High Dynamic Range CsFAPbI3 Perovskite Photodetectors with 12.7 MHz Bandwidth
Abstract
1. Introduction
2. Materials and Methods
2.1. Essential Precursors
2.2. Solution Synthesis and Detector Deposition
2.3. Characterization
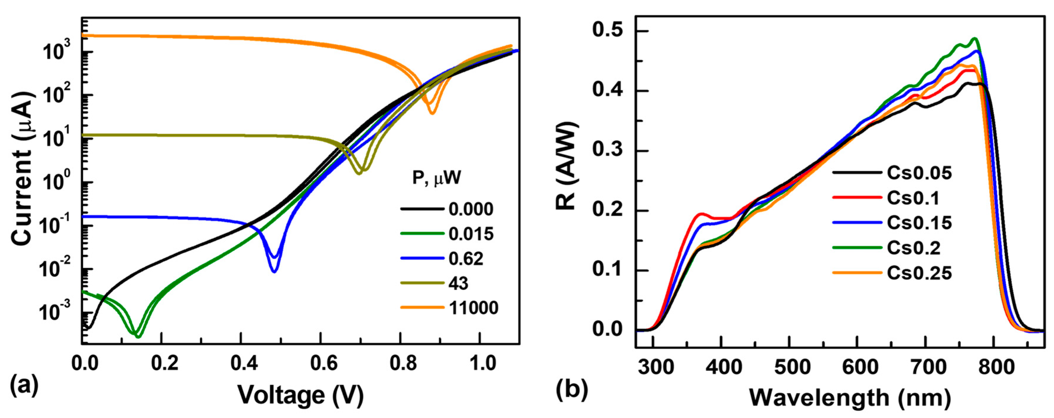
3. Results and Discussion
4. Conclusions
Author Contributions
Funding
Data Availability Statement
Conflicts of Interest
Abbreviations
| CaTiO3 | Calcium titanate |
| XRD | X-ray diffraction |
| SEM | Scanning electron microscope |
| EQE | External quantum efficiency |
| CsI | Cesium iodide |
| PbI2 | Lead iodide |
| FAI | Formamidinium iodide |
| DMSO | Dimethyl sulfoxide |
| DMF | N,N-dimethyl formamide |
| LDR | Linear dynamic range |
References
- Rose, G. A stand out family. Nat. Mater. 2021, 20, 1303. [Google Scholar] [CrossRef]
- Guan, Z.; Zhang, H.; Yang, G. Advances in perovskite lasers. J. Semicond. 2025, 46, 041401. [Google Scholar] [CrossRef]
- Zhang, X.; Li, Z.; Hong, E.; Deng, M.; Su, L.; Fang, X. Modulating Quantum Well Width of Ferroelectric Ruddlesden–Popper Perovskites for Flexible Light Communication Device. Adv. Funct. Mater. 2024, 34, 2312293. [Google Scholar] [CrossRef]
- Cao, F.; Bian, L.; Li, L. Perovskite solar cells with high-efficiency exceeding 25%: A review. Energy Mater. Devices 2024, 2, 9370018. [Google Scholar] [CrossRef]
- Xiao, Z.; Song, Z.; Yan, Y. From Lead Halide Perovskites to Lead-Free Metal Halide Perovskites and Perovskite Derivatives. Adv. Mater. 2019, 31, 1803792. [Google Scholar] [CrossRef]
- Majeed, A.M.; Nomeika, K.; Auruskevicius, M.; Stanionyte, S.; Radiunas, E.; Scajev, P. Impact of Zn Alloying to CsZnxPb1−xI3 Charge Carrier Diffusion Coefficient, Diffusion Length, and Recombination Parameters. J. Phys. Chem. C 2025, 129, 1444–1456. [Google Scholar] [CrossRef]
- Kojima, A.; Teshima, K.; Shirai, Y.; Miyasaka, T. Organometal Halide Perovskites as Visible-Light Sensitizers for Photovoltaic Cells. J. Am. Chem. Soc. 2009, 131, 6050–6051. [Google Scholar] [CrossRef]
- Sun, L.; Li, W.; Zhu, W.; Chen, Z. Single-crystal perovskite detectors: Development and perspectives. J. Mater. Chem. C Mater. 2020, 8, 11664–11674. [Google Scholar] [CrossRef]
- Majeed, A.M.; Raišys, S.; Kreiza, G.; Ščajev, P. Optimization of Zn alloying in non-colloidal CsZnxPb1-xI3 solar cells. Sol. Energy Mater. Sol. Cells 2026, 295, 113994. [Google Scholar] [CrossRef]
