Composites from Recycled Polyolefin and Waste Plant Biomass with Potential Uses in Electrical Insulation Applications
Abstract
1. Introduction
2. Materials and Methods
2.1. Materials Used
- (1)
- Matrix: recycled low and high density polyethylene (LDPEr and HDPEr) and polypropylene (PPr) sourced from electronic waste (All Green SRL, Iasi, Romania), using the technological method of processing detailed in [28,29]. The XRF analysis and properties of recycled polyolefins from electronic waste are presented in [30].
- (2)
- Poplar seeds with fibers (PS) present a fibrous framework around the small seed, are hydrophobic and oleophilic, and contain 62.07% cellulose, 17.04% lignin, and 2.5% ash. They were collected in June (Technical University Iasi, Romania), utilizing leaf blowers, and had a high level of purity, but were manually inspected and ultimately cleaned from debris; their properties resemble those outlined in [31]. They showed a maximum humidity of 25%.
- (3)
- Mixed vegetable peels—zucchini, cucumber and aubergine (VP)—were collected in a dedicated container associated with a large canteen kitchen to prevent mixing with other organic waste (Technical University Iasi, Romania). They presented a maximum humidity of 75%.
- (4)
- Maleic anhydride grafted polyethylene/polypropylene (PEAM/PPAM) (Nanjing Feiteng Chemical Co. Ltd., Nanjing, China) were used as coupling agents for particle surface functionalization [32], 3.5% (wt%) in all samples.
- (5)
- Licocene™ PE MA 4351 fine grain (Clariant AG, Muttenz, Switzerland) was added as compatibilizer and dispersing agent, 1.5% (wt%) in all samples.
2.2. Technological Methodology
2.3. Samples Description
2.4. Characterization Methods
- (i)
- Field emission and focused ion beam scanning electron microscopy (SEM) were conducted using a Quanta FEG 250 (Thermo Fisher Scientific Inc., Waltham, MA, USA). The method of analysis employed water vapor to safeguard the samples from harm, and the occurrence of SEM charging was greatly diminished because of the low vacuum in the specimen chamber.
- (ii)
- The hydrostatic density was evaluated using an XS204 Analytical Balance (Mettler-Toledo, Columbus, OH, USA). The tests were performed at a temperature of 21 °C, and the density was calculated as the average of three successive repeated measurements.
- (iii)
