Microstructural Analysis and Rheological Modeling of Asphalt Mixtures Containing Recycled Asphalt Materials
Abstract
:1. Introduction
2. Literature Review
3. Objective and Research Approach
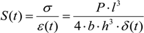
4. Materials and Testing
| Mix | Recycled Material | VMA (%) | VFA (%) | VAir Voids (%) | VMastic (%) | |||
|---|---|---|---|---|---|---|---|---|
| ID | Description | RAP (% weight) | TOSS (% weight) | MWSS (% weight) | ||||
| 1 | PG 58-28 Control | 0 | 0 | 0 | 15.9 | 76.6 | 3.7 | 12.2 |
| 2 | 15% RAP | 15 | 0 | 0 | 15.2 | 72.9 | 4.1 | 11.1 |
| 3 | 25% RAP | 25 | 0 | 0 | 15.3 | 73.0 | 4.1 | 11.2 |
| 4 | 30% RAP | 30 | 0 | 0 | 15.0 | 75.4 | 3.7 | 11.3 |
| 5 | 15% RAP 5% MWSS | 15 | 0 | 5 | 15.6 | 75.0 | 3.9 | 11.7 |
| 6 | 15% RAP 5% TOSS | 15 | 5 | 0 | 15.9 | 77.2 | 3.6 | 12.3 |
| 7 | 25% RAP 5% TOSS | 25 | 5 | 0 | 15.4 | 73.9 | 4.0 | 11.4 |
| 8 | 25% RAP 5% MWSS | 25 | 0 | 5 | 14.8 | 72.5 | 4.1 | 10.7 |
| Sieve size (mm) | RAP Passing (%) | MWSS Passing (%) | TOSS Passing (%) |
|---|---|---|---|
| 19.000 | 100.0 | 100.0 | 100.0 |
| 12.500 | 94.0 | 100.0 | 100.0 |
| 9.500 | 87.0 | 100.0 | 100.0 |
| 4.750 | 69.0 | 100.0 | 98.0 |
| 2.360 | 55.0 | 99.0 | 97.0 |
| 1.180 | 44.0 | 85.0 | 81.0 |
| 0.600 | 32.0 | 65.0 | 61.0 |
| 0.300 | 18.0 | 49.0 | 53.0 |
| 0.150 | 10.0 | 35.0 | 40.0 |
| 0.075 | 6.6 | 24.1 | 30.9 |


5. Microstructural Analysis
5.1. Two- and Three-Point Correlations: Theoretical Background
(x1,x2,x3…,xn) = ⟨I(i)(x1)I(i)(x2)I(i)(x3)I(i)(xn)⟩
(x1,x2,x3…,xn) =
(x12,x13,x14…,x1n) for n≥1
= ⟨I(i)(x)⟩ = ϕi
(x1,x2) = ⟨I(i)(x1)I(i)(x2)⟩
(x1,x2,x3) = ⟨I(i)(x1)I(i)(x2)I(i)(x3)⟩
5.2. Digital Image Processing (DIP) Analysis Overview
- First, the volume fraction of the actual air voids content and of the Voids in the Mineral Aggregate (VMA, %) were obtained for each mixture using the experimental data as:
- 2.
- 3.
- Based on the experimental data of Table 1, two threshold values, one for the air voids volume fraction, T1, and one for the mastic volume fraction, T2, were calculated from the converted gray scale images of asphalt mixture slices. The values of T1 and T2 were computed by assuming that the air voids phase takes the darkest pixel range in the gray scale images (Figure 1, Step b).
- 4.
- All the asphalt mixture slices were cut into 240 asphalt mixture BBR beams (8 mixtures × 5 slices × 6 replicates) [46] (Figure 1, Step b). The four largest sides of the BBR mixture beams were then scanned and converted into gray scale images [62]. Therefore, a total of 960 images of asphalt mixture beams were used for DIP analysis (Figure Step c). Finally, based on the threshold values, T1 and T2, previously obtained, three-phase images of asphalt mixture beams were generated; meanwhile the DIP values of VMAd (total VMA,%), Vagg_d (volume fraction of aggregate,%), Vma_d (volume fraction of asphalt mastic,%) and Vair_d (volume fraction of air voids,%) were computed.

