscopy Study of Screen-Printed TiO2 Based CdS Quantum Dot Sensitized Solar Cells
Abstract
:1. Introduction
2. Experimental Details
2.1. Sample Preparation
2.2. Characterization
3. Results and Discussion
3.1. Absorption Studies

3.2. TEM Images

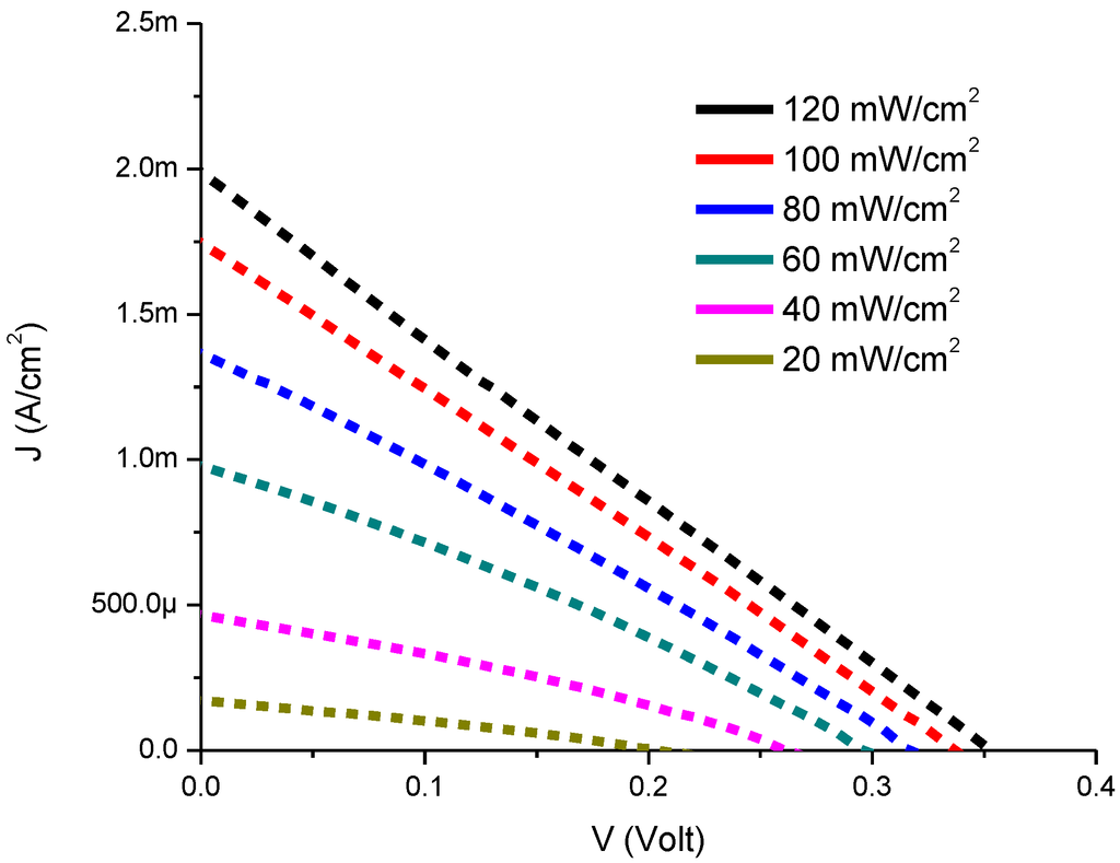
3.3. Photovoltaic Characteristics




3.4. Impedance Characteristics
3.4.1. Capacitance-Voltage Characteristics

3.4.2. Conductance-Voltage Characteristics

3.4.3. Resistance-Voltage Characteristics

4. Conclusions
Acknowledgments
Author Contributions
Conflicts of Interest
References
- Seok, W.K.; Gupta, A.K.; Roh, S.J.; Lee, W.; Han, S.-H. Synthesis and application of new Ru(II) complexes for dye-sensitized nanocrystalline TiO2 solar cells. Bull. Korean Chem. Soc. 2007, 28, 1311–1316. [Google Scholar] [CrossRef]
- O’Regan, B.; Grätzel, M. A low-cost, high-efficiency solar cell based on dye-sensitized colloidal TiO2 films. Nature 1991, 353, 737–740. [Google Scholar] [CrossRef]
- Kamat, P.V. Quantum dot solar cells. Semiconductor nanocrystals as light harvesters. J. Phys. Chem. C 2008, 112, 18737–18753. [Google Scholar] [CrossRef]
- Yang, W.G.; Wan, F.R.; Chen, S.W.; Jiang, C.H. Hydrothermal growth and application of ZnO nanowire films with ZnO and TiO2 buffer layers in dye-sensitized solar cells. Nanoscale Res. Lett. 2009, 4, 1486–1492. [Google Scholar] [CrossRef] [PubMed]
- Ahmad, U. Growth of comb-like ZnO Nanostructures for dye-Sensitized solar cells applications. Nanoscale Res. Lett. 2009, 4, 1004–1008. [Google Scholar] [CrossRef] [PubMed]
- Liu, J.; Xia, H.D.; Xue, F.; Lu, L. Double-shelled nanocapsules of V2O5-based composites as high-performance anode and cathode materials for Li ion batteries. J. Am. Chem. Soc. 2009, 131, 12086–12087. [Google Scholar] [CrossRef] [PubMed]
- Yan, C.; Xue, D. Formation of Nb2O5 nanotube arrays through phase transformation. Adv. Mater. 2008, 20, 1055–1058. [Google Scholar] [CrossRef]
- Farooq, W.A.; Fatehmulla, A.; Yakuphanoglu, F.; Yahia, I.S.; Ali, S.M.; Atif, M.; Aslam, M.; Tawfik, W. Photovoltaic characteristics of solar cells based on nanostructured titanium dioxide sensitized with fluorescein sodium salt. Theoret. Exper. Chem. 2014, 50, 121–126. [Google Scholar] [CrossRef]
- Farooq, W.A.; Atif, M.; Fatehmulla, A.; Yakuphanoglu, F.; Yahia, I.S. Impedance spectroscopy and transport mechanisms of TiO2-based dye sensitized solar cell. J. Ovon. Res. 2014, 10, 61–66. [Google Scholar]
- Fatehmulla, A.; Farooq, W.A.; Aslam, M.; Atif, M.; Ali, S.M.; Yahia, I.S.; Yakuphanoglu, F.; Al-Dhafiri, A.M. Photovoltaic and impedance characteristics of modified silar grown CdS quantum dot sensitized solar cell. J. Int. Sci. Publ. 2014, 8, 676–683. [Google Scholar]