- Shore hardness measurements were obtained using a commercial Shore “D” digital durometer, calculated as the average of five readings, in accordance with [33].
- (iv)
- The apparatus used to assess the mechanical properties was a specialized computer-operated PULL-2000KG Universal Tensile Testing Machine (Lisun Group, Qiantong, Zhejiang, China), which has a minimum nominal force of 20 kN, enabling the evaluation of tensile strength and elongation in accordance with [33].
- (v)
- (vi)
- The dielectric characteristics were assessed using a Broadband Dielectric Spectrometer (Novocontrol GMBH, Montabaur, Germany) that featured an Alpha frequency response analyzer and a Quattro temperature controller, and equipped with specialized measurement cells that can operate up to 40 GHz.
3. Results and Discussion
3.1. Structural Analysis—SEM
3.2. Mechanical Properties
3.3. Physical-Thermal Properties
3.4. Liquid Absorption Features
3.5. Dielectric Characteristics
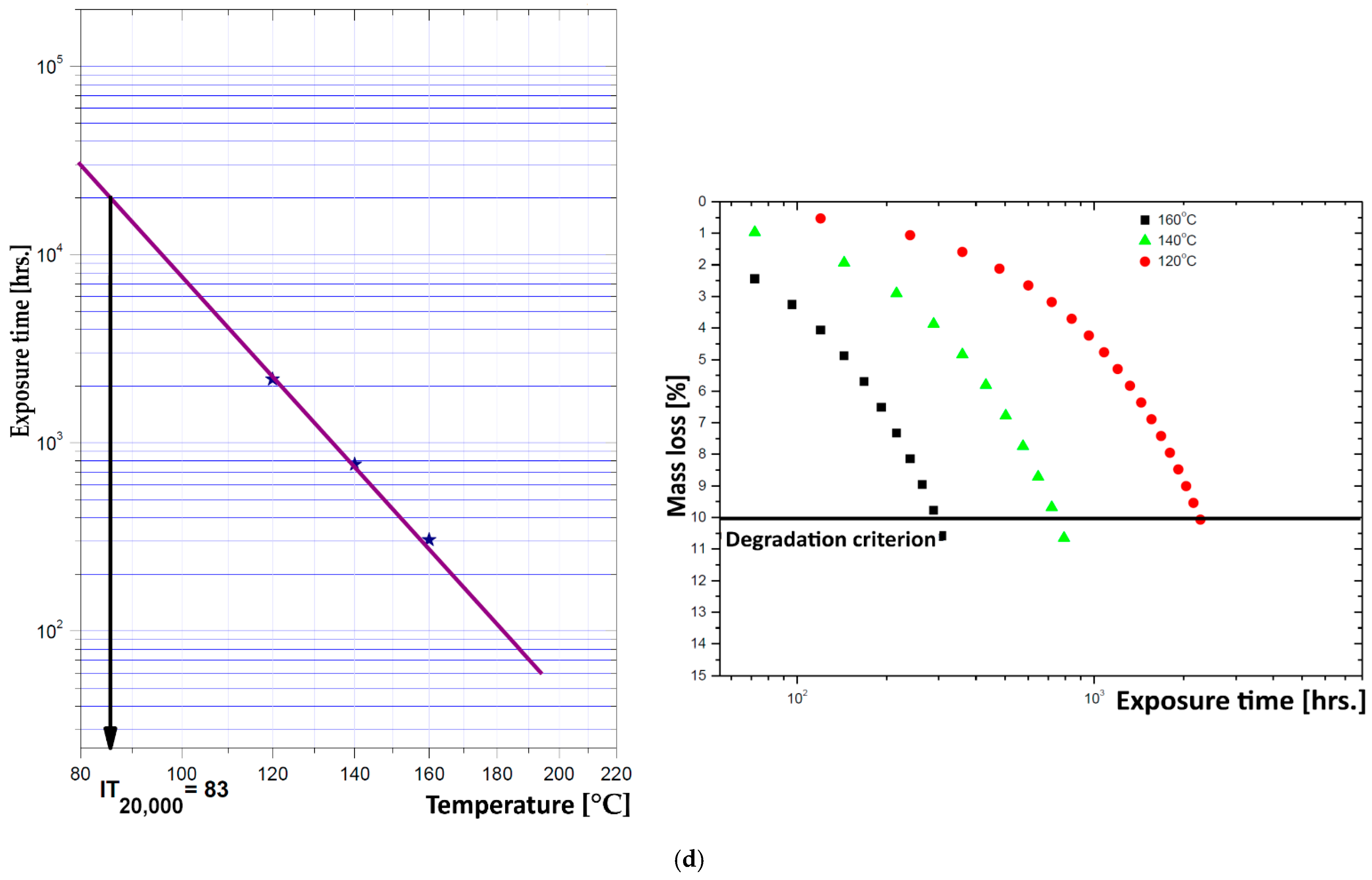
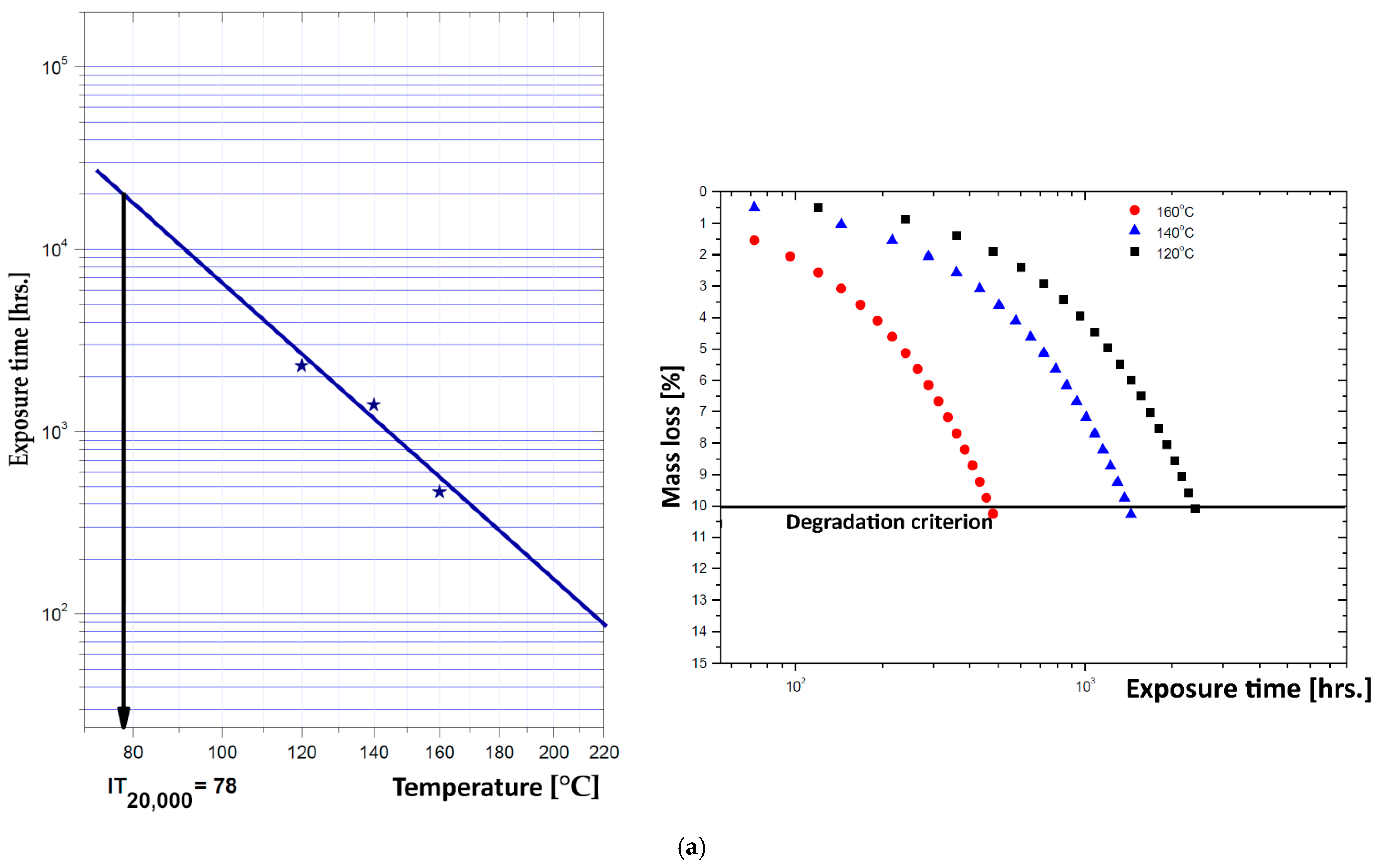
3.6. Thermal Stability and Insulation Class Evaluation
3.7. Aspects Concerning Flammability and Fire Resistance
4. Conclusions
Author Contributions
Funding
Institutional Review Board Statement
Data Availability Statement
Conflicts of Interest
References
- Lodato, C.; Hamelin, L.; Tonini, D.; Astrup, T. Towards sustainable methane supply from local bioresources: Anaerobic digestion, gasification, and gas upgrading. Appl. Energy 2022, 323, 119568. [Google Scholar] [CrossRef]
- Ali, F.; Dawood, A.; Hussain, A.; Alnasir, M.H.; Khan, M.A.; Butt, T.M.; Janjua, N.K.; Hamid, A. Fueling the future: Biomass applications for green and sustainable energy. Discov. Sustain. 2024, 5, 156. [Google Scholar] [CrossRef]
- Glushkov, D.; Nyashina, G.; Shvets, A.; Pereira, A.; Ramanathan, A. Current Status of the Pyrolysis and Gasification Mechanism of Biomass. Energies 2021, 14, 7541. [Google Scholar] [CrossRef]
- Radosits, K.; Ajanovic, A.; Harasek, M. The relevance of biomass-based gases as energy carriers: A review. WIREs Energy Environ. 2024, 13, e527. [Google Scholar] [CrossRef]
- Jõgi, K.; Bhat, R. Valorization of food processing wastes and by-products for bioplastic production. Sustain. Chem. Pharm. 2020, 18, 100326. [Google Scholar] [CrossRef]
