Pump-Induced Biphasic Relaxation Model of Xe Spin in Nuclear Magnetic Resonance Gyroscopes
Abstract
1. Introduction
2. Theoretical Framework of Pump-Induced Biphasic Relaxation (PBR)
2.1. Electron Spin Polarization Dynamics
2.2. Fermi-Contact Interaction and NMR Frequency Shift
2.3. Mechanism of Pump-Induced Nuclear Transverse Relaxation
- (1)
- Spin-Exchange Contribution
- (2)
- Effective Field Gradient Contribution
2.3.1. Under the Condition of
2.3.2. Under the Condition of
2.3.3. Under the Condition of
3. Materials and Methods
3.1. Experimental Setup
3.2. Measurement and Data Processing
3.3. Numerical Simulation
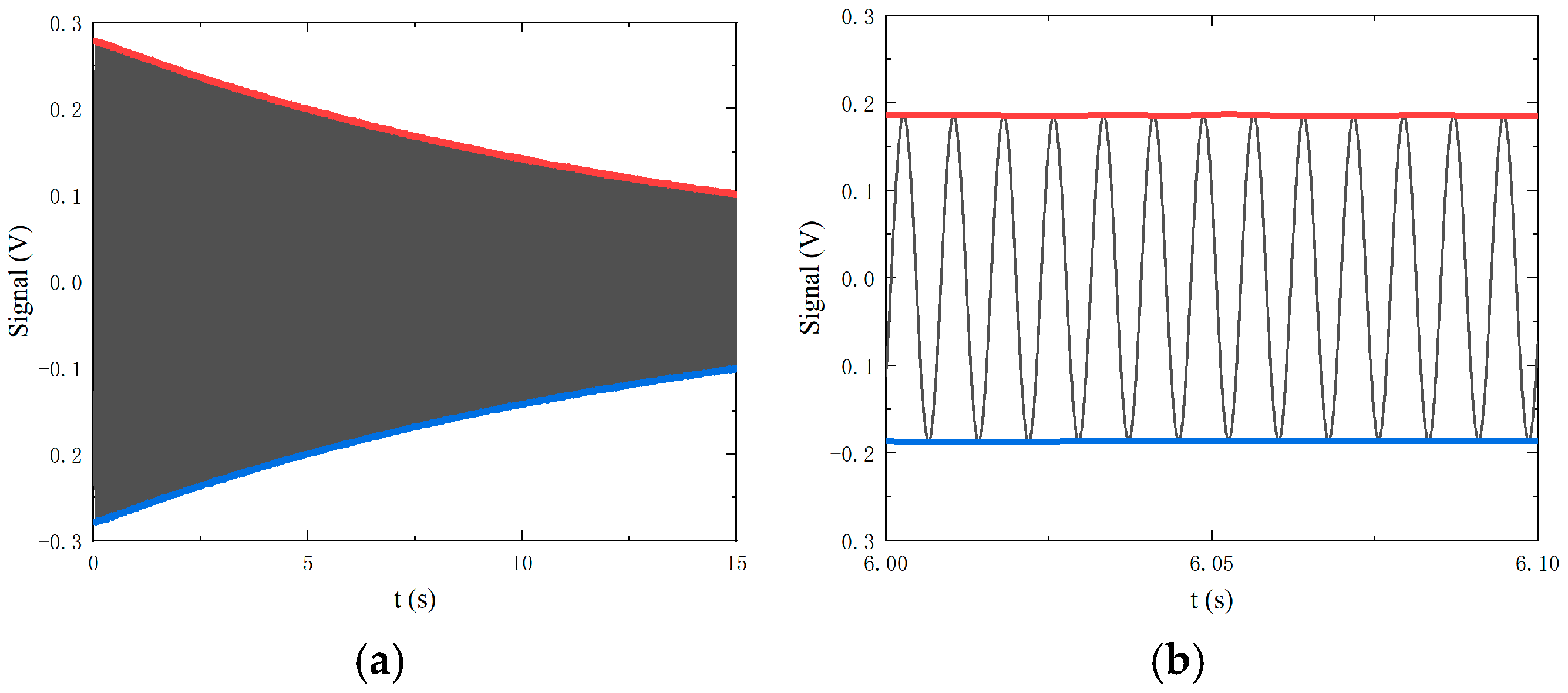
4. Results and Discussion
5. Conclusions
Author Contributions
Funding
Data Availability Statement
Conflicts of Interest
Appendix A. Derivation Spin-Exchange Relaxation
Appendix B. The COMSOL Multiphysics Parameters Used in This Work
| Symbol | Description | Value | Unit |
|---|---|---|---|
| L | Vapor cell inner length | 3 | mm |
| dbeam | Pump beam diameter | 2 | mm |
| Re | Total electron relaxation rate | 11,840 | s−1 |
| Rp | Optical pumping rate (nominal) | 2.3 × 105 | s−1 |
| σop | Effective absorption cross-section | 9 × 10−17 | m2 |
| nRb | Rb atomic number density | 2 × 1019 | m−3 |
| DRb | Rb diffusion coefficient | 1.2 × 10−3 | m2/s |
| DXe | Xe diffusion coefficient | 2.5 × 10−5 | m2/s |
| Rse | Rb–Xe spin-exchange rate | 0.484 | s−1 |
References
- Pei, H.; Fan, W.; Duan, L.; Liu, F.; Pang, H.; Li, R.; Feng, Y.; Liu, Y.; Wang, Y.; Yuan, H.; et al. Navigation in the future: Review of quantum sensing in navigation. Sci. China-Phys. Mech. Astron. 2025, 68, 290301. [Google Scholar] [CrossRef]
- Karabinaoglu, M.S.; Çakir, B.; Başoğlu, M.E. Atomic comagnetometer gyroscopes for inertial navigation systems: A review. Turk. J. Electr. Eng. Comput. Sci. 2024, 32, 305–319. [Google Scholar] [CrossRef]
- Zhang, X.; Hu, J.; Xiao, D.; Zhao, N. Frequency shift caused by nonuniform field and boundary relaxation in magnetic resonance and comagnetometers. Commun. Phys. 2025, 8, 93. [Google Scholar] [CrossRef]
- Pang, H.; Liu, F.; Fan, W.; Wu, J.; Yuan, Q.; Wu, Z.; Quan, W. Analysis and Suppression of Thermal Magnetic Noise of Ferrite in the SERF Co-Magnetometer. Materials 2022, 15, 6971. [Google Scholar] [CrossRef] [PubMed]
