Hybrid Materials Based on the Embedding of Organically Modified Transition Metal Oxoclusters or Polyoxometalates into Polymers for Functional Applications: A Review
Abstract
: The covalent incorporation of inorganic building blocks into a polymer matrix to obtain stable and robust materials is a widely used concept in the field of organic-inorganic hybrid materials, and encompasses the use of different inorganic systems including (but not limited to) nanoparticles, mono- and polynuclear metal complexes and clusters, polyhedral oligomeric silsesquioxanes (POSS), polyoxometalates (POM), layered inorganic systems, inorganic fibers, and whiskers. In this paper, we will review the use of two particular kinds of structurally well-defined inorganic building blocks, namely transition metals oxoclusters (TMO) and polyoxometalates (POM), to obtain hybrid materials with enhanced functional (e.g., optical, dielectric, magnetic, catalytic) properties.1. Introduction
When dealing with organic-inorganic hybrid materials, two main underlying concepts are “combination” and “synergy”, since the basic idea behind the development of this rapidly expanding class of materials is to combine organic and inorganic building blocks to afford a material endowed with the properties of both components and eventually to overcome the structural limits of conventional materials (polymers, ceramics, metals, etc.) [1–14]. A further aim is to achieve a noticeable improvement of materials properties, since the resulting material typically not only combines the features of both starting systems, i.e., organic and inorganic ones, but can also present additional/enhanced properties deriving from the interaction of both.
The reason why a sharply growing attention is devoted to the development of organic-inorganic hybrid materials, also from the world of production [15,16], is actually the possibility to tailor the properties of the final materials by a careful modification of the chemical nature, structure and amounts of the starting organic and inorganic building blocks. Their mutual distribution and interactions at the organic/inorganic interfaces are further factors affecting the final properties of the materials. The compositional, structural and functional versatility of this peculiar class of materials accounts for their diverse applications ranging from optics and photonics [17–19] to electronics and flexible electronics [20–23], from sensors [24–29] to catalysis [30–34], from electroactive [35,36] or electrochemical [26,37–40] devices, to biomedical [41–44] or to bioactive [45–48] materials. The multifaceted applications of hybrid materials have been recently reviewed by Popall and Sanchez [15,16], whereas the tailoring of hybrid materials to achieve functional properties and combination thereof (i.e., multifunctionality) has been the topic of several contributions and of a dedicated textbook [2,6,8].
In general, organic-inorganic hybrid materials are traditionally defined as a wide, manifold and exciting class of systems which derives from an intimate combination, often mediated by the formation of a chemical bond, of inorganic and organic building blocks [1,2,4,5,9,11,12,14,49–52].
This broad and quite loose definition encompasses several kinds of materials whose common factor is the co-presence of both organic and inorganic components, such as (i) polymers embedding inorganic building blocks [5,53–55]; (ii) inorganic or hybrid (sol-gel) matrices incorporating organic molecules, macromolecules or dyes; (iii) Metal Organic Framework (MOF) [56–67] based on inorganic building block or metal ions connected by polytopic organic ligands; (iv) coordination polymers [68–71] and complexes; (v) nanoparticles and surfaces decorated with organic molecules or macromolecules [72] and (vi) organic-inorganic interfaces and interphases. When seeking for a more stringent classification, and trying to focus on a particular typology of hybrids, we can for instance limit ourselves to materials in which a host incorporates a guest of different nature and then single out two main classes of systems: (1) either inorganic building blocks (BB) (clusters, nanoparticles, fibers, whiskers, lamellae, etc.) are incorporated into a macromolecular polymer backbone (inorganic guest in organic host) or, vice versa; (2) organic molecules or macromolecules (dyes, biomolecules, oligomers or polymers) can be embedded into an inorganic (e.g., silica) matrix (organic guest in inorganic host).
If we further focus on the first group, i.e., macromolecular networks embedding inorganic components, we enter the manifold world of composite materials, in which the properties of polymers are improved, typically in terms of thermal and mechanical stability, flame retardancy, barrier properties, etc., by the incorporation of tailored inorganic fillers. In traditional composites and nanocomposites [11,12,73,74] this combination is addressed by a simple physical mixing or blending of two or more components (“Class I” hybrid materials), based on weak interactions such as van der Waals interactions or hydrogen bonds, although advances have been made to modify filler surface, so to improve the compatibility among the components [75].
At variance to that, in the class of hybrid materials we are more interested in, the so called “Class II” hybrid materials [1,9,14], the stable (typically covalent) anchoring of the guest to the host matrix ensures greater stability and improved performances of the final hybrid material. In fact, the lack of a strong chemical bond generally leads to poor mechanical properties, migration and/or leaching of the guest components within/from the host matrix, phase agglomeration, demixing, which are all detrimental for materials properties.
Whereas the structural (i.e., mechanical, thermal, rheological, etc.) properties of these materials are typically ruled by the nature of the organic/inorganic polymer host network and the functional properties are typically related to the nature of the interphase between the two domains or to the chemical nature of the incorporated unit, and these hybrid materials can be endowed, inter alia, with interesting optical/photonic, magnetic, electric/dielectric/piezoelectric, electrochemical, catalytic, sensing properties or with bioactivity [2,48].
Different synthetic approaches to hybrid (host/guest) materials have been systematically described by Kickelbick [1,53], Sanchez [76–82] and Schubert [5,54,55] and further authors, and involves either (i) the use of sol-gel process or (ii) the formation of organic polymers in the presence of preformed inorganic components or (iii) the simultaneous formation of both networks. In particular, Kickelbick [53] has described in his review paper the main synthetic approaches to incorporation of a wide variety of inorganic BB into polymer, among which:
- (1)
Metals or metal complexes, by coordination interactions;
- (2)
Incorporation of unmodified particles;
- (3)
In situ growth of inorganic particles within a polymer matrix;
- (4)
Surface modification of clusters and oxoclusters with polymerizable groups;
- (5)
Surface modification of clusters and oxoclusters with polymerization initiating groups.
As mentioned in the Abstract, among the different inorganic components, which can be added to a polymer to get its hybridization, the resort to structurally defined inorganic building blocks appears as a particularly convenient and viable route to better control their dispersion in the hybrid.
In fact, several advantages of well defined molecular or polynuclear complexes such as clusters, polyoxoanions and oxoclusters with respect to nanoparticles, clays or similar less defined systems can be envisaged [55]:
- (1)
Clusters are molecules: each cluster in a macroscopic sample has the same composition, size and shape;
- (2)
They can be synthesized, purified and functionalized by using standard methods of inorganic and organic chemistry;
- (3)
They can be typically dissolved in common solvents and be easily analyzed by conventional spectroscopic methods;
- (4)
They are generally crystalline, i.e., their structural determination can be afforded by X-ray diffraction, providing an unambiguous determination of their stoichiometry.
In this context, different authors (see also the relevant literature collected in the given references) reported on the use of (i) polyhedral silsesesquioxanes (POSS) [1,83–91]; (ii) polyoxometalates (POM) [92–97], oxoclusters [5,55,98–100], as inorganic components displaying well defined structures, which can be embedded into polymer networks to afford functional hybrid materials for different applications. By using this general approach, not only bulk hybrid materials could be obtained, but also porous and mesoporous structures, as well as thin/thick hybrid coatings and films[16,101–114].
POSS, having the general formulae RnSinO3n/2 or spherosilicates (OR)nSinO3n/2 (with n typically 8) are well known and their applications as fillers in composites and hybrids have already been established. However, they will not be further reviewed in this paper.
POM [94–96,115–117] and oxoclusters are fascinating inorganic systems displaying high nuclearities (number of metal atoms) and their synthesis, main features and applications will be reviewed in the next sections.
To crosslink a polymer by using an inorganic unit, a mandatory requirement to be met is the presence of functional groups, typically reactive or polymerizable ones, on the surface of the inorganic building unit. To achieve it; (i) the synthesis of the cluster in the presence of the functional moiety or (ii) the post-functionalization (by either replacement of a former ligand by the functional one or by functionalization of the ligand itself) are viable routes [55], the former being easier, since the latter requires at least one additional synthetic step and might involve a rearrangement of the structure [118].
The concept of using polyfunctional units to achieve crosslinking is already extensively established in polymer chemistry, and allows to tailor, according to the number and spatial distribution of functional moieties involved in the polymerization, the degree of crosslinking and to obtain either branched or highly crosslinked materials. The same concept can be extended and implemented to hybrid materials, the multi-functionalized inorganic building block playing in this context the role of crosslinker. The benefit over all-organic crosslinkers is represented by the inorganic nature of the building block, possibly generating further improvements in the resulting material, or endowing it with new properties.
The routes for the derivatization of both oxoclusters and POM have been already reported and described by other authors [5,93,119–124]. Typically, the functionalized inorganic building block is directly added to the monomer formulation, before starting the polymerization. The number, arrangement and density of the surface functional groups affect the final crosslinking density of the resulting polymer, which in turn can improve the mechanical and/or thermal properties of the hybrid [4,5,98,125,126].
Several parameters can be changed to tailor the features of the final material: beside the nature and number of metal ions, the polyhedral structure and connectivity of the inorganic building block, further diversity can be generated by varying the chemical nature of the surface functionalization. However, this latter is dictated on the chemical nature of the polymer host, since the chemical bond between organic and inorganic domains is formed among the surface moiety of the inorganic unit and the monomer leading to the formation of the macromolecular skeleton. In this context, several different functional groups (methacrylate, acrylate, norbornene, thiol groups, etc.), and polymerization routes (free radical polymerization, cationic photopolymerization [108,127–131], atom transfer radical polymerization (ATRP), etc.) have been used to prepare this kind of inorganics-reinforced polymers [132–137].
Upon embedding these inorganic units into a polymer, three main structural issues to be considered are: (i) the integrity of the inorganic cluster; (ii) its distribution/dispersion into the organic backbone and (iii) the connectivity with the polymer segments [55]. As far as the former issue is concerned, being the resulting hybrids typically amorphous materials, i.e., they lack a long-range order, an analytical methods allowing the investigation of short-range order is required.
In the case of the more robust POM, the assumption of stability after incorporation typically holds, and FT-IR and/or solid state NMR can usually confirm this. For less stable BB such as oxoclusters, a powerful tool to assess whether the cluster has retained or not its original structure is X-ray absorption spectroscopy, whose application to the study of organic-inorganic hybrid materials has been reviewed elsewhere [138]. In addition, as far as dispersion into the organic backbone is concerned, being the electron density contrast between the organic and inorganic components large, a very suitable method to study cluster-distribution in the polymer is Small Angle X-ray Scattering (SAXS), whose applications to hybrid materials were discussed elsewhere [139–141]. Finally, the investigation of the nature of the organic/inorganic interphase is very challenging from an analytical point of view, and typically it is addressed by a combination of different characterization methods, such as FT-IR, Raman, solid-state NMR [142–146], etc.
2. Oxocluster-Based Hybrid Materials
Oxoclusters [4,5,54,55,98,147–150] of early transition metals, otherwise referred by some author as “metal oxide clusters” [4,54,149] are a class of polynuclear compounds, typically based on 3–5 groups metal atoms in their highest oxidation state, such as TiIV, ZrIV, HfIV, or NbV linked by oxygen bridges and coordinated by organic ligands. In some cases, as extensively reported in the following, later transition metals (e.g., Ag) or alkaline earth (e.g., Ba, Mg) metals can also be present in the structure [151]. Oxoclusters display different nuclearities, i.e., number of metal atoms (n = 2–12), coordination number of the metal atoms and connectivity fashions (corner, edge or face sharing) of the metal-oxygen coordination polyhedra.
Unlike polyoxometalates (vide infra), these compounds are globally neutral and discrete species having the general formula MyOx(OR)wR′z, with (R = H or organic group, R′ = organic groups). In most case the bidentate ligand is a carboxylate, and the formula can be written as MyOx(OR)w(OOCR′)z (with R = H or organic group, R′ = organic groups).
Their synthesis typically relies on a controlled hydrolysis of metal alkoxide in the presence of bidentate ligands (typically carboxylic acids) [152]. A schematic description of the different reaction steps, in the case of carboxylate-based oxoclusters is sketched below [152]:
and the reaction path has been elucidated by Kickelbick and coworkers by a combined use of different analytical methods, even in time-resolved fashion.
The key step of the overall reaction is the second one: upon esterification of the partially substituted metal alkoxide in the presence of an excess of carboxylic acid, a stoichiometric amount of water is released in a controlled way in the reaction environment. This controlled amount of water triggers hydrolysis/condensation reactions to form the μ-oxo M-O-M moieties, which are the common structural feature of all these oxoclusters.
For the sake of completeness, it should be highlighted here that, while the above reported mechanism holds for oxoclusters with carboxylate ligands, a modified mechanism occurs for oxoclusters bearing other bidentate ligands (e.g., β-diketonate) or with only alkoxy ligands (for instance Ti16O16(OR)32 or Ti12O16(OR)16). Furthermore, although the proposed scheme takes only into account the explicit generation of water through the esterification step (2), other two reactions could in principle occur (which however have not yet been, to the best of our knowledge, analytically detected in this context), leading respectively (i) to the possible direct formation of M–OH moieties through the reaction of the alkoxide with the carboxylic acid:
and (ii) to the direct formation of oxo-bridges through the reaction
Starting from the pioneering works of Schubert and Sanchez, [54,74,147,148,153–155] these oxoclusters have been extensively used since years as building blocks for inorganic-organic hybrid materials [4,5,54,55,147]. More recently, they have been used as molecular precursors for controlled nucleation of nanostructured oxides [156] or, by exploiting their twelve-fold functionality, as secondary building units (SBU) for Metal Organic Frameworks (MOFs) [157].
Among the first reported examples of these oxoclusters, one of the earliest structurally characterized is Ti6O4(OR)8(OOCMe)8 [100,121], obtained by reaction of Ti(OR)4 (R = alkyl groups) with acetic acid. In the last years, the synthesis of different early transition metal and main/transition group metal polynuclear complexes (with O–M–O moieties) were extensively explored, resulting in oxoclusters based on Zr [158–161], Hf [162], Ti and Ti-Zr [139,158,163], Ag-Zr [164], Y, Ti-Hf [162], Zr-Ti-Hf [162], Ba [151], Ba-Ti [151], Ti-Pb and Ti-Sr [165], Ti-Y [166], Nb [167], Sn [120,168–176]. Since the 1990s, Hubert-Pfalzgraf et al. [167,177–180] have paved the way to this development by exploring original routes for the synthesis of a plethora of mono- and polymetallic (e.g., Pb-Zr, Pb-Ti, Cu-Y, lanthanides, La-Zn, Ba-Ce, and others) mixed alkoxides and oxoclusters as potential single-source precursors for the corresponding mixed functional oxides (e.g., perovskites). Further examples of metal oxide clusters based on other transition elements (Fe, Cr) were obtained by reacting the corresponding metal salts with unsaturated carboxylic acids or carboxylate salts, such as [Fe3O(μ-OOCR)6L3]X (where OOCR = acrylate or 2-butenate and X = counter ion), featuring a triangular M3O core [181].