- Visco, A.; Scolaro, C.; Facchin, M.; Brahimi, S.; Belhamdi, H.; Gatto, V.; Beghetto, V. Agri-Food Wastes for Bioplastics: European Prospective on Possible Applications in Their Second Life for a Circular Economy. Polymers 2022, 14, 2752. [Google Scholar] [CrossRef]
- Cervilla-Maldonado, A.; Valverde-Palacios, I.; Fuentes-García, R.; Martín-Villegas, F. Earth composites as construction material reinforced with intensive agricultural fibres: Tomato, pepper, zucchini, cucumber, aubergine and polypropylene fibres. Constr. Build. Mater. 2025, 470, 140538. [Google Scholar] [CrossRef]
- Gairola, S.; Sinha, S.; Singh, S. Novel millet husk crop-residue based thermoplastic composites: Waste to value creation. Ind. Crops Prod. 2022, 182, 114891. [Google Scholar] [CrossRef]
- Barboza, L.S.; de Moraes Paes, P.A.; Alves, M.E.A.; da Conceição, M.d.N.; de Sena, N.C.M.; da Silveira, P.H.P.M.; Ribeiro, R.C.d.C.; Om Tapanes, N.d.l.C.; Bastos, D.C. Sustainable Thermoplastic Starch Biocomposites from Coffee Husk and Mineral Residues: Waste Upcycling and Mechanical Performance. Sustainability 2025, 17, 9248. [Google Scholar] [CrossRef]
- Jaramillo, L.Y.; Vásquez-Rendón, M.; Upegui, S.; Ríos, L.A.; Robledo, S. Polyethylene-coffee husk eco-composites for production of value-added consumer products. Sustain. Environ. Res. 2021, 31, 34. [Google Scholar] [CrossRef]
- Gozdecki, C.; Kociszewski, M.; Moraczewski, K.; Karasiewicz, T.; Łazarska, M.; Stepczyńska, M. Green Composite Based on a Polymer Mixture Containing Biopolymer and Waste Coffee Husks. Polymers 2025, 17, 1748. [Google Scholar] [CrossRef] [PubMed]
- Mollah, M.Z.I.; Miah, M.S.; Akram, M.W.; Mahmud, S.H.; Faruque, M.R.I.; Al-mugren, K.S. Thermoplastic-polymer matrix composite of banana/betel nut husk fiber reinforcement: Physico-mechanical properties evaluation. e-Polymers 2024, 24, 20230158. [Google Scholar] [CrossRef]
- Chun, K.; Husseinsyah, S.; Yeng, C. Green composites from kapok husk and recycled polypropylene: Processing torque, tensile, thermal, and morphological properties. J. Thermoplast. Compos. Mater. 2015, 29, 11. [Google Scholar] [CrossRef]
- Mousa, A.; Heinrich, G.; Wagenknecht, U. Thermoplastic Composites Based on Renewable Natural Resources: Unplasticized PVC/Olive Husk. Int. J. Polym. Mater. Polym. Biomater. 2010, 59, 843–853. [Google Scholar] [CrossRef]