- Pylnev, M.; Nishikubo, R.; Ishiwari, F.; Wakamiya, A.; Saeki, A. Performance Boost by Dark Electro Treatment in MACl-Added FAPbI3 Perovskite Solar Cells. Adv. Opt. Mater. 2024, 12, 2401902. [Google Scholar] [CrossRef]
- Tsarev, S.; Proniakova, D.; Liu, X.; Wu, E.; Matt, G.J.; Sakhatskyi, K.; Ferraresi, L.L.A.; Kothandaraman, R.; Fu, F.; Shorubalko, I.; et al. Vertically stacked monolithic perovskite colour photodetectors. Nature 2025, 642, 592–598. [Google Scholar] [CrossRef]
- Zhou, Y.; Fei, C.; Uddin, M.A.; Zhao, L.; Ni, Z.; Huang, J. Self-powered perovskite photon-counting detectors. Nature 2023, 616, 712–718. [Google Scholar] [CrossRef] [PubMed]
- Park, J.; Kim, S.; Kwak, H.J.; Jeong, S.; Son, J.Y.; Yang, S.; Kim, J.; Woo, S.; Yang, J.; Son, J.; et al. Oxygen-Positional 2D Side-Chain Engineering of n-Type Acceptors for Record >90% Near‐Infrared External Quantum Efficiency in Broadband Perovskite–Organic Photodetectors. Adv. Funct. Mater. 2025, e21677. [Google Scholar] [CrossRef]
- Min, L.; Sun, H.; Guo, L.; Wang, M.; Cao, F.; Zhong, J.; Li, L. Frequency-selective perovskite photodetector for anti-interference optical communications. Nat. Commun. 2024, 15, 2066. [Google Scholar] [CrossRef] [PubMed]
- Li, Y.; Shi, Z.; Liang, W.; Wang, L.; Li, S.; Zhang, F.; Ma, Z.; Wang, Y.; Tian, Y.; Wu, D.; et al. Highly stable and spectrum-selective ultraviolet photodetectors based on lead-free copper-based perovskites. Mater. Horiz. 2020, 7, 530–540. [Google Scholar] [CrossRef]
- Liu, R.; Li, F.; Zeng, F.; Zhao, R.; Zheng, R. Halide perovskite x-ray detectors: Fundamentals, progress, and outlook. Appl. Phys. Rev. 2024, 11, 021327. [Google Scholar] [CrossRef]
- Majeed, A.M.; Vaitkevičius, A.; Stanionytė, S.; Miasojedovas, S.; Kreiza, G.; Ščajev, P. Highly Stable Solution-Processed CsZnPbI3 Perovskite Distributed Feedback Lasers. Adv. Opt. Mater. 2025, 13, e01896. [Google Scholar] [CrossRef]
- Harwell, J.R.; Whitworth, G.L.; Turnbull, G.A.; Samuel, I.D.W. Green Perovskite Distributed Feedback Lasers. Sci. Rep. 2017, 7, 11727. [Google Scholar] [CrossRef]
- Lian, Y.; Wang, Y.; Yuan, Y.; Ren, Z.; Tang, W.; Liu, Z.; Xing, S.; Ju, K.; Yuan, B.; Yang, Y.; et al. Downscaling micro- and nano-perovskite LEDs. Nature 2025, 640, 62–68. [Google Scholar] [CrossRef]
- Ke, Y.; Zhu, W.; Ma, C.; Xiong, K.; Liu, W.; Kuang, Z.; Wu, J.; Qian, D.; Li, M.; Wang, S.; et al. High-performance tandem perovskite LEDs through interlayer photon recycling. Nature 2026, 649, 53–58. [Google Scholar] [CrossRef]