- Farooq, W.A.; Fatehmulla, A.; Aslam, M.; Atif, M.; Ali, S.M.; Yakuphanoglu, F.; Yahia, I.S. Comparison of photovoltaic parameters of CdSe quantum dot and safranin dye based solar cell. J. Int. Sci. Publ. 2014, 8, 667–675. [Google Scholar]
- Fatehmulla, A.; Atif, M.; Farooq, W.A.; Aslam, M.; Yakuphanoglu, F.; Yahia, I.S. Photovoltaic properties of Ammoniated ruthenium oxychloride dye based solar cell. OAM-RC 2014, 8, 587–592. [Google Scholar]
- Bang, J.H.; Kamat, P.V. Solar cells by design: Photoelectrochemistry of TiO2 nanorod arrays decorated with CdSe. Adv. Funct. Mater. 2010, 20, 1970–1976. [Google Scholar] [CrossRef]
- Zhao, N.; Osedach, T.P.; Chang, L.Y.; Geyer, S.M.; Wanger, D.; Binda, M.T.; Arango, A.C.; Bawendi, M.G.; Bulovic, V. Colloidal PbS quantum dot solar cells with high fill factor. ACS Nano 2010, 4, 3743–3752. [Google Scholar] [CrossRef] [PubMed]
- Tubtimtae, A.; Wu, K.L.; Tung, H.Y.; Lee, M.W.; Wang, G.J. Ag2S quantum dot-sensitized solar cells. Electrochem. Commun. 2010, 12, 1158–1160. [Google Scholar] [CrossRef]
- Peter, L.M.; Wijayantha, K.G.U.; Riley, D.J.; Waggett, J.P. Band-edge tuning in self-assembled layers of Bi2S3 nanoparticles used to photosensitize nanocrystalline TiO2. J. Phys. Chem. B 2003, 107, 8378–8381. [Google Scholar] [CrossRef]
- Gao, X.F.; Li, H.B.; Sun, W.T.; Chen, Q.; Tang, F.Q.; Peng, L.M. CdTe quantum dots-sensitized TiO2 nanotube array photoelectrodes. J. Phys. Chem. C 2009, 113, 7531–7535. [Google Scholar] [CrossRef]
- Lee, H.J.; Yum, J.H.; Leventis, H.C.; Zakeeruddin, S.M.; Haque, S.A.; Chen, P.; Seok, S.I.; Grätzel, M.; Nazeeruddin, M.K. CdSe quantum dot-sensitized solar cells exceeding efficiency 1% at full-sun intensity. J. Phys. Chem. C 2008, 112, 11600–11608. [Google Scholar] [CrossRef]
- Baker, D.R.; Kamat, P.V. Photosensitization of TiO2 nanostructures with CdS quantum dots: Particulate versus tubular support architectures. Adv. Funct. Mater. 2009, 19, 805–811. [Google Scholar] [CrossRef]
- Shen, Y.J.; Lee, Y.L. Assembly of CdS quantum dots onto mesoscopic TiO2 films for quantum dot-sensitized solar cell applications. Nanotechnology 2008, 19, 045602. [Google Scholar] [CrossRef] [PubMed]
- Trinh, M.T.; Houtepen, A.J.; Schins, J.M.; Hanrath, T.; Piris, J.; Knulst, W.; Goossens, A.P.L.M.; Siebbeles, L.D.A. In spite of recent doubts carrier multiplication does occur in pbse nanocrystals. Nano Lett. 2008, 8, 1713–1718. [Google Scholar] [CrossRef] [PubMed]
- Wang, P.; Zakeeruddin, S.; Moser, J.; Humphry-Baker, R.; Comte, P.; Aranyos, V.; Hagfeldt, A.; Nazeeruddin, M.; Grätzel, M. Stable new sensitizer with improved light harvesting for nanocrystalline dye-sensitized solar cells. Adv. Mater. 2004, 16, 1806–1811. [Google Scholar] [CrossRef]