| Mixture | VMAd, % | Vair_d, % | Vmastic_d, % | VMA* | Vair* | Vmastic* | |||
|---|---|---|---|---|---|---|---|---|---|
| Ave | CoV | Ave | CoV | Ave | CoV | % | % | % | |
| 1 | 15.55 | 3.26 | 4.25 | 10.12 | 11.30 | 7.32 | −0.35 | 0.55 | −0.88 |
| 2 | 14.56 | 3.62 | 4.36 | 4.19 | 10.20 | 4.18 | −0.64 | 0.26 | −0.88 |
| 3 | 14.94 | 5.03 | 4.71 | 6.13 | 10.22 | 6.94 | −0.36 | 0.61 | −0.94 |
| 4 | 14.77 | 4.73 | 4.31 | 4.39 | 10.46 | 6.06 | −0.23 | 0.61 | 3.65 |
| 5 | 14.25 | 6.77 | 4.31 | 5.87 | 9.94 | 10.42 | −1.35 | 0.41 | −1.76 |
| 6 | 15.08 | 3.70 | 4.11 | 4.46 | 10.97 | 5.55 | −0.82 | 0.51 | −1.31 |
| 7 | 14.42 | 3.44 | 4.64 | 4.17 | 9.79 | 5.77 | −0.98 | 0.64 | −1.59 |
| 8 | 14.08 | 2.91 | 4.67 | 6.53 | 9.40 | 6.46 | −0.72 | 0.57 | −1.33 |

5.3. Numerical Solutions of 2- and 3-Point Correlation Functions



, corresponding to the asymptotic limit of Equation (10) as r approaches infinite [40,63]. All the curves are very close although not overlapping, suggesting a slightly different spatial arrangement of the three phases across the different mixtures most likely associated to the different amount of recycled material used in the mix design.
, as described by Equation (11), showing no evidence of clustering or preferred paths in the microstructure [62,63]. Also, in this case, the curves of the function are close, but not overlapping, confirming the influence of the recycled materials on the distance required for the function to reach a stable value.5.4. Autocorrelation Length
and
for 2- and 3-point correlation functions, respectively) in a stable manner within a 5% error (95% confidence interval). The following ACL values were obtained (Table 4).
| ID | Material | 2-Point correlation function (mm) | 3-Point correlation function (mm) | ||||
|---|---|---|---|---|---|---|---|
| Aggregates | Mastic | Air voids | Aggregates | Mastic | Air voids | ||
| 1 | PG 58-28 Control | 3.97 | 0.59 | 1.02 | 2.33 | 0.40 | 0.88 |
| 2 | 15% RAP | 3.97 | 0.64 | 1.48 | 2.34 | 0.48 | 1.37 |
| 3 | 25% RAP | 4.06 | 0.64 | 1.44 | 2.42 | 0.48 | 1.53 |
| 4 | 30% RAP | 4.09 | 0.66 | 1.51 | 2.45 | 0.49 | 1.61 |
| 5 | 15% RAP 5% MWSS | 1.57 | 0.25 | 0.72 | 1.37 | 0.22 | 0.73 |
| 6 | 15% RAP 5% TOSS | 2.75 | 0.42 | 0.76 | 2.10 | 0.32 | 0.78 |
| 7 | 25% RAP 5% TOSS | 2.84 | 0.47 | 1.14 | 2.18 | 0.40 | 0.97 |
| 8 | 25% RAP 5% MWSS | 2.03 | 0.30 | 0.76 | 1.69 | 0.28 | 0.76 |
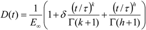
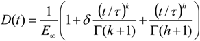
6. Rheological Analysis
6.1. Analogical and Semi Empirical Models

6.2. Back-Calculation
| ID | Material | δ | k | h | E∞_binder (MPa) | E∞_mix (MPa) | Log (τbinder) | Log (τmix) | α |
|---|---|---|---|---|---|---|---|---|---|
| 1 | PG 58-28 Control | 6.67 | 0.28 | 0.71 | 2979 | 29,895 | −0.770 | 2.390 | 3.16 |
| 2 | 15% RAP | 6.45 | 0.25 | 0.58 | 2982 | 29,921 | −0.824 | 3.646 | 4.47 |
| 3 | 25% RAP | 6.02 | 0.30 | 0.57 | 2985 | 29,926 | −0.658 | 3.492 | 4.15 |
| 4 | 30% RAP | 6.83 | 0.25 | 0.62 | 2980 | 29,899 | −0.824 | 3.726 | 4.55 |
| 5 | 15% RAP 5% MWSS | 6.84 | 0.27 | 0.64 | 2988 | 29,931 | −0.509 | 3.591 | 4.10 |
| 6 | 15% RAP 5% TOSS | 6.85 | 0.25 | 0.66 | 2986 | 29,932 | −0.456 | 4.274 | 4.73 |
| 7 | 25% RAP 5% TOSS | 6.04 | 0.28 | 0.59 | 2989 | 29,926 | −0.409 | 4.171 | 4.58 |
| 8 | 25% RAP 5% MWSS | 6.11 | 0.28 | 0.59 | 2991 | 29,962 | −0.495 | 3.965 | 4.46 |
6.3. Comparison with Experimental Data





7. Summary and Conclusions