- Liu, Y.; Albrow-Owen, T.; Cen, G.; Li, W.; Wan, H.; Zhao, C.; Joyce, H.; Chen, X.; Hasan, T.; Ji, Z.; et al. Nature-Inspired Perovskite-Based Spectral Polarimetric Camera. Laser Photon. Rev. 2026, 20, e01405. [Google Scholar] [CrossRef]
- Ling, C.; Rong, C.; Men, B.; Wang, J.; Sun, J.; Zhang, T.; Znang, L.; Guo, R.; Zhou, P.; Liu, W. WS2/MHS PdTe2/Si Mixed-Dimensional Heterojunction as Ultra-Broadband Photodetector for Health and Safety Monitoring. Adv. Healthc. Mater. 2025, 14, 2402507. [Google Scholar] [CrossRef] [PubMed]
- Fan, J.; Li, W.; Zhou, Q.; Yang, G.; Tang, P.; He, J.; Ma, L.; Zhang, J.; Xiao, J.; Yan, Z.; et al. Metal Halide Perovskites for Direct X-Ray Detection in Medical Imaging: To Higher Performance. Adv. Funct. Mater. 2025, 35, 2401017. [Google Scholar] [CrossRef]
- Zhao, J.; Wang, X.; Xu, Y.; Pan, Y.; Li, Y.; Chen, J.; Li, Q.; Zhang, X.; Zhu, Z.; Zhao, Z.; et al. Electrically Modulated Near-Infrared/Visible Light Dual-Mode Perovskite Photodetectors. ACS Appl. Mater. Interfaces 2022, 14, 25824–25833. [Google Scholar] [CrossRef]
- Liu, S.; Lv, R.; Zhang, Y.; He, P.; Chan, T.; Han, H.; Wei, Z. Perovskite nanoparticle-based nonlinear optical devices for ultrafast photonics applications. J. Appl. Phys. 2025, 138, 223108. [Google Scholar] [CrossRef]
- Zhang, M.; Wang, L.; Meng, L.; Wu, X.G.; Tan, Q.; Chen, Y.; Liang, W.; Jiang, F.; Cai, Y.; Zhong, H. Perovskite Quantum Dots Embedded Composite Films Enhancing UV Response of Silicon Photodetectors for Broadband and Solar-Blind Light Detection. Adv. Opt. Mater. 2018, 6, 1800077. [Google Scholar] [CrossRef]
- Rogalski, A.; Hu, W.; Wang, F.; Wang, Y.; Martyniuk, P. Perovskite versus Standard Photodetectors. Materials 2024, 17, 4029. [Google Scholar] [CrossRef]
- Perini, C.A.; Ferrari, G.; Correa-Baena, J.P.; Petrozza, A.; Caironi, M. A solution processed metal-oxide:polymer interlayer improves the perovskite photodetector response speed, dark current, and stability. EES Sol. 2025, 1, 600–607. [Google Scholar] [CrossRef]
- Global Supplier. Available online: https://www.tcichemicals.com (accessed on 10 March 2026).
- GaAs Solar Cell Prices and Datasheet. Available online: https://www.greatcellsolarmaterials.com/ (accessed on 10 March 2026).
- Inudstrial Market Analysis. Available online: https://tradingeconomics.com/commodity/silicon (accessed on 10 March 2026).
- Gallium Arsenide. Available online: https://www.chemicalbook.com/Price/GALLIUM-ARSENIDE.htm (accessed on 10 March 2026).