- Peng, J.; Liu, Z.; Wang, T.; Mao, Y.; Zhou, B. Fast calibration of magnetic field coils in miniaturized NMRGs from Rabi oscillation of nuclear spins. AIP Adv. 2023, 13, 025037. [Google Scholar] [CrossRef]
- Wang, Z.; Peng, X.; Zhang, R.; Luo, H.; Li, J.; Xiong, Z.; Wang, S.; Guo, H. Single-species atomic comagnetometer based on 87Rb atoms. Phys. Rev. Lett. 2020, 124, 193002. [Google Scholar] [CrossRef] [PubMed]
- Yim, S.H.; Lee, D.Y.; Lee, S.; Kim, M.M. Experimental setup to fabricate Rb–Xe gas cells for atom spin gyroscopes. AIP Adv. 2022, 12, 015025. [Google Scholar] [CrossRef]
- Noor, R.M.; Shkel, A.M. MEMS components for NMR atomic sensors. J. Microelectromech. Syst. 2018, 27, 1148–1159. [Google Scholar] [CrossRef]
- Bhaskar, N.D.; Happer, W.; Larsson, M.; Zeng, X. Slowing Down of Rubidium-Induced Nuclear Spin Relaxation of 129Xe Gas in a Magnetic Field. Phys. Rev. Lett. 1983, 50, 021105. [Google Scholar] [CrossRef]
- Hunter, D.; Piccolomo, S.; Pritchard, J.D.; Brockie, N.L.; Dyer, T.E.; Riis, E. Free-induction-decay magnetometer based on a microfabricated Cs vapor cell. Phys. Rev. Appl. 2018, 1, 014002. [Google Scholar] [CrossRef]
- Wang, X.; Li, J.; Liu, Z.; Wu, Z.; Shao, Y. Optimizing 129Xe and 131Xe relaxation in an NMR gyroscope using buffer gas pressure and wall coating. J. Magn. Reson. 2023, 35, 107430. [Google Scholar] [CrossRef]
- Shi, M.; Wang, T.; Liu, Y.; Wang, X. Broadening and shifting of Rb D1 and D2 line in low pressure vapor cell. Optik 2019, 18, 751–756. [Google Scholar] [CrossRef]
- Jiang, P.; Wang, Z.; Luo, H. Techniques for measuring transverse relaxation time of xenon atoms in nuclear-magnetic-resonance gyroscopes and pump-light influence mechanism. Optik 2017, 13, 341–348. [Google Scholar] [CrossRef]
- Vershovskii, A.K.; Dmitriev, S.P.; Pazgalev, A.S.; Petrenko, M.V.E. The effect of the polarization characteristics of probe light on the signal of optically detected magnetic resonance in magnetometric and gyroscopic quantum sensors. Tech. Phys. Lett. 2019, 45, 1012–1015. [Google Scholar] [CrossRef]
- Palacios-Laloy, A.; Rutkowski, J.; Troadec, Y.; Léger, J.M. On the critical impact of HF power drifts for miniature helium-based NMR gyroscopes. IEEE Sens. J. 2016, 17, 657–659. [Google Scholar] [CrossRef]
- Sorensen, S.S.; Thrasher, D.A.; Walker, T.G. A synchronous spin-exchange optically pumped NMR-gyroscope. Appl. Sci. 2020, 10, 70–99. [Google Scholar] [CrossRef]