- Limited variations were observed in the 2- and 3-point correlation functions of the asphalt mixtures; however, the auto correlation length of aggregates, mastic and air voids is significantly influenced by the recycled material used. Nevertheless, while adding reclaimed asphalt pavement increases the auto correlation length, the use of recycled asphalt shingles shorten it, most likely due to the fine particles which are included in the recycled shingles.
- Smaller auto correlation length was observed for manufactured waste scrap shingles compared to tear-off scrap shingles; this indicates that larger representative volume elements are associated with the use of aged shingles.
- Hirsch predictions provide significant overestimations of the creep stiffness of original short-term aged binder and of the seven extracted asphalt binders.
- The creep stiffness of the original binder after short term aging is matched very closely by the ENTPE transformation, while the asphalt binders stiffness curves back-calculated from recycled mixtures data do not match the creep stiffness curves of extracted binders.
- It is hypothesized that blending between new and aged and oxidized binders occurred only partially due to insufficient heat transfer and limited binder contact during mixing and/or to the distribution of the binder film thickness within asphalt mixtures. Therefore, the mixture creep properties were affected by all new binders and only a portion of the old binder. On the other hand, extraction and recovery process resulted in a complete blending which implies reduced relaxation capabilities since all aged binders contributed to the properties of the blend.
- The findings of the present research indicate that the low temperature stiffness properties of asphalt mixture are only partially influenced by the spatial distribution of its components, while the blending process of asphalt binder appears to play a fundamental role when recycled asphalt materials are added to the mixture.
Acknowledgments
Author Contributions
Conflicts of Interest
References
- National Cooperative Highway Research Program (NCHRP). Recommended Use of Reclaimed Asphalt Pavement in the Superpave Mix Design Method: Guidelines; Research Results Digest 253; National Academy Press: Washington, DC, USA, 2001. [Google Scholar]
- National Cooperative Highway Research Program (NCHRP). Recommended Use of Reclaimed Asphalt Pavement in the Superpave Mix Design Method: Technician’s Manual; Research Results Digest 252; National Academy Press: Washington, DC, USA, 2001. [Google Scholar]
- McNichol, D. Paving the Way: Asphalt in America; National Asphalt Association: Lanham, MD, USA, 2005. [Google Scholar]
- Hansen, K.; Newcomb, D.; Cervarich, M. Asphalt tops the charts for environmental stewardship-again. Asph. Pavement Mag. Natl. Asph. Pavement Assoc. 2011, 16, 20–25. [Google Scholar]
- Van den bergh, W.; van de Ven, M.F.C. Hot recycling of asphalt: Experiences in Flanders and the Netherlands. In Proceedings of the ENVIROAD 2009, Warsaw, Poland, 15–16 October 2009; 2009. [Google Scholar]
- Schimmoller, V.E.; Holtz, K.; Eighmy, T.T.; Wiles, C.; Smith, M.; Malasheskie, G.; Rohrbach, G.J.; Schaftlein, S.; Helms, G.; Campbell, R.D.; et al. Recycled Materials in European Highway Environments: Uses, Technologies, and Policies; Final Report FHWA-PL-00-025; Federal Highway Administration, U.S. Department of Transportation: Washington, DC, USA, 2000. [Google Scholar]
- Aggregates Business Europe, Route One Publishing Ltd. Available online: http://www.aggbusiness.com (accessed on 10 June 2014).