- Dou, L.; Yang, Y.; You, J.; Hong, Z.; Chang, W.H.; Li, G.; Yang, Y. Solution-processed hybrid perovskite photodetectors with high detectivity. Nat. Commun. 2014, 5, 5404. [Google Scholar] [CrossRef]
- Zhang, M.; Zhang, F.; Wang, Y.; Zhu, L.; Hu, Y.; Lou, Z.; Jou, Y.; Teng, F. High-Performance Photodiode-Type Photodetectors Based on Polycrystalline Formamidinium Lead Iodide Perovskite Thin Films. Sci. Rep. 2018, 8, 11157. [Google Scholar] [CrossRef]
- Khanikar, P.D.; Shah, S.; Shukla, A.; Cole, C.M.; Guo, Z.; Das, S.; Lo, S.-C.; Matsushima, T.; Namdas, E.B. Unified Approach to Sensitive and Fast Perovskite Photodetectors Featuring an Ultrawide Linear Dynamic Range. Adv. Opt. Mater. 2025, 13, e01967. [Google Scholar] [CrossRef]
- Ma, S.; Jang, G.; Kim, S.; Kwon, H.C.; Goh, S.; Ban, H.; Choo, J.H.; Moon, J. Multifunctional Self-Combustion Additives Strategy to Fabricate Highly Responsive Hybrid Perovskite Photodetectors. ACS Appl. Mater. Interfaces 2020, 12, 41674–41686. [Google Scholar] [CrossRef] [PubMed]
- Liang, F.X.; Wang, J.Z.; Zhang, Z.X.; Wang, Y.Y.; Gao, Y.; Luo, L.B. Broadband, Ultrafast, Self-Driven Photodetector Based on Cs-Doped FAPbI3 Perovskite Thin Film. Adv. Opt. Mater. 2017, 5, 1700654. [Google Scholar] [CrossRef]
- Hamazaki, H.; Matsui, H.; Tanaka, N.; Kobayashi, T.; Yazawa, R.; Shahiduzzaman, M.; Taima, T.; Kaeakawa, M.; Ilyama, K.; Nunzi, J.M.; et al. Enhancing Voltage Tolerance of CsFA Perovskite-Based Rectifying Diodes Through Ionic Liquid Incorporation. Adv. Sustain. Syst. 2025, 9, e00762. [Google Scholar] [CrossRef]
- Al Amin, N.R.; Lee, C.C.; Huang, Y.C.; Shih, C.J.; Estrada, R.; Biring, S.; Kuo, M.H.; Li, C.F.; Huang, Y.C.; Liu, S.W. Achieving a Highly Stable Perovskite Photodetector with a Long Lifetime Fabricated via an All-Vacuum Deposition Process. ACS Appl. Mater. Interfaces 2023, 15, 21284–21295. [Google Scholar] [CrossRef]
- Adams, G.R.; Eze, V.O.; Shohag, M.A.S.; Simpson, R.; Parker, H.; Okoli, O.I. Fabrication of rapid response self-powered photodetector using solution-processed triple cation lead-halide perovskite. Eng. Res. Express 2020, 2, 015043. [Google Scholar] [CrossRef]
- Wang, Y.; Zhang, X.; Wang, D.; Li, X.; Meng, J.; You, J.; Yin, Z.; Wu, J. Compositional Engineering of Mixed-Cation Lead Mixed-Halide Perovskites for High-Performance Photodetectors. ACS Appl. Mater. Interfaces 2019, 11, 28005–28012. [Google Scholar] [CrossRef]
- Hong, E.; Nodari, D.; Furlan, F.; Angela, E.; Panidi, J.; McLachlan, M.A.; Gasparini, N. Strain-Induced α-Phase Stabilization for Low Dark Current FAPI-Based Photodetectors. Adv. Opt. Mater. 2024, 12, 2302712. [Google Scholar] [CrossRef]
- Ščajev, P.; Miasojedovas, S.; Juršėnas, S. A carrier density dependent diffusion coefficient, recombination rate and diffusion length in MAPbI3 and MAPbBr3 crystals measured under one- and two-photon excitations. J. Mater. Chem. C Mater. 2020, 8, 10290–10301. [Google Scholar] [CrossRef]
- Klipfel, N.; Haris, M.P.; Kazim, S.; Sutanto, A.A.; Shibayama, N.; Kanda, H.; Asiri, A.M.; Mamblona, C.; Ahmad, S.; Khaja, M.; et al. Structural and photophysical investigation of single-source evaporation of CsFAPbI3 and FAPbI3 perovskite thin films. J. Mater. Chem. C Mater. 2022, 10, 10075–10082. [Google Scholar] [CrossRef]
