Preparation and Characterization of Films Extruded of Polyethylene/Chitosan Modified with Poly(lactic acid)
Abstract
:1. Introduction
2. Results and Discussion
2.1. Chemical Modification of Chitosan Using Poly(lactic acid)



2.2. Films of Polyethylene/Chitosan Modified with Poly(lactic acid)
| Code | Composition in Films of PE and Ch-PLA | ||
|---|---|---|---|
| PE (wt%) | Ch-PLA (wt%) | PEgMA (wt%) | |
| H1 | 95 | 5 | 0 |
| H2 | 90 | 10 | 0 |
| H3 | 85 | 15 | 0 |
| H4 | 80 | 20 | 0 |
| I1 | 90 | 5 | 5 |
| I2 | 85 | 10 | 5 |
| I3 | 80 | 15 | 5 |
| I4 | 75 | 20 | 5 |
| I5 | 70 | 25 | 5 |
| I6 | 65 | 30 | 5 |
2.3. Characterization of Polyethylene/Chitosan Modified with Poly(lactic acid) Films
2.3.1. Infrared Spectroscopy

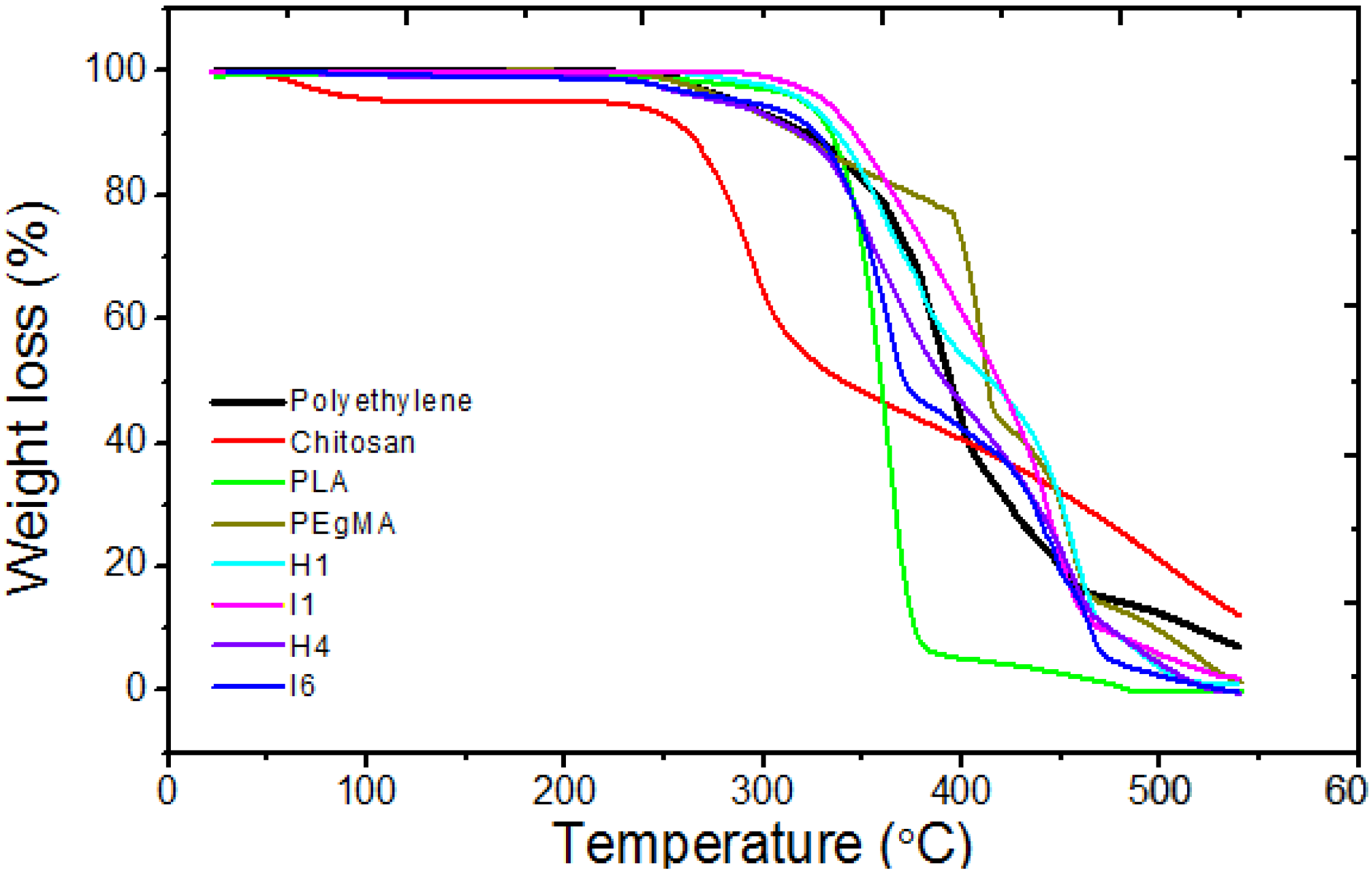
2.3.2. Thermal Analysis

| Film | Tm (°C) | ΔHm (J/g) | ΔHm (J/g) | Xc (%) |
|---|---|---|---|---|
| Polyethylene | 106.65 | 107.58 | 298.86 | 36.00 |
| H1 | 107.03 | 92.23 | 298.86 | 30.86 |
| I1 | 107.98 | 65.64 | 298.86 | 21.96 |
| H4 | 107.79 | 40.25 | 298.86 | 13.47 |
| I6 | 108.28 | 39.76 | 298.86 | 13.30 |
2.3.3. Analysis of Mechanical Properties

2.3.4. Scanning Electron Microscopy of Film Surfaces

3. Experimental Section
3.1. Materials
3.2. Modification of Chitosan with Poly(lactic acid)
3.3. Preparation of Extruded Films of Polyethylene and Chitosan Modified
3.4. Infrared Spectroscopic Analysis
3.5. Thermal Analysis
3.6. Analysis of Mechanical Properties
3.7. Scanning Electron Microscopy
4. Conclusions
Acknowledgments
Author Contributions
Conflicts of Interest
References
- Arutchelvi, J.; Sudhakar, M.; Arkatkar, A.; Doble, M.; Bhaduri, S.; Veera Uppara, P. Biodegradation of polyethylene and polypropylene. Indian J. Biotechnol. 2008, 7, 9–22. [Google Scholar]
- Quiroz-Castillo, J.M.; Rodríguez-Félix, D.E.; Grijalva-Monteverde, H.; del Castillo-Castro, T.; Plascencia-Jatomea, M.; Rodríguez-Félix, F.; Herrera-Franco, P.J. Preparation of extruded polyethylene/chitosan blends compatibilized with polyethylene-graft-maleic anhydride. J. Carbohydr. Polym. 2014, 101, 1094–1100. [Google Scholar] [CrossRef]