- Dannhausen, W.O. Recycling alternatives studied and tried. Better Roads 1997, 67, 25–26. [Google Scholar]
- Marks, V.J.; Petermeier, G. Let me shingle your roadway. Transp. Res. Rec. 1997, 1589, 54–57. [Google Scholar] [CrossRef]
- Shingle Recycling. Available online: http://www.shinglerecycling.org (accessed on 10 June 2014).
- Little, D.H.; Holmgreen, R.J., Jr.; Epps, J.A. Effect of recycling agents on the structural performance of recycled asphalt concrete materials. J. Assoc. Asph. Paving Technol. 1981, 50, 32–63. [Google Scholar]
- Jung, D.; Vinson, T.S. Low temperature cracking resistance of asphalt concrete mixtures. J. Assoc. Asph. Paving Technol. 1993, 62, 54–92. [Google Scholar]
- Zubeck, H.K.; Zeng, H.-Y.; Vinson, T.S.; Janoo, V.C. Field validation of thermal stress restrained specimen test: Six case histories. Transp. Res. Rec. 1996, 1545, 67–74. [Google Scholar] [CrossRef]
- Reid, M. Alternative Materials in Road Construction; Final Research Report as Part of the Transport RTD Programme of the European Union; European Commission: Brussels, Belgium, 1999. [Google Scholar]
- Forum of European National Highway Research Laboratories (FEHRL). SAMARIS, Sustainable and Advanced Materials for Road Infrastructures; Final Research Report on the 5th Framework Programme of the European Union; European Commission: Brussels, Belgium, 2003. [Google Scholar]
- McDaniel, R.S.; Soleymani, H.; Anderson, R.M.; Turner, P.; Peterson, R. Recommended Use of Reclaimed Asphalt Pavement in the Super-Pave Mix Design Method; NCHRP Web Document 30 (Project D9–12); Transportation Research Board (TRB); National Research Council: Washington, DC, USA, 2000. [Google Scholar]
- Zofka, A.; Marasteanu, M.; Li, X.; Clyne, T.; McGraw, J. Simple method to obtain asphalt binders low temperature properties from asphalt mixtures properties. J. Assoc. Asph. Paving Technol. 2005, 74, 255–282. [Google Scholar]
- Buttlar, W.G.; Dave, E.V. A micromechanics-based approach for determining presence and amount of recycled asphalt pavement material in asphalt concrete. J. Assoc. Asph. Paving Technol. 2005, 74, 829–883. [Google Scholar]
- Minnesota Department of Transportation (MnDOT). Combined 2350/2360 Plant Mixed Asphalt Pavement, Standard Specifications for Construction; MnDOT: St. Paul, MN, USA, 2008. [Google Scholar]
- DIRECT-MAT–Dismantling and recycling techniques for road materials–sharing knowledge and practices. In Bringing Together Best Practice across Europe on the Dismantling and Recycling of Road Materials–Introductory Article; Proceedings of 2th International Conference Environmentally Friendly Roads, Warsaw, Poland; 2009.