- Siracusa, G.; La Rosa, A.D.; Siracusa, V.; Trovato, A. Eco-Compatible Use of Olive Husk as Filler in Thermoplastic Composites. J. Polym. Environ. 2001, 9, 157–161. [Google Scholar] [CrossRef]
- Chun, K.; Fahamy, N.M.Y.; Yeng, C.Y.; Choo, H.; Pangming, M.; Tshai, K. Wood plastic composites made from corn husk fiber and recycled polystyrene foam. J. Eng. Sci. Technol. 2018, 13, 3445–3456. [Google Scholar]
- Poudel, R.; Karak, N. Sustainable green composite of yam and agricultural waste corn stalk fiber with good mechanical, thermal, optical, aging performance and excellent biodegradability. Compos. Sci. Technol. 2023, 244, 110276. [Google Scholar] [CrossRef]
- Chen, R.; Ahmad, S. Characterization of Rice Husk Biofibre-Reinforced Recycled Thermoplastic Blend Biocomposite. In Composites from Renewable and Sustainable Materials; Poletto, M., Ed.; InTech: Frankfurt am Main, Germany, 2016. [Google Scholar] [CrossRef]
- Laftah, W.; Abdul, A. Rice waste–based polymer composites for packaging applications: A review. Polym. Polym. Compos. 2021, 29, S1621–S1629. [Google Scholar] [CrossRef]
- Tammali, P.K.; Schuster, J.; Shaik, Y.P. Development of Eco-Friendly Composite Material for Pinewood Replacement Using Agricultural Waste. Open Access Libr. J. 2024, 11, e12619. [Google Scholar] [CrossRef]
- Method for Preparing Composite Materials Containing Natural Binders, WO2002059212A1. 2002. Available online: https://patents.google.com/patent/WO2002059212A1/en (accessed on 12 January 2026).
- Moutinho, L.; Soares, E.; Oliveira, M. Bio-based thermoplastic composites reinforced with natural fillers for sustainable packaging: A comprehensive review. Polym. Compos. 2025, 46, 9703–9727. [Google Scholar] [CrossRef]
- Cerovic, D.D.; Petronijevic, I.M.; Marinkovic, F.S.; Maletic, S.B.; Popovic, D.M. Dielectric Properties of Isotactic Polypropylene with Lignocellulose-Based Biomass Filler. Materials 2025, 18, 1657. [Google Scholar] [CrossRef] [PubMed]
- Caramitu, A.R.; Ciobanu, R.C.; Ion, I.; Marin, M.; Lungulescu, E.-M.; Marinescu, V.; Aflori, M.; Bors, A.M. Composites from Recycled Polypropylene and Carboxymethylcellulose with Potential Uses in the Interior Design of Vehicles. Polymers 2024, 16, 2188. [Google Scholar] [CrossRef] [PubMed]
- Available online: https://www.mordorintelligence.com/industry-reports/wood-plastic-composites-wpc-market (accessed on 28 January 2026).