The chemical properties, the tailored synthesis and modification, the structural issues of these oxoclusters, as well as their use as building blocks for the preparation of hybrid materials were thoroughly described in some reviews and research papers, already cited in the Introduction. Selected examples of these oxoclusters are depicted in Figure 1.
Bidentate ligands bearing polymerizable moieties may absolve an important function: by symmetrically functionalizing the oxocluster with functional groups (more typically acrylates or methacrylates), they trigger and enable the crosslinking of the resulting polymer network which is formed upon reaction with suitable monomers in a further synthetic step.
Coming to the topic of this paper, and concerning the above mentioned nature of the functionalization, in the literature are reported, inter alia, oxoclusters which have been functionalized with acrylates or methacrylates [158–164,182,185–187] for free radical polymerization, norbornene-2-carboxylate derivatives for ring-opening metathesis polymerization [125], 4-pentynoate derivatives for click reactions [188], 2-bromo-isobutyrate derivatives as initiator for atom-transfer radical polymerization [189], and thiol carboxylate-substituted metal oxocluster for thiol-ene polymerization [142,190].
In general, the incorporation of an oxocluster in a polymer matrix through the formation of stable covalent bonds induces strong changes in the materials properties, as extensively outlined in previous works [4,5,98,126,148,149]. The changes of some materials properties include:
Linear polymers such polymethylmethacrylate (PMMA) or polystyrene (PS) are turned into crosslinked polymers: the polymers are no longer soluble in organic solvents, but swell instead, as expected for crosslinked polymers; the crosslinking typically increases with the oxocluster amount;
Improvement of the thermal stability with respect to the neat polymers;
Improvement of the mechanical properties (strength, hardness, brittleness, scratch resistance, etc.), as a further consequence of the crosslinking;
Enhancement of the dielectric properties (e.g., lowering of ε and tan δ);
Improved chemical and photochemical stability.
Taking into account such considerations, these oxoclusters have been extensively used for the synthesis of hybrid materials, both for structural and functional issues, but in this contribution we will focus only on the latter. For the former, the interested reader can refer to references [4,5,54,55,98,111,126,140,147,191–193].
It is worth to highlight that the functional properties of the final oxocluster-reinforced hybrid material can be either related to some inherent property of the oxocluster itself, which is transferred to the material, or to some functional effect which is determined by the presence of the oxocluster into the polymer backbone, for instance due to chain dynamics modulation or to the formation of voids in the chain packing. In the following, selected examples on the possibility to endow the final hybrid material with functional properties are discussed.
A first case in which a functional property of the oxocluster is tout court transferred to the resulting hybrid material concerns magnetic oxoclusters-based hybrids described by Schubert et al. [194]. In this work, the authors embedded the Mn oxocluster Mn12O12(OAcr)16 in polyacrylate matrix and then investigated, inter alia, the magnetic properties of the resulting hybrid materials which were proven to be the same as the isolated oxocluster. A very similar study was also carried out by Willemin et al., leading to analog results [195]. These two studies showed that the polymerization of the magnetic clusters in the presence of organic monomers allows the preparation of magnetic materials that can be processed like typical organic polymers but retain the properties of the embedded molecular magnets. The Mn12 clusters of general composition Mn12O12(OOCR)16 are in fact well know and prototypal examples of magnetic molecular clusters. The superparamagnetic properties reported by Sessoli et al. [196–199] in these Mn oxoclusters, due to the slow relaxation of the magnetization, have disclosed the possibility to use them for storing information at the molecular level.
Always concerning magnetic oxoclusters, a proposed approach relies on the use of miniemulsion to prepare magnetic oxoclusters based hybrid materials. In particular, either a manganese-oxo or manganese-iron-oxo cluster Mn12O12(VBA)16(H2O)4 and Mn8Fe4O12(VBA)16(H2O)4 (where VBA = 4-vinylbenzoate), were prepared and characterized. Polymerization of the functionalized metal oxoclusters with styrene, under miniemulsion conditions [200,201], produced monodispersed polymer nanoparticles endowed with magnetic properties for potential magnetic imaging applications [202,203].
In the field of optical applications, few examples are reported, [79,165,204]. As far as the refractive index is concerned, an increase of the refractive index of the polymer matrix upon embedding of heavier metal (Zr, Hf) oxoclusters would be expected. Actually, since the amount of oxocluster embedded in the polymer network is generally low (1 at%–3 at%), no relevant change is expected in the variation of optical properties, such as, for example, transparency. In this regard, an example of cluster-reinforced hybrid material concerned with tuning of optical properties is based on the addition of metal oxoclusters, into an inorganic-organic hybrid host material (Organically Modified Ceramics, OrMoCer) [174]. In particular, different benzoic acid functionalized titanium oxo-alkoxo-clusters Ti6O4(C6H5COO)8(OR)8 (R = Et, nPr-, nBu-) were prepared and their dispersion in Ormocer matrix led to a homogeneous, photo-patternable hybrid system with tailored properties. The refractive index of the host Ormocer matrix could be increased from 1.552 to 1.575 at 635 nm by the addition of these titanium clusters (ca. 2.2 mol%). The novel hybrid materials displayed similar flexibility in processing than the host matrices, offering a broad variety of applications in microsystems technology.
Instead, among optical properties induced by the nature of the oxocluster, it should be mentioned the photochromicity [205–208] observed by Sanchez and coworkers in hybrid materials produced by the embedding of the Ti16 oxocluster into poly(hydroxyethylmethacrylate). The resulting hybrid materials become dark blue upon UV-Visible irradiation, and this effect was ascribed to the absorption created by the intervalence band associated with the photogeneration of localized titanium(III) polarons. The presence of mixed-valence Ti(III)–Ti(IV) entities was shown through UV-Visible and EPR measurements (ESI). This photochromic behavior is reversible in the presence of oxygen which yields the back oxidation of the Ti(III) centers into Ti(IV).
As a further example, transparent di-ureasil hybrids containing a methacrylic acid-modified zirconium tetrapropoxide (ZrMcOH) clusters and incorporating EuCl3 and [Eu(tta)3(H2O)2] (tta = thenoyltrifluoroacetonate) complex were proven to be multi-wavelength emitters for applications in optics [165,204].
As far as the electric properties are concerned, a wide applications of oxocluster-reinforced polymers has been assessed in the field of dielectric films, for instance for the development of Field Effect Transistors (FET) and dielectric materials for electronic devices [158,183,209–212]. In general, in the materials prepared by embedding of the oxocluster into PMMA, a lowering of the dielectric constant and of tanδ could be evidenced. In this case, these functional properties of the material, characterized by broad band dielectric spectroscopy, could be traced back to modulation of the chain dynamics, induced by the presence of the inorganic symmetrically functionalized crosslinker, and to the creation of voids in the polymer matrix, induced by the presence of the oxocluster itself, which does not migrate in the materials. Accordingly, the electrical properties of the hybrid materials were proven to be strongly affected by the molar ratio between cluster and monomer.
A further example of improvement of functional properties, and ascribable to the presence of the oxocluster, is the fairly good barrier properties against corrosion evidenced for a polyacrylate matrix embedding the Zr4 oxocluster [213]. In this regard, electrochemical impedance spectroscopy (EIS) was performed in order to evaluate if the coatings actually protect the metallic substrate from corrosion. Although the water uptake of hybrids is greater than that of pure PMMA and some improvements in the process are required, the hybrid coatings appear promising as barrier against corrosion and they generally behave better than pure PMMA, when deposited on different aluminium alloy substrates.
Oxoclusters-based hybrids, typically based either on polymethacrylate or on hybrid silica as host matrix, have been successfully used also for the development of different protective coatings for wood and cellulose [111,114,214].
The use of oxoclusters-based hybrids has been very recently extended to materials for catalytic applications. Actually, the idea of protecting a catalytically active system by embedding it in/anchoring it on a matrix is the underlying and widely used concept in heterogeneous catalysis. The use of hybrid materials to “heterogenize” catalysts, in particular by the embedding of the catalyst into a polymer matrix, is a fertile field of research. Recently, we have evidenced the possibility to use zirconium-based oxoclusters to activate hydrogen peroxide, for the oxidation of organic substrates [215]. The oxidation of methyl p-tolylsulfide to the corresponding sulfoxide and sulfone was chosen as model reaction, showing an interesting selectivity towards the oxidation of the sulfoxide. Now, we have embedded Zr and Hf oxoclusters into PMMA matrix and proved their effectiveness towards the oxydesulfurization of a model fuel [216]. To this aim, we have exploited such reactivity to perform the oxidation of dibenzothiophene (DBT) to the corresponding sulfoxide (DBTO) and sulfone (DBTO2). Up to 90% yield for DBT conversion was obtained in 24 h, with an 85% selectivity for DBTO2. In most cases, thanks to the enhanced affinity of the polymeric matrix towards polar substrates and solvents, the heterogeneous set-up have shown to be more efficient than the corresponding homogeneous systems, and has allowed the recovery and recycling of the catalytic species. FT-IR, SS-NMR and XAS showed good stability of the hybrids under catalytic conditions.
3. Polyoxometalate-Based Hybrid Materials
Polyoxometalates (POM) discovery dates back to the last third of the XIX century, when early transition elements of groups V and VI, such as Nb, V, Ta, Mo, and W in their higher oxidation states (configuration d0 or d1) were found to form polynuclear oxoanions in aqueous solution at acidic pH. Under such conditions, they can form molecular compounds of variable dimensions, ranging from few Ångström to tens of nanometers [95–97,116,117]. A general classification is based on their composition, essentially represented by two types of formula: [MmOy]p− and [XxMmOy]q− where M is the main transition metal constituent of the polyoxometalate, O is the oxygen atom and X can be a non-metal atom as P, Si, As, Sb, another element of the p block, or a different transition metal. The first formula refers to isopolyanions; the second one refers to heteropolyanions. When the latter incorporate different transition metals, they are called Transition Metals Substituted Polyoxometalates (TMSP). In most cases, the structure of the POMs derives from the aggregation of octahedral units MO6, although MO4 tetrahedra can also be present. Oxygen atoms exhibiting simple bonds with the metal allow the condensation between two octahedral units, with the formation of μ-oxo bridges between two metals ions. The octahedra can thus be condensed in three different ways: (i) corner sharing; (ii) edge sharing; (iii) face sharing. One oxygen atom—or maximum two-show a double bond character with the central M atom and they are not shared with other M atoms. These terminal oxygen atoms are essential for the aggregation to take place into discrete structures and not in an extended material (as for most common main-group element oxides: silicates, phosphates, germanates, etc.) [97].
Among the most important classes of polyoxometalates there are the Keggin heteropolyanions. Their general formula is: [XM12O40]n−, with M = Mo (VI) or W (VI). In 1934 Keggin obtained the structure of the hexahydrated dodecatungstophosphoric acid by powder X-ray investigation [217]. This structure is called α-Keggin and consists of a central PO4 tetrahedron surrounded by 12 octahedra WO6 belonging to the mono-oxo terminal type. These octahedra arrange themselves in four triplets M3O13 where the three octahedral units aggregate by edge-sharing. Finally, the four different triplets condense each other by corner-sharing (Figure 2). Structural isomers of Keggin polyanion are formally obtained from the α structure by 60° rotation of one (β isomer), two (γ isomer), three (δ isomer) or four (ε isomer) triplets M3O13. Such isomers are characterized by lower symmetry and by a decreased thermodynamic stability with respect to the α structure.
Beside Keggin polyanions, a great variety of structures (Wells-Dawson [X2M18O62]n−, Anderson-Evans [XMo6O24]n−, Lindqvist [M6O19]n−, Strandberg [P2Mo5O23]6−, Preyssler [P5W30O110]15−, etc.) can be obtained in particular synthetic conditions by tuning some specific parameters like concentration, stoichiometric ratio between the reagents, temperature, and pH [218].
Since POMs are hydrolytically instable in alkaline media, it is possible to exploit this behavior to promote in a controlled way the selective formation of structural defects. The resulting vacant or “lacunary” POM complexes [117,219] derive from the saturated precursors through the formal loss of one or more MO6 octahedral units and can be used as ligands for transition metals and organometallic groups or as building blocks for the preparation of oligomeric POM aggregates.
What is noteworthy is the possibility for isostructural polyoxometalates to show different properties depending on the heteroatoms [220,221]. In addition, the choice of a suitable counterion for such complexes is fundamental to allow their solubilization in a wide range of solvents: from apolar ones (toluene, dichloromethane), by using lipophilic cations such as dimethyloctadecy ammonium (DODA), to water, with alkaline counterions or protons.
Different scientific fields, such as medicine, materials science, and catalysis, are particularly interested in the properties of polyoxometalates for their acidity, redox activity, thermal and oxidative stability, high charge density, electron acceptor/storing capability and magnetism [222–226]. In particular, polyoxometalates are more stable towards the oxidative degradation than generic organic molecules, since they are made of metals in their higher oxidation state [227,228]. Therefore they can be successfully exploited for the activation of sustainable oxidants like dioxygen and hydrogen peroxide to perform the oxidation of organic substrate [229–231], as well as for advanced application as water splitting [232,233].
Due to their manifold applications, POMs immobilization may reduce cost and environmental impact of POM-based catalysts, while their confinement into different matrixes may be useful to design opto-electronic devices or carrier systems for the delivery of biologically active POMs. The introduction of POMs into processable polymeric matrices may be of interest for the development of heterogeneous catalytic systems to be employed in continuous processes based on fixed-bed reactors and membrane reactors. In addition, the polymeric host can play a role in enhancing reaction selectivity, through differential sorption/permeability of reagents [234,235].