- Forum of European National Highway Research Laboratories (FEHRL). RE-ROAD–End of LIFE Strategies of Asphalt Pavements; European Commission: Brussels, Belgium, 2012. [Google Scholar]
- Arand, W.; Renken, P. Verwendung Größtmöglicher Ausbauasphaltanteile im Straßenbau; Final Report, Research Project-Federal Ministry for Transport, FA Q 148669; Institut für Straßenwesen-Braunschweig Pavement Engineering Centre, Technische Universität Braunschweig: Braunschweig, Germany, 1994. (In German) [Google Scholar]
- Wistuba, M.; Hauser, E.; Walther, A. Untersuchungen an mit Rejuvenatoren Modifizierten Asphalten und Ermittlung des Nutzungszeitraumes; F&E-Projekt (MaxRecycling) Ongoing Research Project, Federal State Authority of Lower Saxony for Road Building and Transportation; Institut für Straßenwesen-Braunschweig Pavement Engineering Centre, Technische Universität Braunschweig: Braunschweig, Germany, 2012. (In German) [Google Scholar]
- Radenberg, M.; Wistuba, M.; Hauser, E. Einsatz von Rejuvenatoren bei der Wiederherstellung von Asphalt; Forschungsprojekt (Rejuvenatoren) Nr. FE 07.0250/2011/LRB, Ongoing Research Project, Federal Ministry for Transport, Building and Urban Development, Ruhr-Universität Bochum (Lehrstuhl für Verkehrswegebau); Technische Universität Braunschweig (Institut für Straßenwesen) and Basalt-Actien-Gesellschaft (BAG): Braunschweig, Germany, 2012. [Google Scholar]
- Mangiafico, S.; di Benedetto, H.; Sauzéat, C.; Olard, F. Influence of reclaimed asphalt pavement content on complex modulus of asphalt binder blends and corresponding mixes: Experimental results and modelling. Road Mater. Pavement Des. 2013, 14 (Suppl. 1), 132–148. [Google Scholar]
- Moon, K.H.; Falchetto, A.C.; Hu, J.W. Investigation of asphalt binder and asphalt mixture low temperature creep properties using semi mechanical and analogical models. Constr. Build. Mater. 2014, 53, 568–583. [Google Scholar] [CrossRef]
- Kriz, P.; Grant, D.L.; Veloza, B.A.; Gale, M.J.; Blahey, A.G.; Brownie, J.H.; Shirts, R.D.; Maccarrone, S. Blending and diffusion of reclaimed asphalt pavement and virgin asphalt binders. Road Mater Pavement Des. 2014, in press. [Google Scholar]
- Newcomb, D.E.; Stroup-Gardiner, M.; Weikle, B.; Drescher, A. Influence of Roofing Shingles on Asphalt Concrete Mixture Properties; Final Report, No. MN/RC-93-09; Minnesota Department of Transportation (MnDOT): St. Paul, MN, USA, 1993. [Google Scholar]
- Button, J.W.; Williams, D.; Scherocman, J.A. Roofing Shingles and Toner in Asphalt Pavements; Research Report 1344, Research Study No. 0-1344; Texas Transportation Institute: Austin, TX, USA, 1996. [Google Scholar]
- Hanson, D.I.; Foo, K.Y.; Lynn, T.A. Evaluation of Roofing Shingles in HMA; Final Report; NCAT—National Center for Asphalt Technology, Auburn University: Auburn, AL, USA, 1997. [Google Scholar]
- Burak, S.; Ali, T. Use of asphalt roofing shingle waste in HMA. Constr. Build. Mater. 2005, 19, 337–346. [Google Scholar] [CrossRef]
- Mogawer, W.S.; Booshehrian, A.; Vahidi, S.; Austerman, A.J. Evaluating the effect of rejuvenators on the degree of blending and performance of high RAP, RAS, RAP/RAS. Mixtures Road Mater. Pavement Des. 2013, 14 (Suppl. 2), 193–213. [Google Scholar]
- Zhou, F.; Hua, S.; Scullion, T.; Lee, R. Balanced RAP/RAS mix design system for project-specific conditions. Road Mater. Pavement Des. 2014, in press. [Google Scholar]
- McGraw, J.; Zofka, A.; Krivit, D.; Schroer, J.; Olson, R.; Marasteanu, M. Recycled asphalt shingles in hot mix asphalt. J. Assoc. Asph. Paving Technol. 2007, 76, 235–274. [Google Scholar]