- Khouaja, A.; Koubaa, A.; Daly, H. Study of the dielectric and chemical properties of cellulose bio-based composites. Ind. Crops Prod. 2024, 214, 118493. [Google Scholar] [CrossRef]
- Kumar, V.; Suruchi, K.; Franca, G. Study of dielectric behavior of high density polystyrene with agro waste composites. Clin. Investig. 2023, 13, 396–401. [Google Scholar]
- Caramitu, A.R.; Lungu, M.V.; Ciobanu, R.C.; Ion, I.; Marin, M.; Marinescu, V.; Pintea, J.; Aradoaei, S.; Schreiner, O.D. Recycled polypropylene/strontium ferrite polymer composite materials with electromagnetic shielding properties. Polymers 2024, 16, 1129. [Google Scholar] [CrossRef]
- La Rosa, A.D.; Grammatikos, S.A.; Ursan, G.A.; Aradoaei, S.; Summerscales, J.; Ciobanu, R.C.; Schreiner, C. Recovery of Electronic Wastes as Fillers for Electromagnetic Shielding in Building Components: An LCA Study. J. Clean. Prod. 2021, 280, 124593. [Google Scholar] [CrossRef]
- Aradoaei, M.; Caramitu, A.R.; Lungu, M.V.; Ursan, A.G.; Ciobanu, R.C.; Aflori, M.; Parfeni, A. Thermoplastic Recycling of WEEE Carcasses with the Incorporation of Talc, Fly Ash, and Elastomers for Composites with Electromagnetic Interference Shielding Characteristics for Electric Car Components. Polymers 2025, 17, 2394. [Google Scholar] [CrossRef]
- Liu, Y.; Lyu, L.; Guo, J.; Wang, Y. Sound Absorption Performance of the Poplar Seed Fiber/PCL Composite Materials. Materials 2020, 13, 1465. [Google Scholar] [CrossRef]
- Drobota, M.; Ursache, S.; Aflori, M. Surface Functionalities of Polymers for Biomaterial Applications. Polymers 2022, 14, 2307. [Google Scholar] [CrossRef]
- ISO 1183-1:2025; Plastics—Methods for Determining the Density of Non-Cellular Plastics. ISO: Geneva, Switzerland, 2025.
- ISO 527:2019; Plastics—Determination of Tensile Properties. ISO: Geneva, Switzerland, 2019.
- ISO 179:1993; Plastics—Charpy Impact Properties of Plastics. ISO: Geneva, Switzerland, 1993.
- ISO 306:2023; Plastics—Vicat softening Temperature (VST) of Thermoplastic Materials. ISO: Geneva, Switzerland, 2023.
- ISO 2577:2007; Plastics—Thermosetting Moulding Materials—Determination of Shrinkage. ISO: Geneva, Switzerland, 2007.
- ISO 1133:2012; Plastics—Determination of the Melt Mass-Flow Rate. ISO: Geneva, Switzerland, 2012.
- ISO 62:2008; Plastics—Determination of Water Absorption. ISO: Geneva, Switzerland, 2008.
- IEC 60641:2008; Pressboard and Presspaper for Electrical Purposes. IEC: Geneva, Switzerland, 2008.
- IEC 60243-1:2013; Electric Strength of Insulating Materials. IEC: Geneva, Switzerland, 2013.
- Hollertz, R. Cellulose-Based Electrical Insulation Materials—Dielectric and Mechanical Properties. Doctoral Thesis, KTH Royal Institute of Technology, Stockholm, Sweden, 2017. Available online: https://www.diva-portal.org/smash/get/diva2:1089609/FULLTEXT01.pdf (accessed on 12 January 2026).