The physical blending method is the simplest way to fabricate POM/polymer hybrid materials. Some water-soluble polymers, such as poly(vinylalcohol) (PVA), poly(ethylene glycol) (PEG), agarose, polyacrylamide and poly(vinyl pyrrolidone) (PVP), were used as compatible matrices for hydrosoluble POMs. Dipping or spin-coating methods were used to obtain films on different solid supports [92], while the electro-spinning technique was used to obtain fibers [236]. In order to match the hydrophobicity of water-insoluble polymers, POMs can be associated with suitable counterions featuring high affinity towards the organic matrix. This was successfully achieved with the decatungstate [W10O32]4−, which was isolated as tetrabutylammonium salt and incorporated within polymeric membranes (polysulfone PS, polyether-etherketon PEEK-WC, polyvinylidene difluoride PVDF, polydimethylsiloxane PDMS) [237], or as fluorophilic salt (with the cation [CF3(CF2)7(CH2)3]3N+CH3), for the incorporation within the perfluorinated polymer Hyflon® [238]. The resulting materials were used as photocatalysts to oxidize either alcohols or hydrocarbons, respectively, and a matrix effect was observed on reaction selectivity. Within this scenario, the preparation of surfactants encapsulated POMs (SEP) is a well-known strategy to obtain POMs with high affinity towards low polarity media. For example, the compatibility between the photoluminescent complex (DODA)9(EuW10O36) and the polystyrene matrix allowed the fabrication of hybrid polymeric films with highly ordered honeycomb-like structures. The films were relatively stable and enabled to study photoluminescence and redox properties of the embedded POM [239].
Owing to the lack of strong chemical interactions between the POMs and the polymer, the low stability of these hybrid materials limits their practical applications. An interesting perspective to increase the composite stability consists in using polymerizable surfactants, such as dodecyl[11-(methacryloyloxy)-undecyl]dimethylammonium bromide (DMDA) and cetyl(2-methacryloyloxyethyl)dimethylammonium bromide (CMDA), in order to establish strong interaction between the counter cation and the polymeric matrix obtained in situ [240]. A miniemulsion polymerization was also developed to incorporate POMs into PS latex, providing POM protection towards aqueous environment [241].
Another convenient strategy to effectively disperse polyanions into hybrid materials consists in the exchange of their counterions with positively charged polyelectrolytes (polyallylammonium, poly(diallyldimethylammonium), polyviologens, cationic dendrimers, and dendrons) [242–245], or polymers such as polyethyleneimine, poly(4-vinylpyridine), polyaniline, chitosan in their quaternized/protonated form. In this way, a broad number of hybrid materials and thin films were prepared, including hierarchical layer-by-layer (LbL) structures, with applications as opto-electronic devices, catalysts, sensors and antibacterial surfaces [37,92,246–249].
An even more stable interaction between a POM and a polymer was observed in a ultrathin multilayer film, consisting of Keggin anions [PMo12O40]3− and of a photosensitive diazo resin. After the initial absorption of the anionic clusters onto the positively charged polymer interface, UV irradiation was employed to foster the photodecomposition of the diazo resin, with loss of N2, and the photoreduction of the POM. The enhanced stability against solvent etching was explained by the formation of strong Mo-O-C interactions [250].
The previously described assembly methodology exploits multiple interactions between the polycharged domains, but is only limited to polyelectrolytes. The most appealing alternative is thus offered by the formation of covalent bonds between POMs and the polymeric backbone.
As in the case of transition metal oxoclusters described in the former section, the preparation of covalently-linked hybrids generally requires surface modification of the POMs structure. This can be easily achieved upon covalent decoration of vacant polyanions. The nucleophilic oxygen atoms bordering the surface defect can indeed react with electrophilic reagents to yield organosilyl, organostannyl, organophosphonyl, and organogermyl hybrid derivatives [124,251,252]. The covalent functionalization of vacant polyoxoanions generally imparts a stabilization to the POM unit while tuning its electronic properties. The derivatization of polyoxometalates was exploited to obtain: (i) self-assembled supramolecular aggregates, including photoresponsive nanostructured systems; (ii) amphiphilic POM derivatives with solvophobic behavior in water/air and water/oil interface, polar or nonpolar solvents; (iii) conjugates with chiral and biological molecules, for application in enantioselective catalysis or recognition of biological targets; (iv) POM-supported organometallic catalysts, dendrimers, photosensitizers and sensing units. In addition, suitable organic pendants can foster POM immobilization onto solid supports [93].
The main disadvantages of covalent grafting are related to the modified properties of the functionalized POMs with respect to their precursors, and to the need of applying one or more derivatization steps, usually requiring non-conventional conditions/purification techniques. For these reasons, a low number of suitable POMs are available. Nevertheless, as for the oxoclusters, the incorporation of organic moieties provides various options for an easier processability and following integration into functional architectures and devices. A number of advantages are thus available when applying this approach, including: control of the interaction between the different domains, better dispersion and improved stability of the assembly.
Among hybrid POMs, several polymerizable organosilyl-modified polyoxotungstates (e.g., [α-SiW11O39(RSi)2O]4−, [γ-SiW10O36(RSi)2O]4−, [γ-SiW10O36(RSiO)4]4−, [α-SiW9O34(RSi)4O3]4−, with R = vinyl(–CH=CH2), 3-(methacryloxy)propyl (–(CH2)3OC(O)C(CH3)=CH2), octenyl (–(CH2)6CH=CH2), were prepared (Figure 3) [253–255].
In a first example, Judeinstein used trichloro- or triethoxy- organosilanes to introduce the following R groups: vinyl (–CH=CH2), allyl (–CH2CH=CH2), 3-(methacryloxy)propyl (–(CH2)3OC(O)C(CH3)=CH2), styryl (–C6H4CH=CH2) groups on the undecatungstate α-Keggin polyanion [α-SiW11O39]8− (Figure 3a). Hybrid and branched polymers based on such POM units were then synthesized via radical polymerization, in the absence of any additional monomer, to obtain a POM-based polymer. Transparent thin films of these polymers turn reversibly to blue upon UV irradiation or electrochemical reduction, due to formation of W(V) centers, being, thus, promising for the development of photochromic and electrochromic devices [256].
The vinyl-functionalized [α-SiW11O39(CH2=CHSi)2O]4− (Figure 3a) was converted into the free acid form and copolymerized with butylacrylate and 1,6-hexanediol diacrylate, under UV irradiation, in the presence of a photoinitiator. The resulting material exhibits proton conductivity of 0.17 S·cm−1 at 80 °C, i.e., close to the standard operating conditions of proton-exchange membrane (PEM) fuel cells [257].
Hybrid networks based on the decatungstosilicate Keggin compound [γ-SiW10O36{CH2=C(CH3)C(O)O(CH2)3Si}2O]4− (Figure 3b) were obtained upon copolymerization with ethyl methacrylate. To foster further crosslinking, the polymerizable cation CH2=C(CH3)C(O)O(CH2)2N+(CH3)3 was associated to the same POM. The inorganic component was shown to give a substantial contribution to the swelling properties of the resulting polymeric gel into polar organic solvents, depending on monomers ratio and cross-linking density [258]. In a parallel investigation, the possibility to obtain hydrogels based on the amphiphilic sodium salt of [γ-SiW10O36{CH2=C(CH3)C(O)O(CH2)3SiO}4]4− (Figure 3c), copolymerized with acrylamide, was also demonstrated. In this case, the hybrid material is able to swell in the presence of water, depending on POM concentration and aggregation state, up to 150 g/g [259]. Magnetic nanosized γ-Fe2O3 particles were then included in the absorbent material. The nanoparticles retain their rotational mobility within the network, and their controlled release upon swelling of the hydrogel was described [260].
The polyanions [SiWwOz{CH2=CH(CH2)6Six}Oy ]4− with x = 2, w = 11, y = 1, z = 39; x = 2, w = 10, y = 1, z = 36 and x = 4, w = 9, y = 3, z = 34 (Figure 3a,b,d) were copolymerized with methyl methacrylate and ethylene glycol dimethacrylate, in the presence of porogenic alcohols, to form porous materials. The hybrid copolymers were then used in acetonitrile or in a biphasic (n-octane/acetonitrile) media, in the presence of aqueous hydrogen peroxide, to catalyze the oxidation of organic sulphides, including dibenzothiopene (DBT). In particular, the hybrid polymer based on the decatungstosilicate polyanion removed sulfur-based compounds from n-octane in 90 min, at 60 °C, and reduced the sulfur content to about 10–8 ppm, highlighting the promising potential of the supported POMs in the oxydesulfurization of hydrocarbons [255].
The Dawson polyanion ([α2-P2W17O61{CH2=C(CH3)C(O)O(CH2)3Si}2O]6−, Figure 3e) in its free-acid form was polymerized with methyl methacrylate. The acidity of the hybrid copolymer was evaluated in CH3CN solution (homogeneous conditions) and in CH3OH (heterogeneous conditions) by using Hammett indicators, showing the retention of the original POM acidity and suggesting its use as a promising solid acid catalyst [261].
Other hybrid polyoxotungstates with reactive functional groups, such as thiol, sulfocyanide, amino, are suitable for their covalent immobilization onto supports [262–264]. For example, the Dawson POM [α2-P2W17O61{HS(CH2)3Si}2O]6−, carrying thiol groups as pendant arms, was reacted via nucleophilic substitution with nanolatex particles obtained by the copolymerization of styrene, vinyl benzyl chloride and hydroxypropyl methacrylate (cosurfactant) in an oil-in-water microemulsion. The stable colloidal particles display a closely packed inorganic shell with photochromic behavior [265].
Another organically modified Dawson POM, [α2-P2W17O61(N3CH2C6H4Si)2O]6−, was immobilized on the functionalized channels of a macroporous resin. To this aim, a polystyrene-divinylbenzene matrix containing benzylamine residues were modified by condensation with pentynoic acid, then the bis-azido POM was grafted via click chemistry. The efficiency and the stability of the solid catalyst were demonstrated studying the activation of H2O2, for the oxidation of tetrahydrothiophene (THT). The catalytic system allowed the quantitative conversion of the substrate to its corresponding sulfoxide in 12 h, at room temperature, in acetonitrile, where it did not show any POM leaching and was thus re-used up to five times [266].
A different approach can be followed when using arylimido derivatives of the Lindqvist hexamolybdate [Mo6O(19−x)(NAr)x]2− (with Ar = arly groups). In these hybrids, the organic p electrons may extend their conjugation to the inorganic framework, thus resulting in strong d–p interactions. Organoimido derivatives of POMs with a remote organic functional group were thus successfully used as building blocks to prepare POM–organic hybrids with different architectures [267].
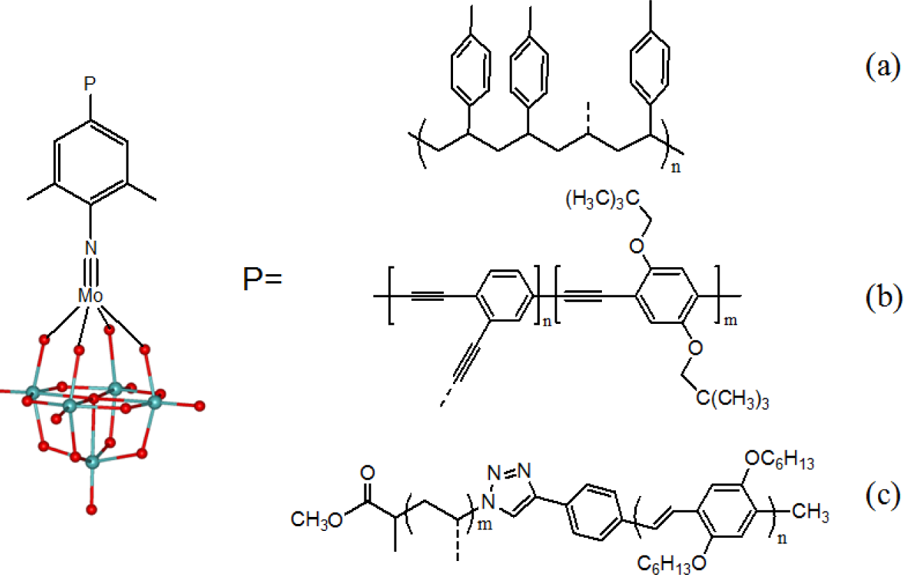
The mono p-styrenyl substituent in the derivative [Mo6O18{NC6H2(CH3)2CH=CH2}]2− allowed the polyoxometalate complex to be introduced as a pendant group in polystyrene chains, (Figure 4a) [268]. Thanks to the selective reaction of octamolybdate ion [α-Mo8O26]4− with iodo aryl amine, a cis bifunctionalized hexamolybdate [Mo6O17(NArI)2]2− was obtained and polymerized via Pd catalyzed C–C coupling with a diethynylbenzene derivative (2,5-di(2,2-dimethylpropoxy-1,4-diethynylbenzene) [269]. The main chain-POM-containing linear polymer was then employed in photovoltaic devices, whereby a thin layer of polymer was sandwiched between a transparent anode (indium-tin oxide, ITO) and a metal cathode. In this case, the photoinduced charge separation led to a power conversion efficiency of 0.15%. Although this value compares well with other conjugated polymers, the low efficiency was explained in terms of the poor charge transporting properties of the polymer [270]. In a following paper, the authors described the preparation of a π-conjugated polymer, based on poly(phenylene ethynylene), bearing imido-functionalized hexamolybdates as side-chain pendants (Figure 4b). They observed a polymeric backbone fluorescence quenching and suggested a through-bond photoinduced electron transfer as the dominant mechanism [271]. Even better achievements were envisaged for a diblock copolymer containing an oligo(phenylene vinylene) (OPV) rigid block and a polystyryl-type (PS) flexible block with hexamolybdate pendants. In this case, a click chemistry step was used to join together the OPV block and the PS block, while the hexamolybdate was added in a post functionalization step, with formation of imido bonds (Figure 4c). The POM cluster in a solid film was found to quench 74% of the OPV fluorescence [272].
As a final approach it is worth to mention the possibility of preparing bi-functional materials through the condensation of bis derivatized POMs with different functional molecules, such as porphyrins. Hybrid polyoxometalate-porphyrin copolymeric films were obtained by the electro-oxidation of zinc octaethylporphyrins in the presence of the Anderson hexamolybdate [MnMo6O18{(OCH2)3CNHCO(4-C5H4N)}2]3−. These films were applied for the photocatalytic reduction of AgI2SO4 in the presence of propan-2-ol [273].
4. Conclusions
An overview on the research results on the preparation and properties of oxoclusters/POMs polymeric hybrid materials has been herein described and discussed. Different methodologies for the preparation of such composite materials have been presented, focusing our attention on the most stable and promising covalent strategies.
As a first remark, incorporating oxoclusters/POMs into suitable polymer matrices may increase material processability and long-term stability, as well as thermomechanical properties. Furthermore, and more importantly, the possibility to chemically tailor the composition, structure and functionalities of the inorganic building block and of the polymer matrix pave the way to the obtainment of multifunctional materials. To address this stimulating challenging, the role of synthetic chemistry, encompasses not only the preparation of new inorganic BB with functional properties, such as redox, luminescence or magnetic properties, but also their careful decoration with functionalities to match them with suitable organic counterparts providing better compatibility, stability and performances.
Indeed, we believe that such materials deserve much more attentions, and different combinations of monomers and inorganic building blocks will offer new possibility to strength most of the preliminary but promising studies on electro/photo active or catalytic materials.