- Shi, M.; Zhang, L.; Zhang, X.; Yang, J.; Ma, Y.; Zhang, A.; Yuan, S. A Novel Magnetic Suppression Technique for Asymmetric-Distributed Magnetic Disturbance in CMS for MCG Test. IEEE Trans. Instrum. Meas. 2025, 74, 9514111. [Google Scholar] [CrossRef]
- Shi, M.; Zhang, X.; Yang, J.; Yuan, S.; Wang, L. An optimized measurement method for magnetic properties of permalloy sheet under demagnetization. IEEE Trans. Instrum. Meas. 2022, 71, 6003509. [Google Scholar] [CrossRef]
- Shi, M.; Zhang, X.; Yang, J.; Ma, Y.; Zhang, L.; Tian, K.; Yuan, S. The SF and remanence evaluation of magnetic shields based on SST for low-frequency and degaussing situation. J. Phys. D Appl. Phys. 2024, 57, 365003. [Google Scholar] [CrossRef]
- Mao, Y.; Dong, B.; Li, J.; Liu, Z.; Jie, S. Influence of pump power and beam diameter on the transverse relaxation rate of noble gas nuclear spins in the nuclear magnetic resonance gyroscope. In SPIE-CLP Conference on Advanced Photonics 2022; SPIE: Washington, DC, USA, 2023; Volume 12601, pp. 157–162. [Google Scholar]
- Wang, T.; Peng, J.; Liu, Z.; Mao, Y.; Wang, X. Optical magnetic combination method for suppressing the Rb polarization-induced magnetic gradient in Rb-Xe NMR co-magnetometers. Opt. Express 2023, 31, 17663–17676. [Google Scholar]
- Jia, Y.; Liu, Z.; Zhou, B.; Liang, X.; Wu, W.; Peng, J.; Ding, M.; Zhai, Y.; Fang, J. Pump beam influence on spin polarization homogeneity in the nuclear magnetic resonance gyroscope. J. Phys. D Appl. Phys. 2019, 52, 355001. [Google Scholar]
- Walker, T.G. Fundamentals of spin-exchange optical pumping. J. Phys. Conf. Ser. 2011, 294, 012001. [Google Scholar] [CrossRef]
- Guo, J.; Zamiri, M.S.; Balcom, B.J. Rapid measurement of T1*–T2* relaxation correlation with a Look-Locker sequence. J. Magn. Reson. 2022, 33, 107–123. [Google Scholar] [CrossRef] [PubMed]
- Liu, X.; Chen, C.; Qu, T.; Yang, K.; Luo, H. Transverse spin relaxation and diffusion-constant measurements of spin-polarized 129Xe nuclei in the presence of a magnetic field gradient. Sci. Rep. 2016, 6, 22–24. [Google Scholar] [CrossRef]
- Yu, W.; Xu, Z.; Jin, T.; Zhang, T.; Xu, X. A Novel Method of Measuring Spin Polarization of Noble-gas Atoms in Nuclear Magnetic Resonance Gyroscopes. IEEE Trans. Instrum. Meas. 2025, 74, 9521210. [Google Scholar] [CrossRef]
- Lancor, B.; Babcock, E.; Wyllie, R.; Walker, T.G. Circular dichroism of RbHe and RbN 2 molecules. Phys. Rev. A At. Mol. Opt. Phys. 2010, 82, 043435. [Google Scholar] [CrossRef]