- Ciobanu, R.C.; Aradoaei, M.; Ursan, G.A.; Caramitu, A.R.; Marinescu, V.; Eva, R.L. Reversible Joining Technology for Polyolefins Using Electromagnetic Energy and Homologous Hot-Melt Adhesives Containing Metallic and Ferrite Additives. Polymers 2026, 18, 228. [Google Scholar] [CrossRef]
- IEC 61558-2-16:2021; Safety of Transformers, Reactors, Power Supply Units and Combinations Thereof—Part 2–16: Particular Requirements and Tests for Switch Mode Power Supply Units and Transformers for Switch Mode Power Supply Units for General Applications. IEC: Geneva, Switzerland, 2021. Available online: https://cdn.standards.iteh.ai/samples/103385/b2d969afc7224db6847d4bb373023d80/IEC-61558-2-16-2021.pdf (accessed on 12 January 2026).
- IEC 60034-1:2022; Rotating Electrical Machines—Part 1: Rating and Performance. IEC: Geneva, Switzerland, 2022. Available online: https://cdn.standards.iteh.ai/samples/103428/616faa0eff3b4c7c8ccf217b2f80fb6f/IEC-60034-1-2022.pdf (accessed on 12 January 2026).
- NFPA 850:2026; Standard for Fire Protection for Electric Generating Plants and High-Voltage Direct Current (HVDC) Converter Stations. NFPA: Quincy, MA, USA, 2026. Available online: https://www.nfpa.org/codes-and-standards/nfpa-850-standard-development/850 (accessed on 12 January 2026).
- UL 94 Standards:2023; Safety of Flammability of Plastic Materials for Parts in Devices and Appliances Testing. UL: Northbrook, IL, USA, 2023. Available online: https://mdcpp.com/doc/standard/UL94-1998.pdf (accessed on 12 January 2026).
- ISO 4589-2:2017; Plastics—Determination of Burning Behavior by Oxygen Index, Part 2: Ambient-Temperature Test. ISO: Geneva, Switzerland, 2017. Available online: https://www.iso.org/standard/60786.html (accessed on 12 January 2026).
- ASTM E1461-07; Standard Test Method for Thermal Diffusivity by the Flash Method. ASTM International: West Conshohocken, PA, USA, 2012. Available online: https://www.astm.org/e1461-07.html (accessed on 26 March 2026).
- Decsov, K.E.; Ötvös, B.; Nguyen, T.T.T.; Bocz, K. The Effect of Cellulose Fiber Length on the Efficiency of an Intumescent Flame Retardant System in Poly(lactic acid). Fire 2023, 6, 97. [Google Scholar] [CrossRef]
- Ciobanu, R.C.; Schreiner, C.; Caramitu, A.R.; Aradoaei, S.; Aradoaei, M. Sustainability of the Technology for Obtaining Thermoplastic Building Materials from Non-Recyclable Mixed Plastic–Paper Packaging Waste. Sustainability 2024, 16, 3430. [Google Scholar] [CrossRef]
- Liu, Y.; Wang, S.; Zhou, K.; Liu, H. Toward sustainable heat dissipation: Advances on biomass-based thermal conductive materials. Chem. Eng. J. 2025, 522, 168015. [Google Scholar] [CrossRef]
- Zhou, H.; Su, Y.; Dong, H.; Zhang, X.; Zhang, X.; Zeng, W. A three-in-one lignin-derived intumescent flame retardant towards fire-safe and tough polypropylene. Polym. Chem. 2026, 17, 1188–1199. [Google Scholar] [CrossRef]











| Samples | Matrix/Biomass | Biomass Addition |
|---|---|---|
| LDPEr | LDPEr | 0 |
| L-PS1 | LDPEr/PS | 10 |