- Sionkowska, A. Current research on the blends of natural and synthetic polymers as new biomaterials: Review. Prog. Polym. Sci. 2011, 36, 1254–1276. [Google Scholar] [CrossRef]
- Cai, K.; Yao, K.; Cui, Y.; Lin, S.; Yang, Z.; Li, X.; Xie, H.; Qing, T.; Luo, J. Surface modification of poly (d,l-lactic acid) with chitosan and its effects on the culture of osteoblasts in vitro. J. Biomed. Mater. Res. 2002, 60, 398–404. [Google Scholar] [CrossRef]
- Dang, Q.F.; Zou, S.H.; Chen, X.G.; Liu, C.S.; Li, J.J.; Zhou, X.; Liu, Y.; Cheng, X.J. Characterizations of chitosan-based highly porous hydrogel-the effects of the solvent. J. Appl. Polym. Sci. 2012, 125, 88–98. [Google Scholar] [CrossRef]
- Harish-Prashanth, K.V.; Tharanathan, R.N. Chitin/chitosan: Modifications and their unlimited application potential—An overview. Trends Food Sci. Technol. 2007, 18, 117–131. [Google Scholar] [CrossRef]
- Li, J.; Zivanovic, S.; Davidson, P.M.; Kit, K. Characterization and comparison of chitosan/PVP and chitosan/PEO blend films. Carbohydr. Polym. 2010, 79, 786–791. [Google Scholar] [CrossRef]
- Nair, L.S.; Laurencin, C.T. Biodegradable polymers as biomaterials. Prog. Polym. Sci. 2007, 32, 762–798. [Google Scholar]
- Pillai, C.K.S.; Paul, W.; Sharma, C.P. Chitin and chitosan polymers: Chemistry, solubility and fiber formation. Prog. Polym. Sci. 2009, 34, 641–678. [Google Scholar] [CrossRef]
- Shih, C.M.; Shieh, Y.T.; Twu, Y.K. Preparation and characterization of cellulose/chitosan blend films. Carbohydr. Polym. 2009, 78, 169–174. [Google Scholar] [CrossRef]
- Sindhu, M.; Abraham, T.E. Characterisation of ferulic acid incorporated starch-chitosan blend films. Food Hydrocoll. 2008, 22, 826–835. [Google Scholar] [CrossRef]
- Zhong, C.; Wu, J.; Reinhart-King, C.A.; Chu, C.C. Synthesis, characterization and cytotoxicity of photo-crosslinked maleic chitosan-polyethylene glycoldiacrylate hybrid hydrogels. Acta Biomater. 2010, 6, 3908–3918. [Google Scholar] [CrossRef] [PubMed]
- Drumright, R.E.; Gruber, P.R.; Henton, D.E. Polylactic acid technology. Adv. Mater. 2000, 12, 1841–1846. [Google Scholar]
- Garlotta, D. A literature review of poly(lactic acid). J. Polym. Environ. 2002, 9/2, 63–84. [Google Scholar] [CrossRef]