- Jiang, Q.; Chu, Z.; Wang, P.; Yang, X.; Liu, H.; Wang, Y.; Yin, Z.; Wu, J.; Zhang, X.; You, J. Planar-Structure Perovskite Solar Cells with Efficiency beyond 21%. Adv. Mater. 2017, 2, 1703852. [Google Scholar] [CrossRef]
- Park, B.W.; Kedem, N.; Kulbak, M.; Lee, D.Y.; Yang, W.S.; Jeon, N.J.; Seo, J.; Kim, G.; Kim, K.J.; Shin, T.J.; et al. Understanding how excess lead iodide precursor improves halide perovskite solar cell performance. Nat. Commun. 2018, 9, 3301. [Google Scholar] [CrossRef] [PubMed]
- Ščajev, P.; Litvinas, D.; Soriūtė, V.; Kreiza, G.; Stanionytė, S.; Juršėnas, S. Crystal Structure Ideality Impact on Bimolecular, Auger, and Diffusion Coefficients in Mixed-Cation CsxMA1−xPbBr3 and CsxFA1−xPbBr3 Perovskites. J. Phys. Chem. C 2019, 123, 23838–23844. [Google Scholar] [CrossRef]
- Hu, L.; Guan, X.; Chen, W.; Yao, Y.; Wan, T.; Lin, C.H.; Pham, N.D.; Yan, L.; Geng, X.; Wang, F.; et al. Linking Phase Segregation and Photovoltaic Performance of Mixed-Halide Perovskite Films through Grain Size Engineering. ACS Energy Lett. 2021, 6, 1649–1658. [Google Scholar] [CrossRef]
- Dhar, S.; Miller, D.M.; Jokerst, N.M. High responsivity, low dark current, heterogeneously integrated thin film Si photodetectors on rigid and flexible substrates. Opt. Express 2014, 22, 5052. [Google Scholar] [CrossRef]
- Bansal, S.; Kumar, S.; Jain, A.; Rohilla, V.; Prakash, K.; Gupta, A.; Ali, T.; Alenezi, A.M.; Islam, M.S.; Soliman, M.S.; et al. Design and TCAD analysis of few-layer graphene/ZnO nanowires heterojunction-based photodetector in UV spectral region. Sci. Rep. 2025, 15, 7762. [Google Scholar] [CrossRef]
- Fu, M.; Tamarat, P.; Trebbia, J.B.; Bodnarchuk, M.I.; Kovalenko, M.V.; Even, J.; Lounis, B. Unraveling exciton–phonon coupling in individual FAPbI3 nanocrystals emitting near-infrared single photons. Nat. Commun. 2018, 9, 3318. [Google Scholar] [CrossRef]
- Lee, J.W.; Kim, D.H.; Kim, H.S.; Seo, S.W.; Cho, S.M.; Park, N.G. Formamidinium and Cesium Hybridization for Photo- and Moisture-Stable Perovskite Solar Cell. Adv. Energy Mater. 2015, 5, 1501310. [Google Scholar] [CrossRef]
- Svanström, S.; Jacobsson, T.J.; Sloboda, T.; Giangrisostomi, E.; Ovsyannikov, R.; Rensmo, H.; Cappel, U.B. Effect of halide ratio and Cs+ addition on the photochemical stability of lead halide perovskites. J. Mater. Chem. A Mater. 2018, 6, 22134–22144. [Google Scholar] [CrossRef]
- Liu, F.; Liu, K.; Rafique, S.; Xu, Z.; Niu, W.; Li, X.; Wang, Y.; Deng, L.; Wang, J.; Yue, X.; et al. Highly Efficient and Stable Self-Powered Mixed Tin-Lead Perovskite Photodetector Used in Remote Wearable Health Monitoring Technology. Adv. Sci. 2023, 10, 2205879. [Google Scholar] [CrossRef]
- Kim, T.W.; Kim, S.H.; Shim, J.W.; Hwang, D.K. Organic photodiode with dual functions of indoor photovoltaic and high-speed photodetector. Front. Optoelectron. 2022, 15, 18. [Google Scholar] [CrossRef] [PubMed]