| L-PS2 | LDPEr/PS | 20 |
| L-PS3 | LDPEr/PS | 30 |
| HDPEr | HDPEr | 0 |
| H-PS1 | HDPEr/PS | 10 |
| H-PS2 | HDPEr/PS | 20 |
| H-PS3 | HDPEr/PS | 30 |
| H-VP1 | HDPEr/VP | 10 |
| H-VP2 | HDPEr/VP | 20 |
| H-VP3 | HDPEr/VP | 30 |
| PPr | PPr | 0 |
| P-VP1 | PPr/VP | 10 |
| P-VP2 | PPr/VP | 20 |
| P-VP3 | PPr/VP | 30 |
| Samples | Shore Hardness Shore D [ShD] | CHARPY Impact Test [KJ/m2] | Tear Resistance [MPa] | Elongation [%] | Young’s Modulus [MPa] |
|---|---|---|---|---|---|
| LDPEr | 31 | 42 | 19.3 | 16 | 255 |
| L-PS1 | 26 | 43 | 18.3 | 11 | 268 |
| L-PS2 | 25 | 44 | 18.0 | 6 | 276 |
| L-PS3 | 24 | 45 | 17.6 | 4 | 285 |
| HDPEr | 42 | 58 | 25 | 4.1 | 131 |
| H-PS1 | 31 | 49 | 26 | 3.6 | 120 |
| H-PS2 | 30 | 46 | 27 | 3.4 | 116 |
| H-PS3 | 29 | 41 | 29 | 3.2 | 150 |
| H-VP1 | 30 | 53 | 28 | 3.1 | 140 |
| H-VP2 | 29 | 49 | 35 | 2.9 | 137 |
| H-VP3 | 28 | 43 | 33 | 2.7 | 131 |
| PPr | 46 | 52 | 30 | 3.2 | 156 |
| P-VP1 | 32 | 45 | 31 | 2.6 | 153 |
| P-VP2 | 31 | 43 | 33 | 2.4 | 146 |
| P-VP3 | 29 | 41 | 37 | 2.3 | 131 |
| Samples | Density [g/cm3] | Melt Flow Index [g/10 min] | Melting Point [°C] | VICAT Softening Temperature [°C] | Molding Shrinkage [%] |
|---|---|---|---|---|---|
| LDPEr | 0.923 | 4.62 | 115–120 | 49 | 2.15 |
| L-PS1 | 0.880 | 4.31 | 125–135 | 47 | 2.1 |
| L-PS2 | 0.835 | 4.22 | 125–135 | 46 | 2 |
| L-PS3 | 0.785 | 4.15 | 125–135 | 45 | 2 |
| HDPEr | 0.958 | 7.59 | 125–130 | 69 | 2.1 |
| H-PS1 | 0.870 | 6.88 | 135–145 | 66 | 2.07 |
| H-PS2 | 0.823 | 5.64 | 135–145 | 64 | 2 |
| H-PS3 | 0.778 | 4.91 | 135–145 | 62 | 2 |
| H-VP1 | 0.865 | 6.34 | 135–145 | 64 | 2.05 |
| H-VP2 | 0.811 | 5.24 | 135–145 | 62 | 2 |
| H-VP3 | 0.762 | 4.17 | 135–145 | 59 | 2 |
| PPr | 0.897 | 16.04 | 160–165 | 89 | 2.05 |
| P-VP1 | 0.858 | 14.70 | 165–175 | 87 | 2.02 |
| P-VP2 | 0.807 | 13.10 | 165–175 | 86 | 2 |
| P-VP3 | 0.760 | 12.90 | 165–175 | 85 | 2 |
| Samples | 72 | 168 | 240 | 336 | 408 | 504 | 576 |
|---|---|---|---|---|---|---|---|
| L-PS1 | 3.19 | 4.88 | 7.63 | 10.43 | 13.16 | 15.79 | 15.82 |
| L-PS2 | 3.30 | 7.57 | 11.13 | 13.10 | 16.75 | 20.07 | 20.16 |
| L-PS3 | 3.32 | 8.87 | 13.31 | 15.54 | 19.91 | 24.02 | 24.02 |
| H-PS1 | 3.22 | 4.92 | 7.84 | 10.81 | 13.72 | 16.19 | 16.29 |
| H-PS2 | 4.19 | 6.42 | 10.03 | 13.73 | 17.31 | 20.77 | 20.82 |
| H-PS3 | 4.26 | 11.44 | 17.23 | 19.96 | 25.72 | 31.01 | 31.03 |
| H-VP1 | 3.48 | 6.08 | 10.09 | 12.30 | 16.15 | 18.18 | 18.18 |
| H-VP2 | 3.84 | 8.88 | 13.70 | 14.78 | 18.13 | 21.98 | 22.07 |
| H-VP3 | 5.37 | 8.20 | 13.07 | 18.01 | 22.86 | 26.99 | 27.15 |
| P-VP1 | 2.25 | 6.05 | 9.11 | 10.56 | 13.61 | 16.41 | 16.42 |
| P-VP2 | 2.93 | 5.69 | 8.67 | 12.28 | 15.22 | 18.56 | 18.56 |
| P-VP3 | 4.39 | 6.71 | 10.69 | 14.74 | 18.70 | 22.08 | 22.21 |
| Samples | 72 | 168 | 240 | 336 | 408 | 504 | 576 |
|---|---|---|---|---|---|---|---|
| L-PS1 | 2.45 | 3.75 | 5.87 | 8.03 | 10.12 | 12.14 | 12.17 |
| L-PS2 | 2.54 | 5.83 | 8.56 | 10.08 | 12.88 | 15.44 | 15.51 |
| L-PS3 | 2.55 | 6.82 | 10.24 | 11.95 | 15.32 | 18.48 | 18.48 |