- Feng, H.; Dong, C.M. Preparation, characterization, and self-assembled properties of biodegradable chitosan-poly(l-lactide) hybrid amphiphiles. Biomacromolecules 2006, 7, 3069–3075. [Google Scholar] [CrossRef]
- Kuo, P.C.; Sahu, D.; Yu, H.H. Properties and biodegradability of chitosan/nylon 11 blending films. Polym. Degrad. Stab. 2006, 91, 3097–3102. [Google Scholar] [CrossRef]
- Copinet, A.; Bertrand, C.; Govindin, S.; Coma, V.; Couturier, Y. Effects of ultraviolet light (315 nm), temperature and relative humidity on the degradation of polylactic acid plastic films. Chemosphere 2004, 55, 763–773. [Google Scholar] [CrossRef]
- Larez-Velasquez, C.; Rivas, A.; Velasquez, W.; Bahsas, A. Amidación del quitosano con cloruro de oleoilo. Rev. Iberoam. Polim. 2007, 8, 229–240. (In Spain) [Google Scholar]
- Del Castillo-Castro, T.; Castillo-Ortega, M.M.; Herrera-Franco, P.J.; Rodriguez-Felix, D.E. Compatibilization of polyethylene/polyaniline blends with polyethylene-graft-maleic anhydride. J. Appli. Polym. Sci. 2011, 119, 2895–2901. [Google Scholar]
- Singh, G.; Bhunia, H.; Rajor, A.; Choudhary, V. Thermal properties and degradation characteristics of polylactide, linear low density polyethylene, and their Blends. Polym. Bull. 2011, 66, 939–953. [Google Scholar] [CrossRef]
- Mir, S.; Yasin, T.; Halley, P.J.; Siddiqi, H.M.; Nicholson, T. Thermal, rheological, mechanical and morphological behavior of HDPE/chitosan blend. Carbohydr. Polym. 2011, 83, 414–421. [Google Scholar] [CrossRef]
- Magnus, B.; Kristiina, O. The use of silane technology in crosslinking polyethylene/wood flour composites. Compos. A Appl. Sci. Manuf. 2006, 7, 52–765. [Google Scholar]
- Duhamel, J.; Kanagalingam, S.; O’Brien, T.J.; Ingratta, M. Side-chain dynamics of an alpha-helical polypeptide monitored by fluorescence. J. Am. Chem. Soc. 2003, 42, 12810–12822. [Google Scholar] [CrossRef]
- Telmo, H.; Prazeres, J.; Duhamel, J. Characterization of the aggregates made by short poly(ethylene oxide) chains labeled at one end with pyrene. Macromolecules 2005, 38, 3865–2875. [Google Scholar]
