Solid-State Synthesis of Polyaniline/Single-Walled Carbon Nanotubes: A Comparative Study with Polyaniline/Multi-Walled Carbon Nanotubes
Abstract
:1. Introduction
2. Results and Discussion
2.1. FTIR Spectra

2.2. UV-Vis Absorption Spectra

2.3. X-Ray Diffraction Patterns

2.4. Morphology



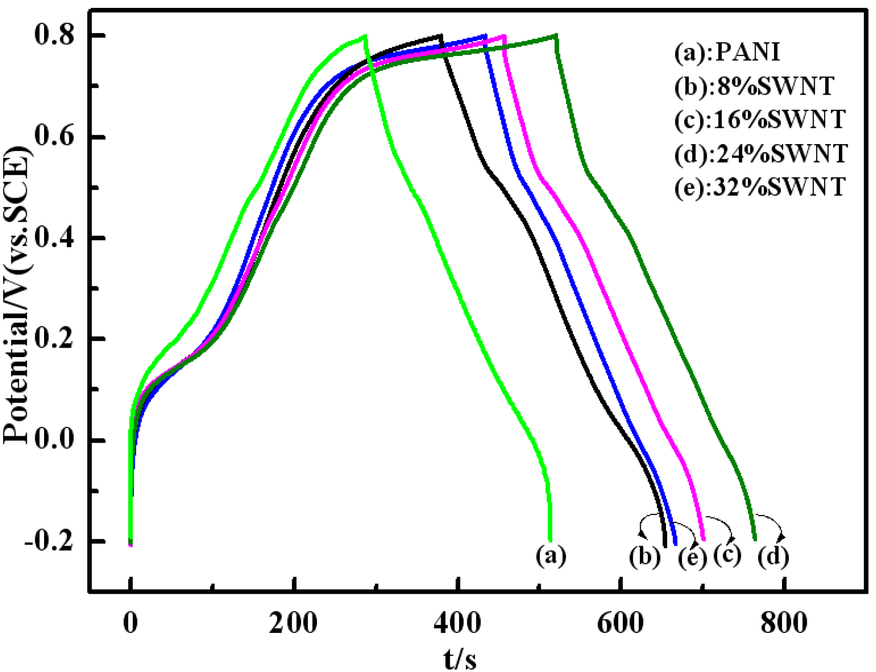
2.5. Galvanostatic Charge-Discharge Curves