A further exciting perspective could be the combination, also aimed at multifunctionality, of POM and oxoclusters to enhance the functional properties of the inorganic counterpart of the hybrid materials.
Acknowledgments
The Italian Foreign Affairs Ministry (Ministero degli Affari Esteri, MAE, Rome, Italy) and the National Research Council (CNR, Rome, Italy) are gratefully acknowledged for the financial support of this work in the framework of the “Progetto Grande Rilevanza Italia-Slovenia 2013”. Funding from Bionexgen (grant agreement n. CP-FP-246039-2) EU-FP7/project is gratefully acknowledged. All our coworkers involved in the synthesis of POM- and oxoclusters-based hybrid materials deserve a particular acknowledgment.
Author Contributions
Silvia Gross authored most part of the Introduction and the whole part on oxoclusters. Mauro Carraro wrote the whole part on polyoxometalates. The authors contributed equally to the Conclusions.
Conflicts of Interest
The authors declare no conflict of interest.
References
- Kickelbick, G. Hybrid Materials: Synthesis, Characterization, and Applications; Wiley-VCH Verlag GmbH & Co. KGaA: Weinheim, Germany, 2007. [Google Scholar]
- Functional Hybrid Materials; Gomez-Romero, P., Sanchez, C., Eds.; Wiley-VCH Verlag GmbH & Co. KGaA: Weinheim, Germany, 2004.
- Proceedings of the Materials Research Society Symposium; Sanchez, C., Schubert, U., Laine, R., Chujo, Y., Eds.; Materials Research Society: Pittsburgh, PA, USA, 2005; Volume 847.
- Schubert, U. Inorganic–organic hybrid polymers based on surface-modified metal oxide clusters. Macromol. Symp 2008, 267, 1–8. [Google Scholar]
- Schubert, U. Polymers reinforced by covalently bonded inorganic clusters. Chem. Mater 2001, 13, 3487–3494. [Google Scholar]
- Gomez-Romero, P. Hybrid organic–inorganic materials—In search of synergic activity. Adv. Mater 2001, 13, 163–174. [Google Scholar]
- Gomez-Romero, P.; Ayyad, O.; Suarez-Guevara, J.; Munoz-Rojas, D. Hybrid organic–inorganic materials: From child’s play to energy applications. J. Solid State Electrochem 2010, 14, 1939–1945. [Google Scholar]
- Hybrid organic–inorganic materials: From child’s play to energy applications. In Hybrid Nanocomposite Materials; Gomez-Romero, P., Lira-Cantu, M., Eds.; John Wiley & Sons, Inc: Hoboken, NJ, USA, 2005; pp. 533–561.
- Gómez-Romero, P.; Sanchez, C. Hybrid materials, functional applications. An introduction. In Functional Hybrid Materials; Gómez-Romero, P., Sanchez, C., Eds.; Wiley-VCH Verlag GmbH & Co. KGaA: Weinheim, Germany, 2004; pp. 1–14. [Google Scholar]
- Proceedings of the Materials Research Society Symposium; Laine, R., Sanchez, C., Brinker, C.J., Giannelis, E., Eds.; Materials Research Society: Pittsburgh, PA, USA, 2001; Volume 628.
- Nalwa, H.S. Handbook of Organic-Inorganic Hybrid Materials and Nanocomposites: Nanocomposites; American Scientific Publishers: Valencia, CA, USA, 2003; Volume 2. [Google Scholar]
- Nalwa, H.S. Handbook of Organic-Inorganic Hybrid Materials and Nanocomposites: Hybrid Materials; American Scientific Publishers: Valencia, CA, USA, 2003; Volume 1. [Google Scholar]
- Drisko, G.L.; Sanchez, C. Hybridization in materials science—Evolution, current state, and future aspirations. Eur. J. Inorg. Chem 2012, 2012, 5097–5105. [Google Scholar]
- Judeinstein, P.; Sanchez, C. Hybrid organic–inorganic materials: A land of multidisciplinarity. J. Mater. Chem 1996, 6, 511–525. [Google Scholar]
- Sanchez, C.; Belleville, P.; Popall, M.; Nicole, L. Applications of advanced hybrid organic–inorganic nanomaterials: from laboratory to market. Chem. Soc. Rev 2011, 40, 696–753. [Google Scholar]
- Sanchez, C.; Julian, B.; Belleville, P.; Popall, M. Applications of hybrid organic–inorganic nanocomposites. J. Mater. Chem 2005, 15, 3559–3592. [Google Scholar]
- Carlos, L.A.D.; Ferreira, R.A.S.; de, Z.B.V. Hybrid Materials for Optical Applications; Wiley-VCH Verlag GmbH & Co. KGaA: Weinheim, Germany, 2007; pp. 337–400. [Google Scholar]
- Lebeau, B.; Innocenzi, P. Hybrid materials for optics and photonics. Chem. Soc. Rev 2011, 40, 886–906. [Google Scholar]
- Livage, J.; Sanchez, C. Optical properties of sol-gel films. MCLC S&T Sect. B Nonlinear Opt 1999, 21, 125–141. [Google Scholar]
- Caironi, M.; Anthopoulos, T.D.; Noh, Y.-Y.; Zaumseil, J. Organic and hybrid materials for flexible electronics. Adv. Mater 2013, 25, 4208–4209. [Google Scholar]
- Organic and Hybrid Materials for Flexible Electronics: Properties and Applications, The EMRS 2012 Symposium, Strasbourg, France, 14–18 May 2012.
- Kagan, C.R.; Afzali, A.; Breen, T.L.; Mitzi, D.B.; Dimitrakopoulos, C.D.; Kosbar, L.L. Solution Deposition and Patterning of Organic and Organic-Inorganic Thin Film Transistors; American Chemical Society: Washington, DC, USA, 2002. [Google Scholar]
- Mitzi, D.B. Hybrid Organic-Inorganic Electronics; Wiley-VCH Verlag GmbH & Co. KGaA: Weinheim, Germany, 2004; pp. 347–386. [Google Scholar]
- Advincula, R. Hybrid-organic dendrimer and nanoparticle precursor materials for energy conversion and sensor devices. Polym. Prepr 2010, 51, 678–679. [Google Scholar]
- Bescher, E.; Mackenzie, J.D. Hybrid organic-inorganic sensors. Mater. Sci. Eng. C 1998, 6, 145–154. [Google Scholar]
- Darder, M.; Colilla, M.; Lara, N.; Ruiz-Hitzky, E. Hybrid materials based on lichen–polysiloxane matrices: application as electrochemical sensors. J. Mater. Chem 2002, 12, 3660–3664. [Google Scholar]
- Fabbri, P.; Pilati, F.; Rovati, L.; McKenzie, R.; Mijovic, J. Poly (ethylene oxide)–silica hybrids entrapping sensitive dyes for biomedical optical pH sensors: Molecular dynamics and optical response. Opt. Mater 2011, 33, 1362–1369. [Google Scholar]
- Ferrari, L.; Rovati, L.; Fabbri, P.; Pilati, F. Disposable fluorescence optical pH sensor for near neutral solutions. Sensors 2013, 13, 484–499. [Google Scholar]
- Wang, S.; Kang, Y.; Wang, L.; Zhang, H.; Wang, Y.; Wang, Y. Organic/inorganic hybrid sensors: A review. Sens. Actuators B 2013, 182, 467–481. [Google Scholar]
- Goettmann, F.; Boissiere, C.; Grosso, D.; Mercier, F.; Le, F.P.; Sanchez, C. New hybrid bidentate ligands as precursors for smart catalysts. Chem. Eur. J 2005, 11, 7416–7426. [Google Scholar]
- Karakhanov, E.; Maximov, A.; Kardashev, S.; Kardasheva, Y.; Zolotukhina, A.; Rosenberg, E.; Allen, J. Nanostructured macromolecular metal containing materials in catalysis. Macromol. Symp 2011, 304, 55–64. [Google Scholar]
- Schubert, U. Catalysts made of organic-inorganic hybrid materials. New J. Chem 1994, 18, 1049–1058. [Google Scholar]
- Wight, A.P.; Davis, M.E. Design and preparation of organic–inorganic hybrid catalysts. Chem. Rev 2002, 102, 3589–3613. [Google Scholar]
- Zamboulis, A.; Moitra, N.; Moreau, J.J.E.; Cattoen, X.; Wong, C.M.M. Hybrid materials: Versatile matrices for supporting homogeneous catalysts. J. Mater. Chem 2010, 20, 9322–9338. [Google Scholar]
- Gomez-Romero, P.; Lira-Cantu, M. Hybrid organic-inorganic electrodes formed by polyoxometalates and conducting organic polymers. Proc. Electrochem. Soc 1997, 96–97, 158–161. [Google Scholar]
- Lazauskaite, R.; Grazulevicius, J.V. Synthesis and cationic photopolymerization of electroactive monomers containing functional groups. Polym. Adv. Technol 2005, 16, 571–581. [Google Scholar]
- Cuentas-Gallegos, A.K.; Lira-Cantu, M.; Casan-Pastor, N.; Gomez-Romero, P. Nanocomposite hybrid molecular materials for application in solid–state electrochemical supercapacitors. Adv. Funct. Mater 2005, 15, 1125–1133. [Google Scholar]
- De, S.F. L.; Leite, E.R. Hybrid Polymer Electrolytes for Electrochemical Devices; Woodhead Publishing Ltd: Sawston, Cambridge, UK, 2010; pp. 583–602. [Google Scholar]
- Etienne, M.; Guillemin, Y.; Grosso, D.; Walcarius, A. Electrochemical approaches for the fabrication and/or characterization of pure and hybrid templated mesoporous oxide thin films: a review. Anal. Bioanal. Chem 2013, 405, 1497–1512. [Google Scholar]
- Ritchie, J.E. Electronic and Electrochemical Applications of Hybrid Materials; Wiley-VCH Verlag GmbH & Co. KGaA: Weinheim, Germany, 2007; pp. 401–432. [Google Scholar]
- Miller, P.R.; Ovsianikov, A.; Koroleva, A.; Gittard, S.D.; Chichkov, B.N.; Narayan, R. Medical applications of zirconium oxide hybrid materials. J. Am. Ceram. Soc. Bull 2011, 90, 24–29. [Google Scholar]
- Ruiz-Hitzky, E.; Aranda, P.; Darder, M.; Rytwo, G. Hybrid materials based on clays for environmental and biomedical applications. J. Mater. Chem 2010, 20, 9306–9321. [Google Scholar]
- Shirosaki, Y.; Osaka, A.; Tsuru, K.; Hayakawa, S. Inorganic–Organic Sol-Gel Hybrids; John Wiley & Sons Ltd: Hoboken, NJ, USA, 2012. [Google Scholar]
- Zhang, H.; Ding, J.; Chen, X.; Zhang, H.; Liu, X. Combination Control, Nanomagnetism, and Biomedical Applications of Inorganic Multicomponent Hybrid Nanomaterials; Pan Stanford Publishing Pte. Ltd.: Singapore, 2012; pp. 421–454. [Google Scholar]
- Gill, I. Bio-doped nanocomposite polymers: Sol−gel bioencapsulates. Chem. Mater 2001, 13, 3404–3421. [Google Scholar]
- Jones, J.R. Review of bioactive glass: From Hench to hybrids. Acta Biomater 2013, 9, 4457–4486. [Google Scholar]
- Livage, J.; Coradin, T.; Roux, C. Bioactive Sol-Gel Hybrids; Wiley-VCH Verlag GmbH & Co. KGaA: Weinheim, Germany, 2004; pp. 387–404. [Google Scholar]
- Bio-Inorganic Hybrid Nanomaterials; Strategies, Syntheses, Characterization and Applications; Ruiz-Hitzky, E., Ariga, K., Lvov, Y., Eds.; Wiley-VCH Verlag GmbH & Co. KGaA: Weinheim, Germany, 2008.
- Themed Collection on Hybrid Materials; Sanchez, C., Kitagawa, S., Shea, K., Eds.; Royal Society of Chemistry: London, UK, 2011; Volume 40.
- Advanced Hybrid Materials: design and Applications; Buehler, M.J., Rabu, P., Taubert, A., Eds.; Wiley-VCH: Weinheim, Germany, 2012; Volume 2012.
- Buehler, M.J.; Rabu, P.; Taubert, A. Advanced hybrid materials: Design and applications. Eur. J. Inorg. Chem 2012, 5092–5093. [Google Scholar]
- Sanchez, C., Laine, R.M., Yang, S., Brinker, C.J., Eds.; Proceedings of the Materials Research Society Symposium, San Francisco, CA, USA, 2–5 April 2002; Materials Research Society: Pittsburgh, PA, USA, 2002.