- Wang, T.; Peng, J.; Li, J.; Liu, Z.; Mao, Y. Suppressing effect of shortening vapor cell stem on polarization-induced magnetic gradient relaxation of Xe in NMR co-magnetometers. Sens. Actuators A Phys. 2024, 37, 115461. [Google Scholar] [CrossRef]
- Liu, X.H.; Luo, H.; Qu, T.L.; Yang, K.Y.; Ding, Z.C. Measuring the spin polarization of alkali-metal atoms using nuclear magnetic resonance frequency shifts of noble gases. AIP Adv. 2015, 5, 107119. [Google Scholar] [CrossRef]
- Schaefer, S.R.; Cates, G.D.; Chien, T.R.; Gonatas, D.; Happer, W.; Walker, T.G. Frequency shifts of the magnetic-resonance spectrum of mixtures of nuclear spin-polarized noble gases and vapors of spin-polarized alkali-metal atoms. Phys. Rev. A 1989, 39, 5613. [Google Scholar] [CrossRef]
- Wang, T.; Li, J.; Liu, Z.; Tian, H.; Mao, Y.; Peng, J.; Qu, C. Determination of the polarization of Xe nuclear spin using transverse and longitudinal Rb in-situ magnetometers in NMR co-magnetometers. Measurement 2025, 23, 115418. [Google Scholar] [CrossRef]
- Mao, Y.; Peng, J.; Li, J.; Liu, Z.; Pang, H.; Fan, W.; Wang, T. Rapid measurement of longitudinal nuclear spin relaxation time based on the in-situ longitudinal magnetometer in Rb–Xe comagnetometers. Results Phys. 2023, 55, 107149. [Google Scholar] [CrossRef]
- Dou, X.; Liu, F.; Xu, S.; Lv, S.; Pei, Y.; Meng, J.; Guo, Y.; Wu, Z.; Quan, W. Geometric optimization of vapor cell stem for enhanced nuclear spin coherence in SERF co-magnetometers. Measurement 2025, 25, 119374. [Google Scholar] [CrossRef]
- Walker, T.G.; Happer, W. Spin-exchange optical pumping of noble-gas nuclei. Rev. Mod. Phys. 1997, 69, 629. [Google Scholar] [CrossRef]
- Rantaharju, J.; Hanni, M.; Vaara, J. Polarization transfer in a spin-exchange optical-pumping experiment. Phys. Rev. A 2020, 102, 032813. [Google Scholar] [CrossRef]
- Bouchiat, M.A.; Carver, T.R.; Varnum, C.M. Nuclear polarization in He3 gas induced by optical pumping and dipolar exchange. Phys. Rev. Lett. 1960, 5, 373–375. [Google Scholar] [CrossRef]
- Song, B.; Wang, Y.; Zhao, N. Spin-polarization dependence of the Rb–Xe spin-exchange optical pumping process. Phys. Rev. A 2021, 104, 023105. [Google Scholar] [CrossRef]
- Goodson, B.M. Nuclear magnetic resonance of laser-polarized noble gases in molecules, materials, and organisms. J. Magn. Reson. 2002, 155, 157–216. [Google Scholar] [CrossRef] [PubMed]