3. Experimental Section
3.1. Materials
3.2. Preparation of PANI/SWNTs Composites
3.3. Structure Characterization
3.4. Electrochemical Tests
4. Conclusions
Acknowledgments
References
- Conway, B.E.; Birss, V.; Wojtowicz, J. The role and utilization of pseudocapacitance for energy storage by supercapacitors. J. Power Sources 1997, 66, 1–14. [Google Scholar] [CrossRef]
- Yang, G.-W.; Xu, C.-L.; Li, H.-L. Electrodeposited nickel hydroxide on nickel foam with ultrahigh capacitance. Chem. Commun. 2008, 48, 6537–6539. [Google Scholar] [CrossRef]
- Hu, C.-C.; Chang, K.-H.; Lin, M.-C.; Wu, Y.-T. Design and tailoring of the nanotubular arrayed architecture of hydrous RuO2 for next generation supercapacitors. Nano Lett. 2006, 6, 2690–2695. [Google Scholar] [CrossRef] [PubMed]
- Elzbieta, F. Carbon materials for supercapacitor application. Phys. Chem. Chem. Phys. 2007, 9, 1774–1785. [Google Scholar] [CrossRef] [PubMed]
- Chen, G.Z.; Shaffer, M.S.P.; Coleby, D.; Dixon, G.; Zhou, W.; Fray, D.J.; Windle, A.H. Carbon nanotube and polypyrrole composites: Coating and doping. Adv. Mater. 2000, 12, 522–526. [Google Scholar] [CrossRef]
- Cochet, M.; Maser, W.K.; Benito, A.M.; Callejas, M.A.; Martínez, M.T.; Benoit, J.M.; Schreiber, J.; Chauvet, O. Synthesis of a new polyaniline/nanotube composite: “In-situ” polymerisation and charge transfer through site-selective interaction. Chem. Commun. 2001, 16, 1450–1451. [Google Scholar] [CrossRef]
- Baibarac, M.; Baltog, I.; Goden, C.; Lefrant, S.; Mevellec, J.Y.; Chauvet, O. Covalent functionalization of single-walled carbon nanotubes by aniline electrochemical polymerization. Carbon 2004, 42, 3143–3152. [Google Scholar] [CrossRef]
- Liu, J.-L.; Sun, J.; Gao, L. A promising way to enhance the electrochemical behavior of flexible single-walled carbon nanotube/polyaniline composite films. J. Phys. Chem. C 2010, 114, 19614–19620. [Google Scholar] [CrossRef]
- Aminam, U.; Ruxangul, J.; Tian, Y.-C.; Tunsagul, A.; Ismayil, N.; Tursun, A. Solid-state synthesis and characterization of polyaniline/multi-walled carbon nanotubes composite. Synth. Met. 2011, 161, 2097–2102. [Google Scholar] [CrossRef]
- Zhou, C.-F.; Du, X.-S.; Liu, Z.; Ringer, S.P.; Mai, Y.-W. Solid phase mechanochemical synthesis of polyaniline branched nanofibers. Synth. Met. 2009, 159, 1302–1307. [Google Scholar] [CrossRef]
- Posudievsky, O.Y.; Goncharuk, O.A.; Barillé, R.; Pokhodenko, V.D. Structure–property relationship in mechanochemically prepared polyaniline. Synth. Met. 2010, 160, 462–467. [Google Scholar] [CrossRef]
- Tursun, A.; Zhang, X.-G.; Ruxangul, J. Comparative studies of solid-state synthesized polyaniline doped with inorganic acids. Mater. Chem. Phys. 2005, 90, 367–372. [Google Scholar] [CrossRef]
- Chuang, F.; Yang, S. Titanium oxide and polyaniline core-shell nanocomposites. Synth. Met. 2005, 152, 361–364. [Google Scholar] [CrossRef]
- Nagaraja, M.; Pattar, J.; Shashank, N.; Manjanna, J.; Kamadc, Y.; Rajanna, K.; Mahesh, H.M. Electrical, structural and magnetic properties of polyaniline/pTSA-TiO2 nanocomposites. Synth. Met. 2009, 159, 718–722. [Google Scholar] [CrossRef]
- Yu, Y.-J.; Che, B.; Si, Z.-H.; Li, L.; Chen, W.; Xue, G. Carbon nanotube/polyaniline core-shell nanowires prepared by in situ inverse microemulsion. Synth. Met. 2005, 150, 271–277. [Google Scholar] [CrossRef]
- Huang, J.; Moore, J.A.; Acquaye, J.H.; Kaner, R.B. Mechanochemical route to the conducting polymer polyaniline. Macromolecules 2005, 38, 317–321. [Google Scholar] [CrossRef]
- Li, Q.-L.; Zhang, C.-R.; Li, J.-Q. Photocatalysis and wave-absorbing properties of polyaniline/TiO2 microbelts composite by in situ polymerization method. Appl. Surf. Sci. 2010, 257, 944–948. [Google Scholar] [CrossRef]
- MacDiarmid, A.G.; Epstein, A.J. The concept of secondary doping as applied to polyaniline. Synth. Met. 1994, 65, 103–116. [Google Scholar] [CrossRef]
- Wu, T.-M.; Lin, Y.-W. Doped polyaniline/multi-walled carbon nanotube composites: Preparation, characterization and properties. Polymer 2006, 47, 3576–3582. [Google Scholar] [CrossRef]