- Vogel, R.; Hoyer, P.; Weller, H. Quantum-sized PbS, CdS, Ag2S, Sb2S3, and Bi2S3 particles as sensitizers for various nanoporous wide-bandgap semiconductors. J. Phys. Chem. 1994, 98, 3183–3188. [Google Scholar] [CrossRef]
- Kroon, J.M.; Bakker, N.J.; Smit, H.J.P.; Liska, P.; Thampi, K.R.; Wang, P.; Zakeeruddin, S.M.; Grätzel, M.; Hinsch, A.; Hore, S.; et al. Nanocrystalline dye-sensitized solar cells having maximum performance. Prog. Photovolt. 2007, 15, 1–18. [Google Scholar] [CrossRef]
- Li, K.; Luo, Y.; Yu, Z.; Deng, M.; Li, D.; Meng, Q. Low temperature fabrication of efficient porous carbon counter electrode for dye-sensitized solar cells. Electrochem. Commun. 2009, 11, 1346–1349. [Google Scholar] [CrossRef]
- Hong, W.J.; Xu, Y.X.; Lu, G.W.; Li, C.; Shi, G.Q. Transparent graphene/PEDOT–PSS composite films as counter electrodes of dye-sensitized solar cells. Electrochem. Commun. 2008, 10, 1555–1558. [Google Scholar] [CrossRef]
- Lee, Y.L.; Lo, Y.S. Highly efficient quantum-dot-sensitized solar cell based on co-sensitization of CdS/CdSe. Adv. Funct. Mater. 2009, 19, 604–609. [Google Scholar] [CrossRef]
- Ahmed, R.; Will., G.; Bell, J.; Hongxia, W. Size dependent photodegradation of CdS particles deposited onto TiO2 mesoporous films by SILAR method. J. Nanopart. Res. 2012, 14, 1–13. [Google Scholar] [CrossRef] [PubMed]
- Rosenblut, M.L.; Lewis, N.S. “Ideal” behavior of the open circuit voltage of semiconductor/liquid junctions. J. Phys. Chem. 1989, 93, 3735–3740. [Google Scholar] [CrossRef]
- Hagfeldt, A.; Lindström, H.; Södergren, S.; Lindquist, S.-E. Photoelectrochemical studies of colloidal TiO2 films: The effect of oxygen studied by photocurrent transients. J. Electroanal. Chem. 1995, 381, 39–46. [Google Scholar] [CrossRef]
- Sheng, X.; Zhao, Y.; Zhai, J.; Jiang, L.; Zhu, D. Electro-hydrodynamic fabrication of ZnO-based dye sensitized solar cells. Appl. Phys. A 2007, 87, 715–719. [Google Scholar] [CrossRef]
- Neugebauer, H.; Brabec, C.; Hummelen, J.C.; Sariciftci, N.S. Stability and photodegradation mechanisms of conjugated polymer/fullerene plastic solar cells. Sol. Energy Mater. Sol. Cell 2000, 61, 35–42. [Google Scholar] [CrossRef]
- Martins, R.; Fortunato, E. Lateral photoeffect in large-area one-dimensional thin-film position-sensitive detectors based in a-Si-H P-I-N devices. Rev. Sci. Instrum. 1995, 66, 2927–2934. [Google Scholar] [CrossRef]
- Effect of Light Intensity. Available online: http://www.pveducation.org/pvcdrom/solar-cell-operation/effect-of-light-intensity (accessed on 9 January 2015).