- Dong, K.; Zhou, H.; Gao, Z.; Xu, M.; Zhang, L.; Zhou, S.; Cui, H.; Wang, S.; Tao, C.; Ke, W.; et al. 2D Perovskite Single-Crystalline Photodetector with Large Linear Dynamic Range for UV Weak-Light Imaging. Adv. Funct. Mater. 2024, 34, 2306941. [Google Scholar] [CrossRef]
- Ma, Y.; Zhao, X.; Xu, X.; Wei, W.; Shen, L. Ultralow dark current and high on–off ratio of perovskite photodetectors enabled by 3D/2D/3D heterostructures unipolar barrier. Appl. Phys. Lett. 2023, 123, 231105. [Google Scholar] [CrossRef]
- Zeng, L.H.; Chen, Q.M.; Zhang, Z.X.; Wu, D.; Yuan, H.; Li, Y.Y.; Qarony, W.; Lau, S.P.; Luo, L.B.; Tsang, Y.H. Multilayered PdSe2/Perovskite Schottky Junction for Fast, Self-Powered, Polarization-Sensitive, Broadband Photodetectors, and Image Sensor Application. Adv. Sci. 2019, 6, 1901134. [Google Scholar] [CrossRef]
- Naqvi, F.H.; Ko, J.-H. Structural Phase Transitions and Thermal Degradation Process of MAPbCl3 Single Crystals Studied by Raman and Brillouin Scattering. Materials 2022, 15, 8151. [Google Scholar] [CrossRef]
- Khan, A.A.; Kumar, N.; Jung, U.; Heo, W.; Tan, Z.; Park, J. Performance and stability enhancement of perovskite photodetectors by additive and interface engineering using a dual-functional PPS zwitterion. Nanoscale Horiz. 2023, 8, 1577–1587. [Google Scholar] [CrossRef]
- Yue, T. Degradation behavior of perovskite solar cells under high-intensity and multi band illumination conditions. J. Atmos. Sol. Terr. Phys. 2026, 279, 106738. [Google Scholar] [CrossRef]
- Dutta, A.; Medda, A.; Bera, R.; Sarkar, K.; Sain, S.; Kumar, P.; Patra, A. Hybrid Nanostructures of 2D CdSe Nanoplatelets for High-Performance Photodetector Using Charge Transfer Process. ACS Appl. Nano Mater. 2020, 3, 4717–4727. [Google Scholar] [CrossRef]
- Ščajev, P.; Malinauskas, T.; Seniutinas, G.; Arnold, M.D.; Gentle, A.; Aharonovich, I.; Gervinskas, G.; Michaux, P.; Hartley, J.S.; Mayes, E.L.H.; et al. Light-induced reflectivity transients in black-Si nanoneedles. Sol. Energy Mater. Sol. Cells 2016, 144, 221–227. [Google Scholar] [CrossRef]
- Ščajev, P.; Jurkevičius, J.; Mickevičius, J.; Jarašiūnas, K.; Kato, H. Features of free carrier and exciton recombination, diffusion, and photoluminescence in undoped and phosphorus-doped diamond layers. Diam. Relat. Mater. 2015, 57, 9–16. [Google Scholar] [CrossRef]
- Ščajev, P.; Gudelis, V.; Jarašiūnas, K.; Kisialiou, I.; Ivakin, E.; Nesladek, M.; Haenen, K. Carrier recombination and diffusivity in microcrystalline CVD-grown and single-crystalline HPHT diamonds. Phys. Status Solidi A 2012, 209, 1744–1749. [Google Scholar] [CrossRef]
- Ščajev, P.; Malinauskas, T.; Lubys, L.; Ivakin, E.; Nesladek, M.; Haenen, K.; Jarašiūnas, K. Optical monitoring of nonequilibrium carrier diffusion in single crystalline CVD and HPHT diamonds under high optical excitation. Phys. Status Solidi RRL 2011, 5, 193–195. [Google Scholar] [CrossRef]
- Goushcha, A.O.; Tabbert, B. On response time of semiconductor photodiodes. Opt. Eng. 2017, 56, 097101. [Google Scholar] [CrossRef]
- Cao, B.; Yang, L.; Jiang, S.; Lin, H.; Wang, N.; Li, X. Flexible quintuple cation perovskite solar cells with high efficiency. J. Mater. Chem. A Mater. 2019, 7, 4960–4970. [Google Scholar] [CrossRef]