- Cascione, A.A.; Willimas, R.C.; Buttlar, W.G.; Ahmed, S.; Hill, B.; Haugen, D.S. Laboratory evaluation of field produced hot mix asphalt containing postconsumer recycled asphalt shingles and fractionated recycled asphalt pavement. J. Assoc. Asph. Paving Technol. 2011, 80, 377–418. [Google Scholar]
- Rasmussen, R. From Roof to Road-Innovative Recycling of Bitumen Felt Roofing Material; Final Report LIFE07 ENV/DK/000102; LIFE + Programme: Glostrup, Denmark, 2012. [Google Scholar]
- Tapsoba, N.; Sauzéat, C.; di Benedetto, H.; Baaj, H.; Ech, M. Behaviour of asphalt mixtures containing reclaimed asphalt pavement and asphalt shingle. Road Mater. Pavement Des. 2014, 15, 330–347. [Google Scholar] [CrossRef]
- Minnesota Department of Transportation. Tear-Off Scrap Asphalt Shingles Specification 2360; Minnesota Department of Transportation: St. Paul, MN, USA, 2010. [Google Scholar]
- Determining the Flexural Creep Stiffness of Asphalt Binder Using the Bending Beam Rheometer (BBR); AASHTO T313–12-UL; American Association of State Highway and Transportation Officials (AASHTO): Washington, DC, USA, 2012.
- Berryman, J.G. Measurement of spatial correlation functions using image processing techniques. J. Appl. Phys. 1985, 57, 2374–2384. [Google Scholar] [CrossRef]
- Hirsch, T.J. Modulus of elasticity of concrete affected by elastic moduli of cement paste matrix and aggregate. J. Am. Concrete Inst. 1962, 59, 427–452. [Google Scholar]
- Huet, C. Etude par une Méthode D’impédance du Comportement Viscoélastique des Matériaux Hydrocarbonés. Ph.D. Thesis, Faculté des Sciences de l’Université de Paris, Paris, France, 1963. [Google Scholar]
- Sharpe, W.N. Springer Handbook of Experimental Solid Mechanics; Sharpe Editions: New York, NY, USA, 2008. [Google Scholar]
- Olard, F.; di Benedetto, H.; Dony, A.; Vaniscote, J.C. Properties of bituminous mixtures at low temperatures and relations with binder characteristics. In Proceedings of the 6th RILEM Symposium on Performance Testing and Evaluation of Bituminous Materials, Zurich, Switzerland, 14‑16 April 2003; Partl, M., Ed.; RILEM Publications: Bagneux, France, 2003. [Google Scholar]
- Di Benedetto, H.; Olard, F.; Sauzéat, C.; Delaporte, B. Linear viscoelastic behaviour of bituminous materials: From binders to mixes. Road Mater. Pavement Des. 2004, 5 (Suppl. 1), 163–202. [Google Scholar]
- Marasteanu, M.; Velasquez, R.; Falchetto, A.C.; Zofka, A. Development of a Simple Test to Determine the Low Temperature Creep Compliance of Asphalt Mixture; IDEA Program Final Report NCHRP 133; Transportation Research Board of the National Academies: Washington, DC, USA, 2009. [Google Scholar]
- American Association of State Highway and Transportation Officials (AASHTO). Standard Specification for Performance-Graded Asphalt Binder; AASHTO M320-10-UL; AASHTO: Washington, DC, USA, 2010. [Google Scholar]
- McGraw, J.; Johnson, E.; Johnson, G.; Dai, S.; Linell, D.; Watson, M. Incorporation of Recycled Asphalt Shingles in Hot-Mixed Asphalt Pavement Mixtures; Final Report MN/RC 2010-08; Minnesota Department of Transportation: St. Paul, MN, USA, 2010. [Google Scholar]
- American Association of State Highway and Transportation Officials (AASHTO). Test for Effect of Heat and Air on a Moving Film of Asphalt (Rolling Thin-Film Oven Test); AASHTO T240-13UL; AASHTO: Washington, DC, USA, 2013. [Google Scholar]
- Masad, E.; Somadevan, N. Microstructural finite-element analysis of influence of localized strain distribution on asphalt mix properties. J. Eng. Mech. 2002, 128, 1105–1014. [Google Scholar] [CrossRef]