| H-PS1 | 2.48 | 3.79 | 6.03 | 8.31 | 10.55 | 12.46 | 12.53 |
| H-PS2 | 3.23 | 4.94 | 7.72 | 10.56 | 13.32 | 15.98 | 16.01 |
| H-PS3 | 3.28 | 8.80 | 13.25 | 15.35 | 19.78 | 23.86 | 23.87 |
| H-VP1 | 2.68 | 4.67 | 7.76 | 9.46 | 12.43 | 13.99 | 13.99 |
| H-VP2 | 2.95 | 6.83 | 10.54 | 11.37 | 13.94 | 16.91 | 16.98 |
| H-VP3 | 4.13 | 6.31 | 10.05 | 13.86 | 17.58 | 20.76 | 20.88 |
| P-VP1 | 1.73 | 4.66 | 7.01 | 8.12 | 10.47 | 12.62 | 12.63 |
| P-VP2 | 2.25 | 4.38 | 6.67 | 9.44 | 11.71 | 14.28 | 14.28 |
| P-VP3 | 3.38 | 5.16 | 8.22 | 11.34 | 14.39 | 16.99 | 17.09 |
| Samples | Dielectric Strength [kV/mm] |
|---|---|
| LDPEr | 71 |
| L-PS1 | 73 |
| L-PS2 | 71 |
| L-PS3 | 70 |
| HDPEr | 66 |
| H-PS1 | 68 |
| H-PS2 | 67 |
| H-PS3 | 65 |
| H-VP1 | 67 |
| H-VP2 | 65 |
| H-VP3 | 63 |
| PPr | 52 |
| P-VP1 | 53 |
| P-VP2 | 51 |
| P-VP3 | 49 |
| Samples | Thermal Conductivity [W/(m × K)] | LOI [%] |
|---|---|---|
| LDPEr | 0.332 | 18 |
| L-PS1 | 0.346 | 19 |
| L-PS2 | 0.353 | 20 |
| L-PS3 | 0.367 | 21 |
| HDPEr | 0.446 | 19 |
| H-PS1 | 0.451 | 20 |
| H-PS2 | 0.464 | 20 |
| H-PS3 | 0.476 | 21 |
| H-VP1 | 0.453 | 20 |
| H-VP2 | 0.467 | 21 |
| H-VP3 | 0.485 | 22 |
| PPr | 0.245 | 19 |
| P-VP1 | 0.258 | 20 |
| P-VP2 | 0.271 | 21 |
| P-VP3 | 0.287 | 22 |
Disclaimer/Publisher’s Note: The statements, opinions and data contained in all publications are solely those of the individual author(s) and contributor(s) and not of MDPI and/or the editor(s). MDPI and/or the editor(s) disclaim responsibility for any injury to people or property resulting from any ideas, methods, instructions or products referred to in the content. |
© 2026 by the authors. Licensee MDPI, Basel, Switzerland. This article is an open access article distributed under the terms and conditions of the Creative Commons Attribution (CC BY) license.
Share and Cite
Aradoaei, M.; Ciobanu, R.C.; Aradoaei, S.T.; Eva, R.L.; Caramitu, A.R.; Bors, A.M. Composites from Recycled Polyolefin and Waste Plant Biomass with Potential Uses in Electrical Insulation Applications. Materials 2026, 19, 1415. https://doi.org/10.3390/ma19071415
Aradoaei M, Ciobanu RC, Aradoaei ST, Eva RL, Caramitu AR, Bors AM. Composites from Recycled Polyolefin and Waste Plant Biomass with Potential Uses in Electrical Insulation Applications. Materials. 2026; 19(7):1415. https://doi.org/10.3390/ma19071415
Chicago/Turabian StyleAradoaei, Mihaela, Romeo Cristian Ciobanu, Sebastian Teodor Aradoaei, Rolland Luigi Eva, Alina Ruxandra Caramitu, and Adriana Mariana Bors. 2026. "Composites from Recycled Polyolefin and Waste Plant Biomass with Potential Uses in Electrical Insulation Applications" Materials 19, no. 7: 1415. https://doi.org/10.3390/ma19071415
APA StyleAradoaei, M., Ciobanu, R. C., Aradoaei, S. T., Eva, R. L., Caramitu, A. R., & Bors, A. M. (2026). Composites from Recycled Polyolefin and Waste Plant Biomass with Potential Uses in Electrical Insulation Applications. Materials, 19(7), 1415. https://doi.org/10.3390/ma19071415