- Zhu, A.; Zhang, M.; Wu, J.; Shen, J. Covalent immobilization of chitosan/heparin complex with a photosensitive hetero-bifunctional crosslinking reagent on PLA surface. Biomaterials 2002, 23, 4657–4665. [Google Scholar] [CrossRef] [PubMed]
- Sutivisedsak, N.; Cheng, H.N.; Dowd, M.K.; Selling, G.W.; Biswas, A. Evaluation of cotton byproducts as fillers for poly(lactic acid) and low density polyethylene. Ind. Crops Prod. 2012, 36, 127–134. [Google Scholar] [CrossRef]
© 2014 by the authors; licensee MDPI, Basel, Switzerland. This article is an open access article distributed under the terms and conditions of the Creative Commons Attribution license (http://creativecommons.org/licenses/by/4.0/).
Share and Cite
Quiroz-Castillo, J.M.; Rodríguez-Félix, D.E.; Grijalva-Monteverde, H.; Lizárraga-Laborín, L.L.; Castillo-Ortega, M.M.; Del Castillo-Castro, T.; Rodríguez-Félix, F.; Herrera-Franco, P.J. Preparation and Characterization of Films Extruded of Polyethylene/Chitosan Modified with Poly(lactic acid). Materials 2015, 8, 137-148. https://doi.org/10.3390/ma8010137
Quiroz-Castillo JM, Rodríguez-Félix DE, Grijalva-Monteverde H, Lizárraga-Laborín LL, Castillo-Ortega MM, Del Castillo-Castro T, Rodríguez-Félix F, Herrera-Franco PJ. Preparation and Characterization of Films Extruded of Polyethylene/Chitosan Modified with Poly(lactic acid). Materials. 2015; 8(1):137-148. https://doi.org/10.3390/ma8010137
Chicago/Turabian StyleQuiroz-Castillo, Jesús Manuel, Dora Evelia Rodríguez-Félix, Heriberto Grijalva-Monteverde, Lauren Lucero Lizárraga-Laborín, María Mónica Castillo-Ortega, Teresa Del Castillo-Castro, Francisco Rodríguez-Félix, and Pedro Jesús Herrera-Franco. 2015. "Preparation and Characterization of Films Extruded of Polyethylene/Chitosan Modified with Poly(lactic acid)" Materials 8, no. 1: 137-148. https://doi.org/10.3390/ma8010137
APA StyleQuiroz-Castillo, J. M., Rodríguez-Félix, D. E., Grijalva-Monteverde, H., Lizárraga-Laborín, L. L., Castillo-Ortega, M. M., Del Castillo-Castro, T., Rodríguez-Félix, F., & Herrera-Franco, P. J. (2015). Preparation and Characterization of Films Extruded of Polyethylene/Chitosan Modified with Poly(lactic acid). Materials, 8(1), 137-148. https://doi.org/10.3390/ma8010137