- Abbas, A.R.; Papagiannakis, A.T.; Masad, E.A. Linear and nonlinear viscoelastic analysis of the microstructure of asphalt concretes. J. Mater. Civ. Eng. 2004, 16, 133–139. [Google Scholar] [CrossRef]
- Wang, L.B.; Wang, X.; Mohammad, L.; Wang, Y. Application of mixture theory in the evaluation of mechanical properties of asphalt concrete. J. Mater. Civ. Eng. 2004, 16, 167–174. [Google Scholar] [CrossRef]
- Li, Y.; Metcalf, J.B. Two-Step approach to prediction of asphalt concrete modulus from two-phase micromechanical models. J. Mater. Civ. Eng. 2005, 17, 407–415. [Google Scholar] [CrossRef]
- Eriksen, K.; Wegan, V. Optical Methods for the Evaluation of Asphalt Concrete and Polymer-Modified Bituminous Binders; Note 244; Danish Road Institute: København, Denmark, 1993. [Google Scholar]
- Yue, Z.; Bekking, W.; Morin, I. Application of digital image processing to quantitative study of asphalt concrete microstructure. Transp. Res. Rec. 1995, 92, 53–60. [Google Scholar]
- Dai, Q.; Sadd, M.; Parameswaran, V.; Shukla, A. Prediction of damage behaviors in asphalt materials using a micromechanical finite element model and image analysis. J. Eng. Mech. ASCE 2005, 131, 668–677. [Google Scholar] [CrossRef]
- American Association of State Highway and Transportation Officials (AASHTO). Standard Method of Test for Determining the Creep Compliance and Strength of Hot Mix Asphalt (HMA) Using the Indirect Tensile Test Device; AASHTO T322–07-UL; AASHTO: Washington, DC, USA, 2007. [Google Scholar]
- Kose, S.; Guler, M.; Bahia, U.H.; Masad, E. Distribution of strains within hot-mix asphalt binders–applying imaging and finite element techniques. Transp. Res. Rec. 2007, 1728, 21–27. [Google Scholar]
- Partl, M.N.; Flisch, A.; Jönsson, M. Comparison of laboratory compaction methods using X-ray computer tomography. Road Mater. Pavement Des. 2007, 58, 139–164. [Google Scholar] [CrossRef]
- Zelelew, H.M.; Almuntashri, A.; Agaian, S.; Papagiannakis, A.T. An improved image processing technique for asphalt concrete X-ray CT images. Road Mater. Pavement Des. 2013, 14, 341–359. [Google Scholar] [CrossRef]
- Sefidmazgia, N.R.; Teymourpoura, P.; Bahia, H.U. Effect of particle mobility on aggregate structure formation in asphalt mixtures. Road Mater. Pavement Des. 2013, 14 (Suppl. 2), 16–34. [Google Scholar]
- Moon, K.H.; Cannone Falchetto, A.; Jeong, J.H. Microstructural analysis of asphalt mixtures using digital image processing techniques. Can. J. Civ. Eng. 2014, 41, 74–86. [Google Scholar]
- Torquato, S. Random Heterogeneous Materials; Springer-Verlag: New York, NY, USA, 2002. [Google Scholar]
- Torquato, S. Modelling of physical properties of composite materials. Int. J. Solids Struct. 2000, 37, 411–422. [Google Scholar] [CrossRef]
- Velasquez, R.A.; Cannone Falchetto, A.; Marasteanu, M.O. From mixtures to binders: Can the inverse problem be solved? Road Mater. Pavement Des. 2010, 11 (Suppl. 1), 225–249. [Google Scholar]
- Beran, M. Statistical continuum theories. Trans. Soc. Rheol. 1965, 9. [Google Scholar] [CrossRef]
- Corson, P. Correlation functions for predicting properties of heterogeneous materials I. Experimental measurements of spatial correlation functions in multiphase solids. J. Appl. Phys. 1974, 45, 3159–3170. [Google Scholar]
- Jiao, Y.; Stillinger, F.H.; Torquato, S. Modeling heterogeneous materials via two-point correlation functions: Basic principles. Phys. Rev. 2007, E76. [Google Scholar] [CrossRef]
- Gonzalez, R.C. Digital Image Processing; Woods, R.E., Ed.; Prentice-Hall: Upper Saddle River, NJ, USA, 2002. [Google Scholar]
- MATLAB R2012a Help Documentation; The MathWorks, Inc: Natick, MA, USA, 2012.