- Kickelbick, G. Concepts for the incorporation of inorganic building blocks into organic polymers on a nanoscale. Prog. Polym. Sci 2002, 28, 83–114. [Google Scholar]
- Schubert, U. Metal oxide clusters as building blocks for inorganic–organic hybrid polymers Macromol. Contain. Met. Met. Like Elem 2006, 7, 55–71. [Google Scholar]
- Schubert, U. Cluster-based inorganic–organic hybrid materials. Chem. Soc. Rev 2011, 40, 575–582. [Google Scholar]
- Ferey, G. Building units design and scale chemistry. J. Solid State Chem 2000, 152, 37–48. [Google Scholar]
- Ferey, G. Metal-organic frameworks. The young child of the porous solids family. Stud. Surf. Sci. Catal 2007, 170A, 66–86. [Google Scholar]
- Ferey, G. The long story and the brilliant future of crystallized porous solids. Struct. Bonding 2009, 132, 87–134. [Google Scholar]
- Eddaoudi, M.; Moler, D.B.; Li, H.L.; Chen, B.L.; Reineke, T.M.; O’Keeffe, M.; Yaghi, O.M. Reticular chemistry: Occurrence and taxonomy of nets and grammar for the design of frameworks. Acc. Chem. Res 2001, 34, 319–330. [Google Scholar]
- Furukawa, H.; Cordova, K.E.; O’Keeffe, M.; Yaghi, O.M. The chemistry and applications of metal–organic frameworks. Science 2013, 341. [Google Scholar] [CrossRef]
- Müller, U.; Schubert, M.M.; Yaghi, O.M. Chemistry and Applications of Porous Metal-Organic Frameworks; Wiley-VCH Verlag GmbH & Co. KGaA: Weinheim, Germany, 2008; pp. 247–262. [Google Scholar]
- O’Keeffe, M.; Peskov, M.A.; Ramsden, S.J.; Yaghi, O.M. The reticular chemistry structure resource(RCSR) database of,and symbols for,crystal nets. Acc. Chem. Res 2008, 41, 1782–1789. [Google Scholar]
- Rowsell, J.L.C.; Yaghi, O.M. Metal–organic frameworks: A new class of porous materials. Microporous Mesoporous Mater 2004, 73, 3–14. [Google Scholar]
- Tranchemontagne, D.J.; Mendoza-Cortes, J.L.; O’Keeffe, M.; Yaghi, O.M. Secondary building units, nets and bonding in the chemistry of metal-organic frameworks. Chem. Soc. Rev 2009, 38, 1257–1283. [Google Scholar]
- Tranchemontagne, D.J.; Ni, Z.; O’Keeffe, M.; Yaghi, O.M. Reticular chemistry of metal-organic polyhedra. Angew. Chem. Int. Ed 2008, 47, 5136–5147. [Google Scholar]
- Yaghi, O.M.; Li, H.L.; Davis, C.; Richardson, D.; Groy, T.L. Synthetic strategies, structure patterns, and emerging properties in the chemistry of modular porous solids. Acc. Chem. Res 1998, 31, 474–484. [Google Scholar]
- Yaghi, O.M.; O’Keeffe, M.; Ockwig, N.W.; Chae, H.K.; Eddaoudi, M.; Kim, J. Reticular synthesis and the design of new materials. Nature 2003, 423, 705–714. [Google Scholar]
- Tai, X.M.; Ma, J.H.; Du, Z.P.; Wang, W.X.; Wu, J.H. A simple method for synthesis of thermal responsive silica nanoparticle/PNIPAAm hybrids. Powder Technol 2013, 233, 47–51. [Google Scholar]
- Foo, M.L.; Matsuda, R.; Kitagawa, S. Functional hybrid porous coordination polymers. Chem. Mater 2014, 26, 310–322. [Google Scholar]
- Janiak, C.; Henninger, S.K. Porous coordination polymers as novel sorption materials for heat transformation processes. Chimia 2013, 67, 419–424. [Google Scholar]
- Artyushkova, K.; Fulghum, J.E. Quantification of PVC-PMMA polymer blend compositions by XPS in the presence of X-ray degradation effects. Surf. Interface Anal 2001, 31, 352–361. [Google Scholar]
- Bourgeat-Lami, E. Hybrid Organic/Inorganic Particles; Wiley-VCH Verlag GmbH & Co. KGaA: Weinheim, Germany, 2007; pp. 87–149. [Google Scholar]
- Nanocomposites-New Trends and Developments; Ebrahimi, F., Ed.; InTech: Rijeka, Croatia, 2012.
- Advances in Nanocomposite Technology; Hashim, A., Ed.; InTech: Rijeka, Croatia, 2011.
- Polymer Nanocomposites: Advances in Filler Surface Modification Techniques; Mittal, V., Ed.; Nova Science Publishers: Hauppauge, NY, USA, 2009.
- Lebeau, B.; Patarin, J.; Sanchez, C. Design and properties of hierarchically organized hybrid organic–inorganic nanocomposites (review). Adv. Technol. Mater. Mater. Process. J 2004, 6, 298–307. [Google Scholar]
- Sanchez, C.; Boissiere, C.; Coupe, A.; Goettmann, F.; Grosso, D.; Julian, B.; Llusar, M.; Nicole, L. Design of functional nano-structured inorganic and hybrid materials. Stud. Surf. Sci. Catal 2005, 156, 19–36. [Google Scholar]
- Sanchez, C.; Crepaldi, E.L.; Bouchara, A.; Cagnol, F.; Grosso, D.; Soler-Illia, G.J.D.A.A. Design of transition metal oxide and hybrid mesoporous materials. Mater. Res. Soc. Symp. Proc 2002, 728, 3–9. [Google Scholar]
- Sanchez, C.; Lebeau, B. Design and properties of hybrid organic-inorganic nanocomposites for photonics. MRS Bull 2001, 26, 377–387. [Google Scholar]
- Sanchez, C.; Ribot, F. Design of hybrid organic-inorganic materials synthesized via sol-gel chemistry. New J. Chem 1994, 18, 1007–1047. [Google Scholar]
- Sanchez, C.; Rozes, L.; Ribot, F.; Laberty-Robert, C.; Grosso, D.; Sassoye, C.; Boissiere, C.; Nicole, L. “Chimie douce”: A land of opportunities for the designed construction of functional inorganic and hybrid organic-inorganic nanomaterials. C. R. Chim 2010, 13, 3–39. [Google Scholar]
- Sanchez, C.; Soler-Illia, G.J.D.A.A.; Ribot, F.; Grosso, D. Design of functional nano-structured materials through the use of controlled hybrid organic-inorganic interfaces. C. R. Chim 2003, 6, 1131–1151. [Google Scholar]
- Ayandele, E.; Sarkar, B.; Alexandridis, P. Polyhedral oligomeric silsesquioxane (POSS)-containing polymer nanocomposites. Nanomaterials 2012, 2, 445–475. [Google Scholar]
- Cordes, D.B.; Lickiss, P.D.; Rataboul, F. Recent developments in the chemistry of cubic polyhedral oligosilsesquioxanes. Chem. Rev 2010, 110, 2081–2173. [Google Scholar]
- Mammeri, F.; Bonhomme, C.; Ribot, F.; Babonneau, F.; Dire, S. New monofunctional POSS and its utilization as dewetting additive in methacrylate based free-standing films. Chem. Mater 2009, 21, 4163–4171. [Google Scholar]
- Pielichowski, K.; Njuguna, J.; Janowski, B.; Pielichowski, J. Polyhedral oligomeric silsesquioxanes (POSS)-containing nanohybrid polymers. Adv. Polym. Sci 2006, 201, 225–296. [Google Scholar]
- Tanaka, K.; Chujo, Y. Advanced functional materials based on polyhedral oligomeric silsesquioxane (POSS). J. Mater. Chem 2012, 22, 1733–1746. [Google Scholar]
- Markovic, E.; Constantopolous, K.; Matisons, J.G. Polyhedral oligomeric silsesquioxanes: from early and strategic development through to materials application. Adv. Silicon Sci 2011, 3, 1–46. [Google Scholar]
- Matisons, J. Applications of Polyhedral Oligomeric Silsesquioxanes; Springer: Dordrecht, The Netherlands, 2011. [Google Scholar]
- Sulaiman, S.; Bhaskar, A.; Zhang, J.; Guda, R.; Goodson, T.; Laine, R.M. Molecules with perfect cubic symmetry as nanobuilding blocks for 3-D assemblies. Elaboration of octavinylsilsesquioxane. unusual luminescence shifts may indicate extended conjugation involving the silsesquioxane core. Chem. Mater 2008, 20, 5563–5573. [Google Scholar]
- Laine, R.M. Nanobuilding blocks based on the [OSiO1.5]x (x = 6, 8, 10) octasilsesquioxanes. J. Mater. Chem 2005, 15, 3725–3744. [Google Scholar]
- Qi, W.; Wu, L. Polyoxometalate/polymer hybrid materials: fabrication and properties. Polym. Int 2009, 58, 1217–1225. [Google Scholar]
- Proust, A.; Matt, B.; Villanneau, R.; Guillemot, G.; Gouzerh, P.; Izzet, G. Functionalization and post-functionalization: A step towards polyoxometalate-based materials. Chem. Soc. Rev 2012, 41, 7605–7622. [Google Scholar]
- Borras-Almenar, J.J.; Coronado, E.; Müller, A.; Pope, M. NATO Science Series II; Kluwer Academic Publishers: Boston, MA, USA, 2003; Volume 98. [Google Scholar]
- Yamase, T.; Pope, M.T. Polyoxometalate Chemistry for Nano-Composite Design; Kluwer Academic/Plenum Publishers: Boston, MA, USA, 2002. [Google Scholar]
- Pope, M.T.; Müller, A. Polyoxometalate Chemistry From Topology via Self-Assembly to Applications; Kluwer Academic Publishers: Boston, MA, USA, 2001. [Google Scholar]
- Pope, M.T.; Müller, A. Heteropoly and Isopoly Oxometalates; Springer Verlag: New York, NY, USA, 1983. [Google Scholar]
- Gross, S. Oxocluster-reinforced organic-inorganic hybrid materials: effect of transition metal oxoclusters on structural and functional properties. J. Mater. Chem 2011, 21, 15853–15861. [Google Scholar]
- Bocchini, S.; Fornasieri, G.; Rozes, L.; Trabelsi, S.; Galy, J.; Zafeiropoulos, N.E.; Stamm, M.; Gerard, J.F.; Sanchez, C. New hybrid organic–inorganic nanocomposites based on functional [Ti16O16(OEt)24(OEMA)8] nano-fillers. Chem. Commun 2005, 2600–2602. [Google Scholar]
- Rozes, L.; Cochet, S.; Frot, T.; Fornasieri, G.; Sassoye, C.; Popall, M.; Sanchez, C. Titanium oxoclusters: Vesatile nano-objects for the design of hybrid compounds. Mater. Res. Soc. Symp. Proc 2007, 1007. [Google Scholar] [CrossRef]
- Dire, S.; Babonneau, F.; Sanchez, C.; Livage, J. Sol-gel synthesis of siloxane–oxide hybrid coatings [Si(CH3)2O·MOx: M = Si, Ti, Zr, Al] with luminescent properties. J. Mater. Chem 1992, 2, 239–244. [Google Scholar]
- Almaral-Sanchez, J.L.; Rubio, E.; Calderon-Guillen, J.A.; Mendoza-Galvan, A.; Perez-Robles, J.F.; Ramirez-Bon, R. Colored transparent organic-inorganic hybrid coatings. Adv. Technol. Mater. Mater. Process. J 2005, 7, 203–208. [Google Scholar]
- Fabbri, P.; Messori, M.; Montecchi, M.; Pilati, F.; Taurino, R.; Tonelli, C.; Toselli, M. Surface properties of fluorinated hybrid coatings. J. Appl. Polym. Sci 2006, 102, 1483–1488. [Google Scholar]
- Mauguiere, F.; Dossot, M.; Obeid, H.; Burget, D.; Fouassier, J.P.; Merlin, A. UV Curing of Wood Coatings: The Inhibiting Effect of Phenolic Derivatives; Research Signpost: Kerala, India, 2006; pp. 141–152. [Google Scholar]
- Fabbri, P.; Messori, M.; Montecchi, M.; Nannarone, S.; Pasquali, L.; Pilati, F.; Tonelli, C.; Toselli, M. Perfluoropolyether-based organic-inorganic hybrid coatings. Polymer 2006, 47, 1055–1062. [Google Scholar]
- Kickelbick, G.; Soucek, M.D. Inorganic/Organic Hybrid Coatings; Wiley-VCH Verlag GmbH & Co. KGaA: Weinheim, Germany, 2007; pp. 433–476. [Google Scholar]
- Pagliaro, M.; Ciriminna, R.; Palmisano, G. Silica-based hybrid coatings. J. Mater. Chem 2009, 19, 3116–3126. [Google Scholar]
- Sangermano, M.; Amerio, E.; Malucelli, G. Hybrid Organic–Inorganic Coatings Obtained by Cationic UV-Curing; Research Signpost: Kerala, India, 2010; pp. 149–161. [Google Scholar]
- Berejka, A.J.; Montoney, D.; Cleland, M.R.; Loiseau, L. Radiation curing: Coatings and composites. Nukleonika 2010, 55, 97–106. [Google Scholar]
- Sangermano, M.; Foix, D.; Kortaberria, G.; Messori, M. Multifunctional antistatic and scratch resistant UV-cured acrylic coatings. Prog. Org. Coat 2013, 76, 1191–1196. [Google Scholar]
- Girardi, F.; Cappelletto, E.; Sandak, J.; Bochicchio, G.; Tessadri, B.; Palanti, S.; Feci, E.; Di Maggio, R. Hybrid organic-inorganic materials as coatings for protecting wood. Prog. Org. Coat 2014, 77, 449–457. [Google Scholar]
- Mitzi, D.B. Thin-film deposition of organic−inorganic hybrid materials. Chem. Mater 2001, 13, 3283–3298. [Google Scholar]
- Mitzi, D.B.; Dimitrakopoulos, C.D.; Kosbar, L.L. Structurally tailored organic−inorganic Perovskites: Optical properties and solution-processed channel materials for thin-film transistors. Chem. Mater 2001, 13, 3728–3740. [Google Scholar]
- Maggini, S.; Feci, E.; Cappelletto, E.; Girardi, F.; Palanti, S.; Di Maggio, R. (I/O) hybrid alkoxysilane/zirconium-oxocluster copolymers as coatings for wood protection. Appl. Mater. Interfaces 2012, 4, 4871–4881. [Google Scholar]
- Casan-Pastor, N.; Gomez-Romero, P. Polyoxometalates: from inorganic chemistry to materials science. Front. Biosci 2004, 9, 1759–1770. [Google Scholar]
- Pope, M.T.; Müller, A. Topics in Molecular Organization and Engineering; Series: Polyoxometalates: From Platonic Solids to Anti-Retroviral Activity; Kluwer Academic Publishers: Alphen aan den Rijn, The Netherlands, 1994; Volume 10. [Google Scholar]
- Polyoxometalates: Oxoanion Clusters of the Early Transition Elements. In Molecula Engineering; Pope, M.T., Müller, A., Eds.; Kluwer Academic Publishers: Alphen aan den Rijn, The Netherlands, 1993; Volume 3.