| Model | Equation | Parameters | R2 | RMSE |
|---|---|---|---|---|
| polarization–intensity | 0.9932 | |||
| mW | ||||
| relaxation–polarization | 0.9926 | |||
| relaxation–intensity | 0.9942 | |||
| P (mW) | Γexp (s−1) | Γtheo (s−1) | δ (%) |
|---|---|---|---|
| 1.248 | 0.09085 | 0.09087 | 0.1192 |
| 1.183 | 0.08950 | 0.08981 | 0.2653 |
| 1.118 | 0.08842 | 0.08886 | 0.0617 |
| 1.053 | 0.08714 | 0.08723 | 0.0293 |
| 0.988 | 0.0858 | 0.08585 | 0.00665 |
| 0.923 | 0.08468 | 0.08498 | 0.3430 |
| 0.858 | 0.08304 | 0.08313 | 0.1560 |
| 0.832 | 0.08235 | 0.08251 | 0.0614 |
| 0.806 | 0.08186 | 0.08193 | 0.2240 |
| 0.780 | 0.08116 | 0.08123 | 0.1463 |
| 0.689 | 0.07871 | 0.07875 | 0.00189 |
| 0.624 | 0.07704 | 0.07717 | 0.1515 |
| 0.559 | 0.07511 | 0.07515 | 0.1207 |
| 0.494 | 0.07278 | 0.07298 | 0.2658 |
| 0.429 | 0.07049 | 0.07069 | 0.3746 |
| 0.364 | 0.06799 | 0.06813 | 0.4798 |
| 0.299 | 0.06536 | 0.06549 | 0.3557 |
| 0.234 | 0.06294 | 0.06306 | 0.7407 |
Disclaimer/Publisher’s Note: The statements, opinions and data contained in all publications are solely those of the individual author(s) and contributor(s) and not of MDPI and/or the editor(s). MDPI and/or the editor(s) disclaim responsibility for any injury to people or property resulting from any ideas, methods, instructions or products referred to in the content. |
© 2026 by the authors. Licensee MDPI, Basel, Switzerland. This article is an open access article distributed under the terms and conditions of the Creative Commons Attribution (CC BY) license.
Share and Cite
Jiang, S.; Wang, T.; Qiu, X.; Mao, Y.; Yuan, H. Pump-Induced Biphasic Relaxation Model of Xe Spin in Nuclear Magnetic Resonance Gyroscopes. Materials 2026, 19, 1143. https://doi.org/10.3390/ma19061143
Jiang S, Wang T, Qiu X, Mao Y, Yuan H. Pump-Induced Biphasic Relaxation Model of Xe Spin in Nuclear Magnetic Resonance Gyroscopes. Materials. 2026; 19(6):1143. https://doi.org/10.3390/ma19061143
Chicago/Turabian StyleJiang, Shangtao, Tengyue Wang, Xuyang Qiu, Yunkai Mao, and Heng Yuan. 2026. "Pump-Induced Biphasic Relaxation Model of Xe Spin in Nuclear Magnetic Resonance Gyroscopes" Materials 19, no. 6: 1143. https://doi.org/10.3390/ma19061143
APA StyleJiang, S., Wang, T., Qiu, X., Mao, Y., & Yuan, H. (2026). Pump-Induced Biphasic Relaxation Model of Xe Spin in Nuclear Magnetic Resonance Gyroscopes. Materials, 19(6), 1143. https://doi.org/10.3390/ma19061143