- Zhang, Y.; Sandararajan, S. The effect of autocorrelation length on the real area of contact and friction behavior of rough surfaces. J. Appl. Phys. 2005, 97. [Google Scholar] [CrossRef]
- Bažant, Z.P.; Pang, S.-D. Activation energy based extreme value statistics and size effect in brittle and quasibrittle fracture. J. Mech. Phys. Solids 2007, 55, 91–134. [Google Scholar]
- Zhang, Y.; Sandararajan, S. Generating random surfaces with desired autocorrelation length. Appl. Phys. Lett. 2006, 88. [Google Scholar] [CrossRef]
- Falchetto, A.C.; Marasteanu, M.O.; di Benedetto, H. Analogical based approach to forward and inverse problems for asphalt materials characterization at low temperatures. J. Assoc. Asph. Paving Technol. 2011, 80, 549–580. [Google Scholar]
- Christensen, D.; Pellinen, T.; Bonaquist, R.F. Hirsch model for estimating the modulus of asphalt concrete. J. Assoc. Asph. Paving Technol. 2003, 72, 97–121. [Google Scholar]
- Moon, K.H.; Falchetto, A.C.; Marasteanu, M.O. Rheological modelling of asphalt materials properties at low temperatures: from time domain to frequency domain. Road Mater. Pavement Des. 2013, 14, 810–830. [Google Scholar] [CrossRef]
- Bonaquist, R. Can I run more RAP? Hot Mix Asph. Technol. 2007, 12, 11–13. [Google Scholar]
© 2014 by the authors; licensee MDPI, Basel, Switzerland. This article is an open access article distributed under the terms and conditions of the Creative Commons Attribution license (http://creativecommons.org/licenses/by/3.0/).
Share and Cite
Falchetto, A.C.; Moon, K.H.; Wistuba, M.P. Microstructural Analysis and Rheological Modeling of Asphalt Mixtures Containing Recycled Asphalt Materials. Materials 2014, 7, 6254-6280. https://doi.org/10.3390/ma7096254
Falchetto AC, Moon KH, Wistuba MP. Microstructural Analysis and Rheological Modeling of Asphalt Mixtures Containing Recycled Asphalt Materials. Materials. 2014; 7(9):6254-6280. https://doi.org/10.3390/ma7096254
Chicago/Turabian StyleFalchetto, Augusto Cannone, Ki Hoon Moon, and Michael P. Wistuba. 2014. "Microstructural Analysis and Rheological Modeling of Asphalt Mixtures Containing Recycled Asphalt Materials" Materials 7, no. 9: 6254-6280. https://doi.org/10.3390/ma7096254
APA StyleFalchetto, A. C., Moon, K. H., & Wistuba, M. P. (2014). Microstructural Analysis and Rheological Modeling of Asphalt Mixtures Containing Recycled Asphalt Materials. Materials, 7(9), 6254-6280. https://doi.org/10.3390/ma7096254