- Praba, L.; Chung, Y.; Han, D.H.; Jung, J.W. Fullerene-Passivated Methylammonium Lead Iodide Perovskite Absorber for High-Performance Self-Powered Photodetectors with Ultrafast Response and Broadband Detectivity. Molecules 2025, 30, 1166. [Google Scholar] [CrossRef]
- Shen, J.H.; Yu, X.Q.; Tu, W.C. Multifunctional and High-Performance FAPBI3 Quantum Dots/Graphene UV Photodetectors by the Modulation of Photoconductivity. Adv. Opt. Mater. 2023, 11, 2300410. [Google Scholar] [CrossRef]
- Pal, S.; Ghorai, A.; Mahato, S.; Ray, S.K. Piezo-Phototronic Effect-Induced Self-Powered Broadband Photodetectors using Environmentally Stable α-CsPbI3 Perovskite Nanocrystals. Adv. Opt. Mater. 2023, 11, 2300233. [Google Scholar] [CrossRef]
- Liu, C.; Wu, W.; Liang, J.; Zhou, H. High-quality silicon-based perovskite photodetectors with the detectivity exceeding 7.5 × 1013 Jones. Opt. Express 2024, 32, 42793. [Google Scholar] [CrossRef]






| Detector | Ri @ 532 nm (A/W) | Peak Wavelength (nm) | Rise Time (ns) | Fall Time (ns) | Bandwidth (MHz) | Ith (nA) | D* 1012 (Jones) | Layer τR = 2τPL (ns) | Detector τextr = 2τPL (ns) |
|---|---|---|---|---|---|---|---|---|---|
| Cs0.05 | 0.271 | 764 | 35.6 ± 5.4 | 1098 ± 192 | 9.8 ± 1.5 | 18 | 0.02 | 14.8 | 208 |
| Cs0.1 | 0.263 | 762 | 41.7 ± 4.5 | 1105 ± 163 | 8.4 ± 0.9 | 0.25 | 1.48 | 21.6 | 166 |
| Cs0.15 | 0.275 | 776 | 34.5 ± 3.5 | 1046 ± 105 | 10.1 ± 1.1 | 0.31 | 1.2 | 18.5 | 143 |
| Cs0.2 | 0.272 | 773 | 27.5 ± 2.8 | 708 ± 71 | 12.7 ± 1.2 | 0.46 | 1.0 | 12.6 | 182 |
| Cs0.25 | 0.262 | 754 | 33.7 ± 4.1 | 1166 ± 112 | 10.4 ± 1.3 | 0.59 | 0.65 | 17.8 | 164 |
Disclaimer/Publisher’s Note: The statements, opinions and data contained in all publications are solely those of the individual author(s) and contributor(s) and not of MDPI and/or the editor(s). MDPI and/or the editor(s) disclaim responsibility for any injury to people or property resulting from any ideas, methods, instructions or products referred to in the content. |
© 2026 by the authors. Licensee MDPI, Basel, Switzerland. This article is an open access article distributed under the terms and conditions of the Creative Commons Attribution (CC BY) license.
Share and Cite
Majeed, A.M.; Stanionytė, S.; Kreiza, G.; Ščajev, P. High Dynamic Range CsFAPbI3 Perovskite Photodetectors with 12.7 MHz Bandwidth. Materials 2026, 19, 1315. https://doi.org/10.3390/ma19071315
Majeed AM, Stanionytė S, Kreiza G, Ščajev P. High Dynamic Range CsFAPbI3 Perovskite Photodetectors with 12.7 MHz Bandwidth. Materials. 2026; 19(7):1315. https://doi.org/10.3390/ma19071315
Chicago/Turabian StyleMajeed, Abdul Mannan, Sandra Stanionytė, Gediminas Kreiza, and Patrik Ščajev. 2026. "High Dynamic Range CsFAPbI3 Perovskite Photodetectors with 12.7 MHz Bandwidth" Materials 19, no. 7: 1315. https://doi.org/10.3390/ma19071315
APA StyleMajeed, A. M., Stanionytė, S., Kreiza, G., & Ščajev, P. (2026). High Dynamic Range CsFAPbI3 Perovskite Photodetectors with 12.7 MHz Bandwidth. Materials, 19(7), 1315. https://doi.org/10.3390/ma19071315