- Arndt, C.; Zhokhavets, U.; Gobsch, G.; Winder, C.; Lungenschmied, C.; Sariciftci, N.S. Investigation of excited states in polymer/fullerene solar cells by means of photoinduced reflection-/absorption spectroscopy. Thin Solid Films 2004, 451–452, 60–63. [Google Scholar] [CrossRef]
- El Kamel, F.; Gonon, P.; Jomni, F.; Yangui, B. Observation of negative capacitances in metal-insulator-metal devices based on a-BaTiO3:H. Appl. Phys. Lett. 2008, 93, 042904. [Google Scholar] [CrossRef]
- Mozer, A.J.; Denk, P.; Scharber, M.C.; Neugebauer, H.; Sariciftci, N.S.; Wagner, P.; Lutsen, L.; Vanderzande, D. Novel regiospecific MDMO-PPV copolymer with improved charge transport for bulk heterojunction solar cells. J. Phys. Chem. B 2004, 108, 5235–5242. [Google Scholar] [CrossRef]
- Kron, G.; Nelles, G.; Miteva, T.; Yasuda, A.; Werner, J.H.; Rau, U. Junction Admittance of Dye seNsitized Nonporous TiO2. Available online: http://www.electrochem.org/dl/ma/201/pdfs/1054.pdf (accessed on 9 January 2015).
- Nicollian, E.H.; Goetzberger, A. MOS conductance technique for measuring surface state parameters. Appl. Phys. Lett. 1965, 7, 216–219. [Google Scholar] [CrossRef]
- Mansour, S.A.; Yakuphanoglu, F. Electrical-optical properties of nanofiber ZnO film grown by sol gel method and fabrication of ZnO/p-Si heterojunction. Solid State Sci. 2012, 14, 121–126. [Google Scholar] [CrossRef]
- Nicollian, E.H.; Brews, J.R. MOS Physics and Technology; John Willey: New York, NY, USA, 1982. [Google Scholar]
© 2015 by the authors; licensee MDPI, Basel, Switzerland. This article is an open access article distributed under the terms and conditions of the Creative Commons Attribution license (http://creativecommons.org/licenses/by/4.0/).
Share and Cite
Atif, M.; Farooq, W.A.; Fatehmulla, A.; Aslam, M.; Ali, S.M. Photovoltaic and Impedance Spectroscopy Study of Screen-Printed TiO2 Based CdS Quantum Dot Sensitized Solar Cells. Materials 2015, 8, 355-367. https://doi.org/10.3390/ma8010355
Atif M, Farooq WA, Fatehmulla A, Aslam M, Ali SM. Photovoltaic and Impedance Spectroscopy Study of Screen-Printed TiO2 Based CdS Quantum Dot Sensitized Solar Cells. Materials. 2015; 8(1):355-367. https://doi.org/10.3390/ma8010355
Chicago/Turabian StyleAtif, M., W. A. Farooq, Amanullah Fatehmulla, M. Aslam, and Syed Mansoor Ali. 2015. "Photovoltaic and Impedance Spectroscopy Study of Screen-Printed TiO2 Based CdS Quantum Dot Sensitized Solar Cells" Materials 8, no. 1: 355-367. https://doi.org/10.3390/ma8010355
APA StyleAtif, M., Farooq, W. A., Fatehmulla, A., Aslam, M., & Ali, S. M. (2015). Photovoltaic and Impedance Spectroscopy Study of Screen-Printed TiO2 Based CdS Quantum Dot Sensitized Solar Cells. Materials, 8(1), 355-367. https://doi.org/10.3390/ma8010355