- Mijatovic, I.; Kickelbick, G.; Schubert, U. Rearrangement of a titanium alkoxide cluster upon substitution of the alkoxide groups by carboxylate ligands—Synthesis of [Ti6O4(OEt)14(OOCPh)2] from [Ti7O4(OEt)20]. Eur. J. Inorg. Chem 2001, 1933–1935. [Google Scholar]
- Kickelbick, G.; Schubert, U. Organic Functionalization of Metal Oxide Nanoparticles; American Scientific Publishers: Washington, DC, USA, 2003; pp. 91–102. [Google Scholar]
- Ribot, F.O.; Minoux, D.; Sanchez, C. An organotin oxo-carboxylate cluster functionalized by triethoxysilyl groups. Mater. Res. Soc. Symp. Proc 2001, 628. [Google Scholar] [CrossRef]
- Rozes, L.; Steunou, N.; Fornasieri, G.; Sanchez, C. Titanium-oxo clusters, versatile nanobuilding blocks for the design of advanced hybrid materials. Monatsh. Chem 2006, 137, 501–528. [Google Scholar]
- Piao, H.; Fairley, N.; Walton, J. Application of XPS imaging analysis in understanding interfacial delamination and X-ray radiation degradation of PMMA. Surf. Interface Anal 2013, 45, 1742–1750. [Google Scholar]
- Kayaci, F.; Aytac, Z.; Uyar, T. Surface modification of electrospun polyester nanofibers with cyclodextrin polymer for the removal of phenanthrene from aqueous solution. J. Hazard. Mater 2013, 261, 286–294. [Google Scholar]
- Thorimbert, S.; Hasenknopf, B.; Lacote, E. Cross-linking organic and polyoxometalate chemistries. Isr. J. Chem 2011, 51, 275–280. [Google Scholar]
- Kogler, F.R.; Schubert, U. Crosslinking vs. filler effect of carboxylate-substituted zirconium oxo clusters on the thermal stability of polystyrene. Polymer 2007, 48, 4990–4995. [Google Scholar]
- Schubert, U.; Gao, Y.; Kogler, F.R. Tuning the properties of nanostructured inorganic-organic hybrid polymers obtained from metal oxide clusters as building blocks. Prog. Solid State Chem 2006, 35, 161–170. [Google Scholar]
- Crivello, J.V. Applications of photoinitiated cationic polymerization in coatings. J. Coat. Technol 1991, 63, 35–38. [Google Scholar]
- Crivello, J.V. Recent progress in photoinitiated cationic polymerization. Polym. Sci. Technol. (Plenum) 1984, 29, 351–361. [Google Scholar]
- Crivello, J.V. Photoinitiated Cationic Polymerization; Technol. Mark. Corp.: Stamford, CT, USA, 1978; pp. 23–77. [Google Scholar]
- Sangermano, M. Advances in cationic photopolymerization. Pure Appl. Chem 2012, 84, 2089–2101. [Google Scholar]
- Sangermano, M.; Crivello, J.V. Visible and long-wavelength cationic photopolymerization. ACS Symp. Ser 2003, 847, 242–252. [Google Scholar]
- Holzinger, D.; Kickelbick, G. Modified cubic spherosilicates as macroinitiators for the synthesis of inorganic–organic starlike polymers. J. Polym. Sci. A Polym. Chem 2002, 40, 3858–3872. [Google Scholar]
- Kickelbick, G.; Holzinger, D.; Rutzinger, D.; Ivanovici, S. Synthesis of inorganic-polymer nanocomposites by atom transfer radical polymerization using initiators or polymerizable groups attached to transition metals via bidentate ligands. ACS Symp. Ser 2006, 944, 269–278. [Google Scholar]
- Matyjaszewski, K. Atom transfer radical polymerization (ATRP): Current status and future perspectives. Macromolecules 2012, 45, 4015–4039. [Google Scholar]
- Matyjaszewski, K.; Miller, P.J.; Kickelbick, G.; Nakagawa, Y.; Diamanti, S.; Pacis, C. Organic-inorganic hybrid polymers from atom transfer radical polymerization and poly(dimethylsiloxane). ACS Symp. Ser 2000, 729, 270–283. [Google Scholar]
- Matyjaszewski, K.; Miller, P.J.; Shukla, N.; Immaraporn, B.; Gelman, A.; Luokala, B.B.; Siclovan, T.M.; Kickelbick, G.; Vallant, T.; Hoffmann, H.; et al. Polymers at interfaces: Using atom transfer radical polymerization in the controlled growth of homopolymers and block copolymers from silicon surfaces in the absence of untethered sacrificial initiator. Macromolecules 1999, 32, 8716–8724. [Google Scholar]
- Patil, A.O.; Dong, H.; Tsou, A.H.; Bodige, S. Polymer-inorganic hybrid materials using controlled radical polymerization. ACS Symp. Ser 2012, 1101, 163–182. [Google Scholar]
- Gross, S.; Bauer, M. EXAFS as powerful analytical tool for the investigation of organic–inorganic hybrid materials. Adv. Funct. Mater 2010, 20, 4026–4047. [Google Scholar]
- Moraru, B.; Hüsing, N.; Kickelbick, G.; Schubert, U.; Fratzl, P.; Peterlik, H. Inorganic−organic hybrid polymers by polymerization of methacrylate- or acrylate-substituted oxotitanium clusters with methyl methacrylate or methacrylic acid. Chem. Mater 2002, 14, 2732–2740. [Google Scholar]
- Schubert, U.; Trimmel, G.; Moraru, B.; Tesch, W.; Fratzl, P.; Gross, S.; Kickelbick, G.; Hüsing, N. Inorganic–organic hybrid polymers from surface-modified oxometallate clusters. Mater. Res. Soc. Symp. Proc 2001, 628. [Google Scholar] [CrossRef]
- Trimmel, G.; Fratzl, P.; Schubert, U. Cross-linking of poly(methyl methacrylate) by the methacrylate-substituted oxozirconium cluster Zr6(OH)4O4(Methacrylate)12. Chem. Mater 2000, 12, 602–604. [Google Scholar]
- Faccini, F.; Fric, H.; Schubert, U.; Wendel, E.; Tsetsgee, O.; Müller, K.; Bertagnolli, H.; Venzo, A.; Gross, S. ω-Mercapto-functionalized hafnium- and zirconium-oxoclusters as nanosized building blocks for inorganic–organic hybrid materials: Synthesis, characterization and photothiol-ene polymerization. J. Mater. Chem 2007, 17, 3297–3307. [Google Scholar]
- Graziola, F.; Girardi, F.; Di, M.R.; Callone, E.; Miorin, E.; Negri, M.; Müller, K.; Gross, S. Three-components organic–inorganic hybrid materials as protective coatings for wood: Optimisation, synthesis, and characterisation. Prog. Org. Coat 2012, 74, 479–490. [Google Scholar]
- Gross, S.; Müller, K. Sol-gel derived silica-based organic–inorganic hybrid materials as “composite precursors” for the synthesis of highly homogeneous nanostructured mixed oxides: An overview. J. Sol-Gel Sci. Technol 2011, 60, 283–298. [Google Scholar]
- Flores, M.; Fernandez-Francos, X.; Ramis, X.; Sangermano, M.; Ferrando, F.; Serra, A. Photocuring of cycloaliphatic epoxy formulations using polyesters with multiarm star topology as additives. J. Appl. Polym. Sci 2014, 131, 1–9. [Google Scholar]
- Mascotto, S.; Tsetsgee, O.; Müller, K.; Maccato, C.; Smarsly, B.; Brandhuber, D.; Tondello, E.; Gross, S. Effect of microwave assisted and conventional thermal heating on the evolution of nanostructured inorganic-organic hybrid materials to binary ZrO2-SiO2 oxides. J. Mater. Chem 2007, 17, 4387–4399. [Google Scholar]
- Schubert, U. Surface-Modified Metal Oxide Clusters as Building Blocks for Inorganic-Organic Hybrid Materials, 1st ed.; Univerza v Mariboru, Fakulteta za Kemijo in Kemijsko Tehnologijo: Maribor, Slovenia, 2002. [Google Scholar]
- Schubert, U. Organically modified transition metal alkoxides: Chemical problems and structural issues on the way to materials syntheses. Acc. Chem. Res 2007, 40, 730–737. [Google Scholar]
- Schubert, U. Organofunctional metal oxide clusters as building blocks for inorganic–organic hybrid materials. J. Sol-Gel Sci. Technol 2004, 31, 19–24. [Google Scholar]
- Schubert, U.; Bauer, U.; Fric, H.; Puchberger, M.; Rupp, W.; Torma, V. Modification of metal alkoxide precursors by organofunctional bidentate ligands: Chemical problems and opportunities for materials syntheses. Mater. Res. Soc. Symp. Proc 2005, 847, 533–538. [Google Scholar]
- Albinati, A.; Faccini, F.; Gross, S.; Kickelbick, G.; Rizzato, S.; Venzo, A. New methacrylate-functionalized Ba and Ba−Ti oxoclusters as potential nanosized building blocks for inorganic−organic hybrid materials: synthesis and characterization. Inorg. Chem 2007, 46, 3459–3466. [Google Scholar]
- Kickelbick, G.; Feth, M.P.; Bertagnolli, H.; Puchberger, M.; Holzinger, D.; Gross, S. Formation of organically surface-modified metal oxo clusters from carboxylic acids and metal alkoxides: a mechanistic study. J. Chem. Soc. Dalton Trans 2002, 3892–3898. [Google Scholar]
- Sanchez, C.; Ribot, F.; Doeuff, S. Transition metal oxo polymers synthesized via sol-gel chemistry. NATO ASI Ser. Ser. E 1992, 206, 267–295. [Google Scholar]
- Sanchez, C.; Soler-Illia, G.J.; De, A.A.; Rozes, L.; Caminade, A.-M.; Turrin, C.-O.; Majoral, J.-P. Hybrid nanostructured materials obtained from Ti-oxo nanobuilding blocks. Mater. Res. Soc. Symp. Proc 2001, 628. [Google Scholar] [CrossRef]
- Kickelbick, G.; Schubert, U. Inorganic clusters in organic polymers and the use of polyfunctional inorganic compounds as polymerization initiators. Monats. Chem 2011, 132, 13–30. [Google Scholar]
- Sliem, M.A.; Schmidt, D.A.; Betard, A.; Kalidindi, S.B.; Gross, S.; Havenith, M.; Devi, A.; Fischer, R.A. Surfactant-induced nonhydrolytic synthesis of phase-pure ZrO2 nanoparticles from metal–organic and oxocluster precursors. Chem. Mater 2012, 24, 4274–4282. [Google Scholar]
- Guillerm, V.; Gross, S.; Serre, C.; Devic, T.; Bauer, M.; Ferey, G. A zirconium methacrylate oxocluster as precursor for the low-temperature synthesis of porous zirconium (IV) dicarboxylates. Chem. Commun 2010, 46, 767–769. [Google Scholar]
- Trimmel, G.; Moraru, B.; Gross, S.; Di Noto, V.; Schubert, U. Cross-linking of poly (methyl methacrylate) by oxozirconate and oxotitanate clusters. Macromol. Symp 2001, 175, 357–366. [Google Scholar]
- Kickelbick, G.; Schubert, U. Carboxylate-substituted oxotitanium and oxozirconium clusters as structural models for titania-and zirconia-based inorganic-organic hybrid materials. Mater. Res. Soc. Symp. Proc 1998, 519, 401–406. [Google Scholar]
- Kickelbick, G.; Schubert, U. Oxozirconium Methacrylate Clusters: Zr6(OH)4O4(OMc)12 and Zr4O2(OMc)12 (OMc= Methacrylate). Chem. Ber 1997, 130, 473–477. [Google Scholar]
- Trimmel, G.; Gross, S.; Kickelbick, G.; Schubert, U. Swelling behavior and thermal stability of poly(methyl methacrylate) crosslinked by the oxo zirconium cluster Zr4O2(methacrylate)12. Appl. Organomet. Chem 2001, 15, 401–406. [Google Scholar]
- Gross, S.; Kickelbick, G.; Puchberger, M.; Schubert, U. Mono-, di-, and trimetallic methacrylate-substituted metal oxide clusters derived from hafnium butoxide. Monatsh. Chem 2003, 134, 1053–1063. [Google Scholar]
- Moraru, B.; Kickelbick, G.; Schubert, U. Methacrylate-substituted mixed-metal clusters derived from zigzag chains of [ZrO8]/[ZrO7] and [TiO6] polyhedra. Eur. J. Inorg. Chem 2001, 1295–1301. [Google Scholar]
- Artner, C.; Koyun, A.; Schubert, U. Conversion of methacrylate into 2-hydroxy-2-methylpropionate ligands in the coordination sphere of a Ag-Zr oxo cluster. Dalton Trans 2013, 42, 6694–6696. [Google Scholar]
- Ferreira, R.A.S.; Oliveira, D.C.; Maia, L.Q.; Vicente, C.M.S.; Andre, P.S.; Bermudez, V.Z.; Ribeiro, S.J.L.; Carlos, L.D. Enhanced photoluminescence features of Eu3+-modified di-ureasil-zirconium oxocluster organic–inorganic hybrids. Opt. Mater 2010, 32, 1587–1591. [Google Scholar]
- Jupa, M.; Kickelbick, G.; Schubert, U. Methacrylate-substituted titanium–yttrium mixed-metal oxo clusters. Eur. J. Inorg. Chem 2004, 1835–1839. [Google Scholar]
- Hubert-Pfalzgraf, L.G.; Papiernik, R.; Boulmaaz, S. Heterometallic alkoxides as precursors to multicomponent oxides: some examples based on lead-niobium and cadmium-niobium systems. Eur. Mater. Res. Soc. Monogr 1992, 5, 93–100. [Google Scholar]
- Ribot, F.; Banse, F.; Diter, F.; Sanchez, C. Hybrid organic-inorganic supramolecular assemblies made from butyltin oxo-hydroxo nanobuilding blocks and dicarboxylates. New J. Chem 1995, 19, 1145–1153. [Google Scholar]
- Chandler, C.D.; Caruso, J.; Hampdensmith, M.J.; Rheingold, A.L. Structural investigation of tin(IV) alkoxide compounds—II. Solid state and solution structural characterization of [Sn(O-i-Bu)4·O-i-Bu]2. Polyhedron 1995, 14, 2491–2497. [Google Scholar]
- Caruso, J.; Hampdensmith, M.J.; Rheingold, A.L.; Yap, G. Ester elimination versus ligand exchange: The role of the solvent in tin–oxo cluster-building reactions. Chem. Commun 1995, 157–158. [Google Scholar]