- Zhou, O.; Fleming, R.M.; Murphy, D.W.; Chen, C.H.; Haddon, R.C.; Ramirez, A.P.; Glarum, S.H. Defects in carbon nanostructures. Science 1994, 263, 1744–1747. [Google Scholar] [CrossRef] [PubMed]
- Reddy, K.R.; Sin, B.C.; Ryu, K.S.; Noh, J.; Lee, Y. In situ self-organization of carbon black–polyaniline composites from nanospheres to nanorods: Synthesis, morphology, structure and electrical conductivity. Synth. Met. 2009, 159, 1934–1939. [Google Scholar] [CrossRef]
- Meng, Y.-Y.; Zhu, Z.; Zhou, S.-J.; Xie, S.-Y.; Huang, R.-B.; Zheng, L.-S. Composites of oxidized boron carbonitride nanotubes with polyaniline: Preparation and conductivity studies. J. Phys. Chem. C 2010, 114, 13421–13426. [Google Scholar] [CrossRef]
- Mi, H.-Y.; Zhang, X.-G.; An, S.-Y.; Ye, X.-G.; Yang, S.-D. Microwave-assisted synthesis and electrochemical capacitance of polyaniline/multi-wall carbon nanotubes composite. Electrochem. Commun. 2007, 9, 2859–2862. [Google Scholar] [CrossRef]
- Wu, G.; Li, L.; Li, J.-H.; Xu, B.-Q. Methanol electrooxidation on Pt particles dispersed into PANI/SWNT composite films. J. Power Sources 2006, 155, 118–127. [Google Scholar] [CrossRef]
- Bose, S.; Kuila, T.; Mishra, A.K.; Rajasekar, R.; Kim, N.H.; Lee, J.H. Carbon-based nanostructured materials and their composites as supercapacitor electrodes. J. Mater. Chem. 2012, 22, 767–784. [Google Scholar] [CrossRef]
- Dou, Y.Q.; Zhai, Y.P.; Liu, H.J.; Xia, Y.Y.; Tu, B.; Zhao, D.Y.; Liu, X.X. Syntheses of polyaniline/ordered mesoporous carbon composites with interpenetrating framework and their electrochemical capacitive performance in alkaline solution. J. Power Sources 2011, 196, 1608–1614. [Google Scholar] [CrossRef]
- Thess, A.; Lee, R.; Nikolaev, P.; Dai, H.J.; Petit, P.; Robert, J. Crystalline ropes of metallic carbon nanotubes. Science 1996, 273, 483–487. [Google Scholar] [CrossRef] [PubMed]
- Ebbesen, T.W.; Lezec, H.J.; Hiura, H.; Bennett, J.W.; Ghaemi, H.F.; Thio, T. Electrical conductivity of individual carbon nanotubes. Nature 1996, 382, 54–56. [Google Scholar] [CrossRef]
- Dai, H.J.; Wong, E.W.; Lieber, C.M. Probing electrical transport in nanomaterials: Conductivity of individual carbon nanotubes. Science 1996, 272, 523–526. [Google Scholar] [CrossRef]
- Gupta, V.; Miura, N. Polyaniline/single-wall carbon nanotube (PANI/SWCNT) composites for high performance supercapacitors. Electrochim. Acta 2006, 52, 1721–1726. [Google Scholar] [CrossRef]
- Mi, H.Y.; Zhang, X.G.; An, S.Y.; Ye, X.G.; Yang, S.D. Microwave-assisted synthesis and electro-chemical capacitance of polyaniline/multi-wall carbon nanotubes composite. Electrochem. Commun. 2007, 9, 2859–2862. [Google Scholar] [CrossRef]
© 2012 by the authors; licensee MDPI, Basel, Switzerland. This article is an open access article distributed under the terms and conditions of the Creative Commons Attribution license (http://creativecommons.org/licenses/by/3.0/).
Share and Cite
Abdiryim, T.; Ubul, A.; Jamal, R.; Rahman, A. Solid-State Synthesis of Polyaniline/Single-Walled Carbon Nanotubes: A Comparative Study with Polyaniline/Multi-Walled Carbon Nanotubes. Materials 2012, 5, 1219-1231. https://doi.org/10.3390/ma5071219
Abdiryim T, Ubul A, Jamal R, Rahman A. Solid-State Synthesis of Polyaniline/Single-Walled Carbon Nanotubes: A Comparative Study with Polyaniline/Multi-Walled Carbon Nanotubes. Materials. 2012; 5(7):1219-1231. https://doi.org/10.3390/ma5071219
Chicago/Turabian StyleAbdiryim, Tursun, Aminam Ubul, Ruxangul Jamal, and Adalet Rahman. 2012. "Solid-State Synthesis of Polyaniline/Single-Walled Carbon Nanotubes: A Comparative Study with Polyaniline/Multi-Walled Carbon Nanotubes" Materials 5, no. 7: 1219-1231. https://doi.org/10.3390/ma5071219
APA StyleAbdiryim, T., Ubul, A., Jamal, R., & Rahman, A. (2012). Solid-State Synthesis of Polyaniline/Single-Walled Carbon Nanotubes: A Comparative Study with Polyaniline/Multi-Walled Carbon Nanotubes. Materials, 5(7), 1219-1231. https://doi.org/10.3390/ma5071219