- Reuter, H.; Kremser, M. Investigation into Tin (IV) alkoxides. 2. Isolation and characterization of the compound Sn3O(OBu)-BuOH—The first example of a partially hydrolized tin alkoxide. Z. Anorg. Allgem. Chem 1992, 615, 137–142. [Google Scholar]
- Banse, F.; Ribot, F.; Toledano, P.; Maquet, J.; Sanchez, C. Hydrolysis of monobutyltin trialkoxides: Synthesis and characterizations of {(BuSn)12O14(OH)6}(OH)2. Inorg. Chem 1995, 34, 6371–6379. [Google Scholar]
- Prabusankar, G.; Jousseaume, B.; Toupance, T.; Allouchi, H. Organic–Inorganic Sn12 and organic Sn6 oxide–hydroxide clusters. Angew. Chem. Int. Ed 2006, 45, 1255–1258. [Google Scholar]
- Haas, K.H.; Wolter, H. Synthesis, properties and applications of inorganic–organic copolymers (ORMOCER). Curr. Op. Solid State Mater. Sci 1999, 4, 571–580. [Google Scholar]
- Verdenelli, M.; Parola, S.; Hubert-Pfalzgraf, L.G.; Lecocq, S. Tin dioxide thin films from Sn(IV) modified alkoxides—Synthesis and structural characterization of Sn(OEt)2(η2-acac)2 and Sn4(μ3-O)2(μ2-OEt)4(OEt)6(η2-acac)2. Polyhedron 2000, 19, 2069–2075. [Google Scholar]
- Eychenne-Baron, C.; Ribot, F.; Steunou, N.; Sanchez, C.; Fayon, F.; Biesemans, M.; Martins, J.C.; Willem, R. Reaction of butyltin hydroxide oxide with p-toluenesulfonic acid: Synthesis, X-ray crystal analysis, and multinuclear NMR characterization of {(BuSn)12O14(OH)6}(4-CH3C6H4SO3)2. Organometallics 2000, 19, 1940–1949. [Google Scholar]
- Caulton, K.G.; Hubert-Pfalzgraf, L.G. Synthesis, structural principles and reactivity of heterometallic alkoxides. Chem. Rev 1990, 90, 969–995. [Google Scholar]
- Hubert-Pfalzgraf, L.G. Some trends in the design of homo-and heterometallic molecular precursors of high-tech oxides. Inorg. Chem. Commun 2003, 6, 102–120. [Google Scholar]
- Hubert-Pfalzgraf, L.G. Tailoring molecular precursors for multicomponent oxides. Korean J. Ceram 2000, 6, 370–379. [Google Scholar]
- Hubert-Pfalzgraf, L.G. Chemical routes to barium-cerium oxides: The quest for mixed-metal precursors. Molecular structure of Ba4Ce2(μ6-O)(thd)4(μ3-OPrI)8(OPrI)2. New J. Chem 1995, 19, 727–750. [Google Scholar]
- Losada, G.; Mendiola, M.A.; Sevilla, M.T. Synthesis, characterization and electrochemical properties of trinuclear iron (III) complexes containing unsaturated carboxylate bridging ligands. Inorg. Chim. Acta 1997, 255, 125–131. [Google Scholar]
- Moraru, B.; Gross, S.; Kickelbick, G.; Trimmel, G.; Schubert, U. A new type of methacrylate-substituted oxozirconium clusters: [Zr3O(OR)5(OMc]2 and [Zr3O(OR)3(OMc)7]2. Monatsh. Chem 2001, 132, 993–999. [Google Scholar]
- Gross, S.; Di Noto, V.; Kickelbick, G.; Schubert, U. Cluster-crosslinked inorganic–organic hybrid polymers: Influence of the cluster type on the materials properties. Mater. Res. Soc. Symp. Proc 2002, 726, 47–55. [Google Scholar]
- Puchberger, M.; Kogler, F.R.; Jupa, M.; Gross, S.; Fric, H.; Kickelbick, G.; Schubert, U. Can the clusters Zr6O4(OH)4(OOCR)12 and [Zr6O4(OH)4(OOCR)12]2 be converted into each other? Eur. J. Inorg. Chem 2006, 3283–3293. [Google Scholar]
- Gao, Y.; Dragan, D. S.; Jupa, M.; Kogler, F.R.; Puchberger, M.; Schubert, U. Surface-modified zirconium oxide clusters and their use as components for inorganic-organic hybrid materials. Mater. Res. Soc. Symp. Proc 2005, 847, 539–544. [Google Scholar]
- Kickelbick, G.; Schubert, U. Hydroxy carboxylate substituted oxozirconium clusters. J. Chem. Soc. Dalton Trans 1999, 1301–1306. [Google Scholar]
- Kickelbick, G.; Wiede, P.; Schubert, U. Variations in capping the Zr6O4(OH)4 cluster core: X-ray structure analyses of [Zr6(OH)4O4(OOC–CH–CH2)10]2(μ-OOC–CH–CH2)4 and Zr6(OH)4O4(OOCR)12(PrOH) (R = Ph, CMe = CH2). Inorg. Chim. Acta 1999, 284, 1–7. [Google Scholar]
- Heinz, P.; Puchberger, M.; Bendova, M.; Baumann, S.O.; Schubert, U. Clusters for alkyne-azide click reactions. Dalton Trans 2010, 39, 7640–7644. [Google Scholar]
- Kickelbick, G.; Holzinger, D.; Brick, C.; Trimmel, G.; Moons, E. Hybrid inorganic−organic core−shell nanoparticles from surface-functionalized titanium, zirconium, and vanadium oxo clusters. Chem. Mater 2002, 14, 4382–4389. [Google Scholar]
- Maggini, S.; Cappelletto, E.; Di Maggio, R. High temperature resistantsilane/zirconium-oxocluster hybrid copolymers containing “free” thiol/ene functionalities in thepolymer matrix. J. Appl. Polym. Sci 2013, 127, 2435–2441. [Google Scholar]
- Schubert, U.; Völkel, T.; Moszner, N. Mechanical properties of an inorganic-organic hybrid polymer cross-linked by the cluster Zr4O2(methacrylate)12. Chem. Mater 2001, 13, 3811–3812. [Google Scholar]
- Trabelsi, S.; Janke, A.; Haessler, R.; Zafeiropoulos, N.E.; Fornasieri, G.; Bocchini, S.; Rozes, L.; Stamm, M.; Gerard, J.-F.; Sanchez, C. Novel organo-functional titanium-oxo-cluster-based hybrid materials with enhanced thermomechanical and thermal properties. Macromolecules 2005, 38, 6068–6078. [Google Scholar]
- Di Maggio, R.; Dire, S.; Callone, E.; Girardi, F.; Kickelbick, G. Si and Zr based NBBS for hybrid O/I macromolecular materials starting by preformed zirconium oxoclusters. J. Sol-Gel Sci. Technol 2008, 48, 168–171. [Google Scholar]
- Palacio, F.; Oliete, P.; Schubert, U.; Mijatovic, I.; Hüsing, N.; Peterlik, H. Magnetic behaviour of a hybrid polymer obtained from ethyl acrylate and the magnetic cluster Mn12O12(acrylate)16. J. Mater. Chem 2004, 14, 1873–1878. [Google Scholar]
- Willemin, S.; Donnadieu, B.; Lecren, L.; Henner, B.; Clerac, R.; Guerin, C.; Meyer, A.; Pokrovskii, A.V.; Larionova, J. Synthesis and characterization of magnetic organic–inorganic nanocomposites based on the [Mn2O12{CH2C(CH3)COO}16(H2O)4] building block. New J. Chem 2004, 28, 919–928. [Google Scholar]
- Sessoli, R.; Gatteschi, D.; Caneschi, A.; Novak, M.A. Magnetic bistability in a metal-ion cluster. Nature 1993, 365, 141–143. [Google Scholar]
- Caneschi, A.; Gatteschi, D.; Sangregorio, C.; Sessoli, R.; Sorace, L.; Cornia, A.; Novak, M.A.; Paulsen, C.; Wernsdorfer, W. The molecular approach to nanoscale magnetism. J. Magn. Magn. Mater 1999, 200, 182–201. [Google Scholar]
- Mukhin, A.A.; Travkin, V.D.; Zvezdin, A.K.; Caneschi, A.; Gatteschi, D.; Sessoli, R. Electron transitions in magnetic clusters Mn12-Ac at submillimeter wavelengths. Physica B Condens. Matter 2000, 284, 1221–1222. [Google Scholar]
- Cornia, A.; Affronte, M.; Gatteschi, A.; Jansen, A.G.M.; Caneschi, A.; Sessoli, R. High-field torque magnetometry for investigating magnetic anisotropy in Mn-12-acetate nanomagnets. J. Magnet. Magnet. Mater 2001, 226, 2012–2014. [Google Scholar]
- Muñoz-Espí, R.; Mastai, Y.; Gross, S.; Landfester, K. Colloidal systems for crystallization processes from liquid phase. CrystEngComm 2013, 15, 2175–2191. [Google Scholar]
- Landfester, K. Miniemulsion polymerization and the structure of polymer and hybrid nanoparticles. Angew. Chem 2009, 48, 4488–4507. [Google Scholar]
- Pablico-Lansigan, M.H.; Hickling, W.J.; Japp, E.A.; Rodriguez, O.C.; Ghosh, A.; Albanese, C.; Nishida, M.; Van Keuren, E.; Fricke, S.; Dollahon, N.; Stoll, S.L. Magnetic nanobeads as potential contrast agents for magnetic resonance imaging. ACS Nano 2013, 7, 9040–9048. [Google Scholar]
- Pablico, M.H.; Mertzman, J.E.; Japp, E.A.; Boncher, W.L.; Nishida, M.; Van Keuren, E.; Lofland, S.E.; Dollahon, N.; Rubinson, J.F.; Holman, K.T. Miniemulsion synthesis of metal-oxo cluster containing copolymer nanobeads. Langmuir 2011, 27, 12575–12584. [Google Scholar]
- Oliveira, D.C.; Macedo, A.G.; Silva, N.J.O.; Molina, C.; Ferreira, R.A.S.; Andre, P.S.; Dahmouche, K.; De Zea Bermudez, V.; Messaddeq, Y.; Ribeiro, S.J.L.; et al. Photopatternable di-ureasil−zirconium oxocluster organic−inorganic hybrids as cost effective integrated optical substrates. Chem. Mater 2008, 20, 3696–3705. [Google Scholar]
- Sanchez, C.; Lebeau, B.; Chaput, F.; Boilot, J.-P. Optical Properties of Functional Hybrid Organic-Inorganic Nanocomposites; Wiley-VCH Verlag GmbH & Co. KGaA: Weinheim, Germany, 2004; pp. 122–171. [Google Scholar]
- Kuznetsov, A.I.; Kameneva, O.; Bityurin, N.; Rozes, L.; Sanchez, C.; Kanaev, A. Laser-induced photopatterning of organic–inorganic TiO2-based hybrid materials with tunable interfacial electron transfer. Phys. Chem. Chem. Phys 2009, 11, 1248–1257. [Google Scholar]
- Sanchez, C.; Lebeau, B.; Chaput, F.; Boilot, J.-P. Optical properties of functional hybrid organic–inorganic nanocomposites. Adv. Mater 2003, 15, 1969–1994. [Google Scholar]
- Dan-Hardi, M.; Serre, C.; Frot, T.; Rozes, L.; Maurin, G.; Sanchez, C.; Ferey, G. A new photoactive crystalline highly porous titanium(IV) dicarboxylate. J. Am. Chem. Soc 2009, 131, 10857–10859. [Google Scholar]
- Gross, S.; Trimmel, G.; Schubert, U.; di Noto, V. Inorganic–organic hybrid materialsfrom poly (methylmethacrylate) crosslinked by an organically modified oxozirconium cluster. Synthesis and characterization. Polym. Adv. Technol 2002, 13, 254–259. [Google Scholar]
- Gross, S.; Di Noto, V.; Schubert, U. Dielectric investigation of inorganic–organic hybrid film based on zirconium oxocluster-crosslinked PMMA. J. Non-Cryst. Solids 2003, 322, 154–159. [Google Scholar]
- Gross, S.; Zattin, A.; di Noto, V.; Lavina, S. Metal oxoclusters as molecular building blocks for the development of nanostructured inorganic–organic hybrid thin films. Monatsh. Chem 2006, 137, 583–593. [Google Scholar]
- Gross, S.; Camozzo, D.; Di Noto, V.; Armelao, L.; Tondello, E. PMMA: A key macromolecular component for dielectric low-κ hybrid inorganic–organic polymer films. Eur. Polym. J 2007, 43, 673–696. [Google Scholar]
- Girardi, F.; Graziola, F.; Aldighieri, P.; Fedrizzi, L.; Gross, S.; Di Maggio, R. Inorganic–organic hybrid materials with zirconium oxoclusters as protective coatings on aluminium alloys. Prog. Org. Coat 2008, 62, 376–381. [Google Scholar]
- Maggini, S.; Cappelletto, E.; Girardi, F.; Vaona, W.; Di Maggio, R. Cellulose nanocomposites based on silane reinforced 3-butynoate-substituted zirconium-oxocluster copolymers: Mechanical, thermal and hydrophobic properties. Prog. Org. Coat 2013, 76, 173–180. [Google Scholar]
- Faccioli, F.; Sorarù, A.; Pedron, D.; Carraro, M.; Gross, S. Hydrolytic stability and peroxide activation by zirconium-based oxoclusters: A comparative study. in preparation.
- Vigolo, M.; Carraro, M.; Sorarù, A.; Geppi, M.; Borsacchi, S.; Smarsly, B.M.; Gross, S. Oxocluster-based hybrid materials for catalytic applications. in preparation.
- Keggin, J.F. Structure and formula of 12-phosphotungstic acid. Proc. R. Soc. London Ser. A 1934, 144, 75–100. [Google Scholar]
- Jeannin, Y.P. The nomenclature of polyoxometalates: How to connect a name and a structure. Chem. Rev 1998, 98, 51–76. [Google Scholar]
- Canny, J.; Teze, A.; Thouvenot, R.; Herve, G. Disubstituted tungstosilicates. 1. Synthesis, stability, and structure of the lacunary precursor polyanion of a tungstosilicate. gamma.-SiW10O368. Inorg. Chem 1986, 25, 2114–2119. [Google Scholar]
- Bonchio, M.; Carraro, M.; Scorrano, G.; Kortz, U. Microwave–assisted fast cyclohexane oxygenation catalyzed by iron–substituted polyoxotungstates. Adv. Synth. Catal 2005, 347, 1909–1912. [Google Scholar]
- López, X.; Carbó, J.J.; Bo, C.; Poblet, J.M. Structure, properties and reactivity of polyoxometalates: a theoretical perspective. Chem. Soc. Rev 2012, 41, 7537–7571. [Google Scholar]
- Polyoxometalate Symposium; Kortz, U., Ed.; Wiley-VCH: Weinheim, Germany, 2009; Volume 2009.
- Polyoxometalates; Cronin, L., Müller, A., Eds.; Royal Society of Chemistry: London, UK, 2012; Volume 41.
- Hasenknopf, B. Polyoxometalates: Introduction to a class of inorganic compounds and their biomedical applications. Front. Biosci 2005, 10, 275–287. [Google Scholar]
- Weinstock, I.A. Homogeneous-phase electron-transfer reactions of polyoxometalates. Chem. Rev 1998, 98, 113–170. [Google Scholar]
- Polyoxometalates (Cluster Issue); Kortz, U., Liu, T., Eds.; Wiley-VCH: Weinheim, Germany, 2013.
- Polyoxometalates in Catalysis; Hill, C., Elsevier, B.V., Eds.; Elsevier: Amsterdam, The Netherland, 2007; Volume 262.
- Hill, C.L.; Prosser-McCartha, C.M. Homogeneous catalysis by transition metal oxygen anion clusters. Coord. Chem. Rev 1995, 143, 407–455. [Google Scholar]
- Berardi, S.; Carraro, M.; Sartorel, A.; Modugno, G.; Bonchio, M. Hybrid polyoxometalates: merging organic and inorganic domains for enhanced catalysis and energy applications. Isr. J. Chem 2011, 51, 259–274. [Google Scholar]
- Carraro, M.; Sartorel, A.; Scorrano, G.; Carofiglio, T.; Bonchio, M. Catalytic strategies for sustainable oxidations in water. Synthesis 2008, 12, 1971–1978. [Google Scholar]
- Carraro, M.; Sartorel, A.; Ibrahim, M.; Nsouli, N.; Jahier, C.; Nlate, S.; Kortz, U.; Bonchio, M.; Andersson, P.G. Polyoxometalates as Homogeneous Oxidation Catalyst. In Innovative Catalysis in Organic Synthesis Oxidation, Hydrogenation and C-X Bond Forming Reactions; Andersson, P.G., Ed.; Wiley-VCH Verlag GmbH & Co. KGaA: Weinheim, Germany, 2012; p. 356. [Google Scholar]
- Carraro, M.; Sartorel, A.; Toma, F.M.; Puntoriero, F.; Scandola, F.; Campagna, S.; Prato, M.; Bonchio, M. Artificial photosynthesis challenges: Water oxidation at nanostructured interfaces. Top. Curr. Chem 2011, 303, 121–150. [Google Scholar]
- Sartorel, A.; Carraro, M.; Toma, F.M.; Prato, M.; Bonchio, M. Shaping the beating heart of artificial photosynthesis: Oxygenic metal oxide nano-clusters. Energy Environ. Sci 2012, 5, 5592–5603. [Google Scholar]
- Bonchio, M.; Carraro, M.; Gardan, M.; Scorrano, G.; Drioli, E.; Fontananova, E. Hybrid photocatalytic membranes embedding decatungstate for heterogeneous photooxygenation. Top. Catal 2006, 40, 133–140. [Google Scholar]
- Haimov, A.; Neumann, R. An example of lipophiloselectivity: the preferred oxidation, in water, of hydrophobic 2-alkanols catalyzed by a cross-linked polyethyleneimine-polyoxometalate catalyst assembly. J. Am. Chem. Soc 2006, 128, 15697–15700. [Google Scholar]
- Lu, X.; Liu, X.; Wang, L.; Zhang, W.; Wang, C. Fabrication of luminescent hybrid fibres based on the encapsulation of polyoxometalate into polymer matrices. Nanotechnology 2006, 17, 3048–3053. [Google Scholar]
- Bonchio, M.; Carraro, M.; Scorrano, G.; Fontananova, E.; Drioli, E. Heterogeneous photooxidation of alcohols in water by photocatalytic membranes incorporating decatungstate. Adv. Synth. Catal 2003, 345, 1119–1126. [Google Scholar]
- Carraro, M.; Gardan, M.; Scorrano, G.; Drioli, E.; Fontananova, E.; Bonchio, M. Solvent-free, heterogeneous photooxygenation of hydrocarbons by Hyflon® membranes embedding a fluorous-tagged decatungstate. Chem. Commun 2006, 4533–4535. [Google Scholar]
- Sun, H.; Li, H.; Wu, L. Micro-patterned polystyrene surfaces directed by surfactant-encapsulated polyoxometalate complex via breath figures. Polymer 2009, 50, 2113–2122. [Google Scholar]
- Li, H.; Qi, W.; Li, W.; Sun, H.; Bu, W.; Wu, L. A highly transparent and luminescent hybrid based on the copolymerization of surfactant-encapsulated polyoxometalate and methyl methacrylate. Adv. Mater 2005, 17, 2688–2692. [Google Scholar]
- Li, H.; Li, P.; Yang, Y.; Qi, W.; Sun, H.; Wu, L. Incorporation of polyoxometalates into polystyrene latex by supramolecular encapsulation and miniemulsion polymerization. Macromol. Rapid Commun 2008, 29, 431–436. [Google Scholar]
- Toma, F.M.; Sartorel, A.; Iurlo, M.; Carraro, M.; Parisse, P.; Maccato, C.; Rapino, S.; Gonzalez, B.R.; Amenitsch, H.; Da, R.T.; et al. Efficient water oxidation at carbon nanotube-polyoxometalate electrocatalytic interfaces. Nat. Chem 2010, 2, 826–831. [Google Scholar]
- Sartorel, A.; Truccolo, M.; Berardi, S.; Gardan, M.; Carraro, M.; Toma, F.M.; Scorrano, G.; Prato, M.; Bonchio, M. Oxygenic polyoxometalates: A new class of molecular propellers. Chem. Commun 2011, 47, 1716–1718. [Google Scholar]
- Guo, S.S.; Qin, C.; Li, Y.G.; Lu, Y.; Su, Z.M.; Chen, W.L.; Wang, E.B. A long-term stable Pt counter electrode modified by POM-based multilayer film for high conversion efficiency dye-sensitized solar cells. Dalton Trans 2012, 41, 2227–2230. [Google Scholar]
- Zhang, H.Y.; Miao, A.J.; Jiang, M. Fabrication, characterization and electrochemistry of organic–inorganic multilayer films containing polyoxometalate and polyviologen via layer-by-layer self-assembly. Mater. Chem. Phys 2013, 141, 482–487. [Google Scholar]
- Liu, S.; Tang, Z. Polyoxometalate-based functional nanostructured films: Current progress and future prospects. Nano Today 2010, 5, 267–281. [Google Scholar]
- Cheng, L.; Niu, L.; Gong, J.; Dong, S. Electrochemical growth and characterization of polyoxometalate-containing monolayers and multilayers on alkanethiol monolayers self-assembled on gold electrodes. Chem. Mater 1999, 11, 1465–1475. [Google Scholar]
- Gomez-Romero, P.; Lira-Cantu, M. Hybrid organic-inorganic electrodes: The molecular material formed between polypyrrole and the phosphomolybdate anion. Adv. Mater 1997, 9, 144–147. [Google Scholar]
- Fiorani, G.; Saoncella, O.; Kaner, P.; Altinkaya, S.A.; Figoli, A.; Bonchio, M.; Carraro, M. Chitosan-polyoxometalate nanocomposites: Synthesis, characterization and application as antimicrobial agents. J. Cluster Sci 2014, 25, 839–854. [Google Scholar]
- Xu, L.; Zhang, J.S.; Cao, W.X.; Wu, A.G.; Li, Z. Stable multilayer films based on photoinduced interaction between polyoxometalates and diazo resin. Mater. Letters 2004, 58, 3441–3446. [Google Scholar]
- Gouzerh, P.; Proust, A. Main-group element, organic, and organometallic derivatives of polyoxometalates. Chem. Rev 1998, 98, 77–111. [Google Scholar]
- Dolbecq, A.; Dumas, E.; Mayer, C.R.; Mialane, P. Hybrid organic−inorganic polyoxometalate compounds: From structural diversity to applications. Chem. Rev 2010, 110, 6009–6048. [Google Scholar]
- Mayer, C.R.; Fournier, I.; Thouvenot, R. Bis- and tetrakis(organosilyl) decatungstosilicate, [γ-SiW10O36(RSi)2O]4− and [γ-SiW10O36(RSiO)4]4−: Synthesis and structural determination by multinuclear NMR spectroscopy and matrix-assisted laser desorption/ionization time-of-flight mass spectrometry. Chem. Eur. J 2000, 6, 105–110. [Google Scholar]
- Judeinstein, P.; Deprun, C.; Nadjo, L. Synthesis and multispectroscopic characterization of organically modified polyoxometalates. J. Chem. Soc. Dalton Trans 1991, 8, 1991–1997. [Google Scholar]
- Carraro, M.; Fiorani, G.; Mognon, L.; Caneva, F.; Gardan, M.; Maccato, C.; Bonchio, M. Hybrid polyoxotungstates as functional comonomers in new cross-linked catalytic polymers for sustainable oxidation with hydrogen peroxide. Chem. Eur. J 2012, 18, 13195–13202. [Google Scholar]
- Judeinstein, P. Synthesis and properties of polyoxometalates based inorganic-organic polymers. Chem. Mater 1992, 4, 4–7. [Google Scholar]
- Horan, J.L.; Genupur, A.; Ren, H.; Sikora, B.J.; Kuo, M.-C.; Meng, F.; Dec, S.F.; Haugen, G.M.; Yandrasits, M.A.; Hamrock, S.J.; et al. Copolymerization of divinylsilyl-11-silicotungstic acid with butyl acrylate and hexanediol diacrylate: Synthesis of a highly proton-conductive membrane for fuel-cell applications. ChemSusChem 2009, 2, 226–229. [Google Scholar]
- Mayer, C.R.; Thouvenot, R.; Lalot, T. New hybrid covalent networks based on polyoxometalates: Part 1. Hybrid networks based on poly(ethyl methacrylate) chains covalently cross-linked by heteropolyanions: Synthesis and swelling properties. Chem. Mater 2000, 12, 257–260. [Google Scholar]
- Mayer, C.R.; Thouvenot, R.; Lalot, T. Hybrid hydrogels obtained by the copolymerization of acrylamide with aggregates of methacryloyl derivatives of polyoxotungstates. A comparison with polyacrylamide hydrogels with trapped aggregates. Macromolecules 2000, 33, 4433–4437. [Google Scholar]
- Mayer, C.R.; Cabuil, V.; Lalot, T.; Thouvenot, R. New efficient multicomponent reactions with C−C coupling for combinatorial application in liquid and on solid phase. Angew. Chem. Int. Ed 1999, 38, 3672–3675. [Google Scholar]
- Hasegawa, T.; Murakami, H.; Shimizu, K.; Kasahara, Y.; Yoshida, S.; Kurashina, T.; Seki, H.; Nomiya, K. Formation of inorganic protonic-acid polymer via inorganic–organic hybridization: Synthesis and characterization of polymerizable olefinic organosilyl derivatives of mono-lacunary Dawson polyoxometalate. Inorg. Chim. Acta 2008, 361, 1385–1394. [Google Scholar]
- Kato, C.N.; Kasahara, Y.; Hayashi, K.; Yamaguchi, A.; Hasegawa, T.; Nomiya, K. Syntheses, characterization, and X-ray crystal structures of mono-lacunary dawson polyoxometalate-based organosilyl complexes. Eur. J. Inorg. Chem 2006, 4834–4842. [Google Scholar]
- Mayer, C.R.; Neveu, S.; Cabuil, V. A nanoscale hybrid system based on gold nanoparticles and heteropolyanions. Angew. Chem. Int. Ed 2002, 41, 501–503. [Google Scholar]
- Mayer, C.R.; Roch-Marchal, C.; Lavanant, H.; Thouvenot, R.; Sellier, N.; Blais, J.-C.; Secheresse, F. New organosilyl derivatives of the Dawson polyoxometalate [α2-P2W17O61(RSi)2O]6−: Synthesis and mass spectrometric investigatio. Chem. Eur. J 2004, 10, 5517–5523. [Google Scholar]
- Cannizzo, C.; Mayer, C.R.; Secheresse, F.; Larpent, C. Covalent hybrid materials based on nanolatex particles and dawson polyoxometalates. Adv. Mater 2005, 17, 2888–2892. [Google Scholar]
- Xiao, Y.C.D.; Ma, N.; Hou, Z.; Hu, M.; Wang, C; Wang, W. Covalent immobilization of a polyoxometalate in a porous polymer matrix: A heterogeneous catalyst towards sustainability. RSC Adv 2013, 3, 21544–21551. [Google Scholar]
- Peng, Z. Rational synthesis of covalently bonded organic–inorganic hybrids. Angew. Chem. Int. Ed 2004, 43, 930–935. [Google Scholar]
- Moore, A.R.; Kwen, H.; Beatty, A.M.; Maatta, E.A. Organoimido-polyoxometalates as polymer pendants. Chem. Commun 2000, 1793–1794. [Google Scholar]
- Xu, L.; Lu, M.; Xu, B.; Wei, Y.; Peng, Z.; Powell, D.R. Towards main-chain-polyoxometalate-containing hybrid polymers: A highly efficient approach to bifunctionalized organoimido derivatives of hexamolybdates. Angew. Chem. Int. Ed 2002, 41, 4129–4132. [Google Scholar]
- Lu, M.; Xie, B.; Kang, J.; Chen, F.-C.; Yang, Y.; Peng, Z. Synthesis of main-chain polyoxometalate-containing hybrid polymers and their applications in photovoltaic cells. Chem. Mater 2005, 17, 402–408. [Google Scholar]
- Xu, B.; Lu, M.; Kang, J.; Wang, D.; Brown, J.; Peng, Z. Synthesis and optical properties of conjugated polymers containing polyoxometalate clusters as side-chain pendants. Chem. Mater 2005, 17, 2841–2851. [Google Scholar]
- Chakraborty, S.; Keightley, A.; Dusevich, V.; Wang, Y.; Peng, Z. Synthesis and optical properties of a rod-coil diblock copolymer with polyoxometalate clusters covalently attached to the coil block. Chem. Mater 2010, 22, 3995–4006. [Google Scholar]
- Schaming, D.; Allain, C.; Farha, R.; Goldmann, M.; Lobstein, S.; Giraudeau, A.; Hasenknopf, B.; Ruhlmann, L. Synthesis and photocatalytic properties of mixed polyoxometalate-porphyrin copolymers obtained from anderson-type polyoxomolybdates. Langmuir 2010, 26, 5101–5109. [Google Scholar]




© 2014 by the authors; licensee MDPI, Basel, Switzerland This article is an open access article distributed under the terms and conditions of the Creative Commons Attribution license (http://creativecommons.org/licenses/by/3.0/).
Share and Cite
Carraro, M.; Gross, S. Hybrid Materials Based on the Embedding of Organically Modified Transition Metal Oxoclusters or Polyoxometalates into Polymers for Functional Applications: A Review. Materials 2014, 7, 3956-3989. https://doi.org/10.3390/ma7053956
Carraro M, Gross S. Hybrid Materials Based on the Embedding of Organically Modified Transition Metal Oxoclusters or Polyoxometalates into Polymers for Functional Applications: A Review. Materials. 2014; 7(5):3956-3989. https://doi.org/10.3390/ma7053956
Chicago/Turabian StyleCarraro, Mauro, and Silvia Gross. 2014. "Hybrid Materials Based on the Embedding of Organically Modified Transition Metal Oxoclusters or Polyoxometalates into Polymers for Functional Applications: A Review" Materials 7, no. 5: 3956-3989. https://doi.org/10.3390/ma7053956
APA StyleCarraro, M., & Gross, S. (2014). Hybrid Materials Based on the Embedding of Organically Modified Transition Metal Oxoclusters or Polyoxometalates into Polymers for Functional Applications: A Review. Materials, 7(5), 3956-3989. https://doi.org/10.3390/ma7053956
